通讯单位:中国科学院生态环境研究中心大气环境与污染控制实验室
论文DOI:10.1016/j.apcatb.2022.122253

全文速览
模拟自然界的光合作用,以H2O为电子供体实现低浓度CO2的光催化转化并产氧是达到可持续碳循环目标和解决全球变暖问题的可行性途径之一。开发在低CO2浓度条件下具有优异活性的光催化剂为实用性CO2转化体系构建奠定了基础。其中,增强光生电荷分离及光催化剂表面吸附和催化过程是弥补低浓度CO2转化过程中传质缺陷的关键因素。本工作通过一步法成功构建了高结晶度的AgxNa1-xTaO3-AgCl异质结构复合材料。研究发现,AgxNa1-xTaO3和AgCl之间原位形成的紧密异质结构促进了光生电荷的分离和转移。此外,Ag+的掺杂和AgCl的同时引入促进了CO2在催化剂表面的吸附和活化。当利用金属态Ag纳米颗粒助催化剂时,AgxNa1-xTaO3-AgCl异质结构复合材料的低CO2浓度转化和H2O氧化活性得到了显著提升。

背景介绍
立足于碳中和目标,将CO2作为可利用的碳资源并将其转化为高附加值的燃料和化学品有重大意义。基于粉末光催化剂的太阳能驱动CO2转化有助于缓解日益严重的环境问题并实现可持续碳循环。目前,使用H2O作为电子供体和质子源的光催化CO2转化被认为是可实际应用的最具潜力的人工光合过程。利用碱性溶液捕集高浓度CO2气体是弥补光催化过程中传质及表面催化过程限制的手段之一。考虑到CO2气体捕集和纯化的能量消耗,研究低浓度CO2与H2O氧化的光催化转化具有重要意义。NaTaO3是一种有效的一步激发全解水光催化剂,其在270nm处表观量子效率达到50%。由于NaTaO3具有合适的带隙,在光催化还原CO2和氧化H2O的反应中引起广泛关注。在NaTaO3光催化剂上掺入Ca、Sr、Ba或La等离子所产生的表面活性位点提高了CO2还原和H2O氧化的光催化活性。此外,将NaTaO3与Ag3PO4、Ag2O或SrTiO3相结合所构建的异质结可有效抑制光生电子-空穴的复合,从而提高光催化性能。

本文亮点
1. 本工作利用一步熔盐法成功构建了高度结晶度的AgxNa1-xTaO3-AgCl异质结光催化剂。
2. AgxNa1-xTaO3-AgCl复合材料中匹配的能带结构排列和紧密的界面接触促进了光生电荷的分离,其高结晶度减少了电子空穴对的复合中心,由此提高了光生载流子的分离和传输效率。
3. AgxNa1-xTaO3-AgCl复合材料中本体掺杂的Ag+和AgCl组分的协同作用为CO2吸附提供了足够的活性位点,进而增强了表面催化过程。
4. 由金属Ag纳米颗粒助催化剂修饰的AgxNa1-xTaO3-AgCl异质结光催化剂显著改善了低浓度CO2还原和H2O氧化的反应活性。

图文解析
本文首先通过XRD谱图(图1)分析了一步熔盐法合成的AgxNa1-xTaO3-AgCl异质结光催化剂的晶体结构。AgxNa1-xTaO3-AgCl复合材料中归属于NaTaO3相和AgCl相的XRD峰强度明显高于固相法合成的NaTaO3和AgCl,表明在一步熔盐法合成过程中成功制备了高结晶的AgxNa1-xTaO3-AgCl复合材料。此外,与纯NaTaO3相比,AgxNa1-xTaO3-AgCl样品中的XRD衍射峰位向更小的衍射角移动,这表明NaTaO3晶体结构中A位的Na+被具有稍大离子半径的Ag+取代。由此说明AgxNa1-xTaO3-AgCl复合材料是由AgxNa1-xTaO3固熔体与AgCl两组分构成。
图1 AgxNa1-xTaO3-AgCl的晶体结构
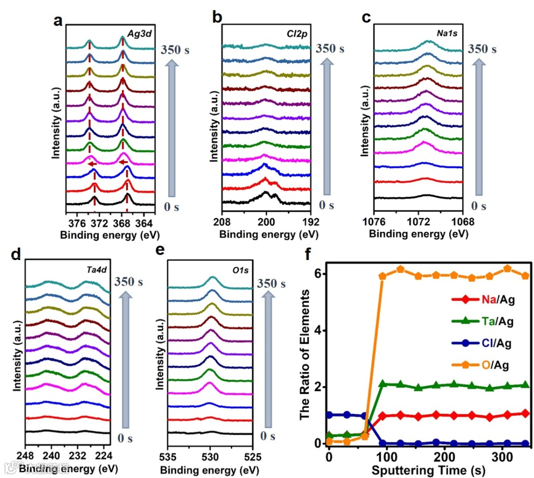
为了研究AgxNa1-xTaO3-AgCl从表面到内部的化学成分,利用氩离子刻蚀进行了XPS深度分析。图2显示,在61.8秒的溅射中,AgxNa1-xTaO3-AgCl的Ag 3d归属于AgCl物种。在氩离子蚀刻92.7秒后,Ag 3d峰位置移动至Ag-O-Ag的结合能处,然后保持不变。通过对AgxNa1-xTaO3-AgCl复合材料从表面到内部的元素比例定量分析可知,Cl元素的量随着氩离子蚀刻时间的增加而减少,在92.7秒的蚀刻后可以忽略不计,这与Ag元素的结合能变化结果一致。同时,AgxNa1-xTaO3-AgCl复合材料中的Ag、Na、Ta和O离子的浓度在氩离子溅射92.7秒后达到了1 : 1 : 2 : 6的稳定比例(图2f)。以上结果表明AgxNa1-xTaO3的表面生长了AgCl物种,在AgxNa1-xTaO3-AgCl复合材料中形成了紧密的异质结构,同时Ag+被引入NaTaO3体相中形成Ag0.5Na0.5TaO3固熔体。

图2 AgxNa1-xTaO3-AgCl的元素分析
通过SEM研究了AgxNa1-xTaO3-AgCl的形貌特征(图3)。采用一步熔盐法合成的AgxNa1-xTaO3-AgCl复合材料中出现了较大尺寸的立方体AgxNa1-xTaO3颗粒以及表面附着粒径较小的AgCl颗粒(图3a)。高结晶AgxNa1-xTaO3-AgCl复合材料中AgxNa1-xTaO3和AgCl两相之间形成紧密接触界面。

图3 AgxNa1-xTaO3-AgCl的形貌表征
由紫外-可见漫反射光谱(图4a-b)可知,AgxNa1-xTaO3-AgCl相比于AgxNa1-xTaO3和NaTaO3的吸收带边出现明显红移。结合Kubelka-Munk方程及Mott-Schottky plots对AgxNa1-xTaO3和AgCl的能带结构进行分析(图4b,c),结果表明,AgxNa1-xTaO3和AgCl的异质结构属于type I型,光生电子从AgxNa1-xTaO3转移至AgCl有效提升了电荷分离效率。同时,此能带结构满足CO2还原为CO及H2O氧化产氧的热力学条件并提供足够的氧化还原驱动力(图4d)。

图4 AgxNa1-xTaO3-AgCl的光吸收性质与能带结构
通过电化学阻抗和光电流实验研究了AgxNa1-xTaO3-AgCl光催化剂的异质结构对光生电子-空穴对分离效率的影响。图5a显示AgxNa1-xTaO3-AgCl的EIS曲线弧度半径最小,说明该样品具有最小的电阻,能够快速分离和转移光生电荷。另外,AgxNa1-xTaO3-AgCl的光电流密度分别是AgxNa1-xTaO3和NaTaO3的145倍和230倍(图5b)。上述结果证实了在高晶体AgxNa1-xTaO3-AgCl异质结材料上完成了高效的电荷分离和转移。

图5 AgxNa1-xTaO3-AgCl异质结载流子传输特性
光催化CO2还原反应结果表明,在AgxNa1-xTaO3-AgCl光催化剂上, CO2还原的选择性为100%,并且随着CO2浓度从10%增加到100%,光催化CO2还原和H2O氧化的活性逐渐下降。利用Ag修饰的AgxNa1-xTaO3-AgCl光催化剂在10%的CO2浓度条件下也表现出卓越的活性,CO的产生速率比没有Ag助催化剂的情况高7.6倍。以上结果证明了AgxNa1-xTaO3-AgCl异质结光催化剂在低浓度CO2转化中的有效性。

图6 AgxNa1-xTaO3-AgCl异质结复合材料光催化低浓度CO2转化
如图7a-b所示,比较了Ag助催化剂修饰的不同NaTaO3基光催化剂在低浓度CO2转化过程中的活性,AgxNa1-xTaO3-AgCl异质结光催化剂的低浓度CO2转化活性比其他三种至少提高10倍,说明NaTaO3体相中引入的Ag+与AgCl形成的异质结构均有助于活性的提高。此外,光催化CO2还原性能与四种光催化剂的CO2吸附能力呈现正相关,在四种催化剂的比表面积无显著差异的前提下,它们对CO2的吸附能力按NaTaO3、AgxNa1-xTaO3、NaTaO3-AgCl和AgxNa1-xTaO3-AgCl的顺序依次递增(图7c)。因此,高结晶的AgxNa1-xTaO3-AgCl异质结复合材料中AgxNa1-xTaO3和AgCl成分的协同作用增强了CO2分子的化学吸附和活化,打破了传质条件的限制,从而改善了AgxNa1-xTaO3-AgCl光催化剂对低浓度CO2的光催化转化与H2O氧化活性。

图7 AgxNa1-xTaO3-AgCl异质结光催化性能优化

总结与展望
本工作通过一步熔盐法成功制备了具有高结晶度的AgxNa1-xTaO3-AgCl异质结构光催化剂。AgxNa1-xTaO3和AgCl成分在高温下的原位结合使界面间产生了强烈的相互作用,一方面高结晶度减少了光生电子-空穴对的复合中心,另一方面AgxNa1-xTaO3-AgCl异质结构中带隙匹配排列促进了光生载流子的分离和传输。此外,AgxNa1-xTaO3-AgCl中NaTaO3体相内Ag+的掺杂和AgxNa1-xTaO3表面AgCl颗粒的存在极大增强了CO2吸附。在利用金属Ag纳米颗粒作为助催化剂进行修饰后,AgxNa1-xTaO3-AgCl异质结构明显提升了低浓度CO2转化和H2O氧化的活性。该工作为设计和构建低浓度CO2转化的光催化体系提供了一种可借鉴的新思路。

作者介绍
郭乔琪(第一作者),中国科学院生态环境研究中心大气环境与污染控制实验室博士研究生,研究方向为基于光(电/热)催化温室气体资源化转化利用。
王征(通讯作者),中国科学院生态环境研究中心研究员、博士生导师。入选国家高层次海外青年人才计划和中科院率先行动青年项目计划。博士毕业于日本京都大学,导师为Tsunehiro Tanaka教授。随后在日本东京大学和信州大学进行博士后研究工作,师从国际著名光催化分解水制氢专家Kazunari Domen教授,并在日本新能源产业技术综合开发机构支持的人工光合成核心项目中担任特任研究员。2019年底入职中科院生态环境研究中心,加入贺泓院士大气环境与污染控制实验室。主要从事基于光(电/热)催化温室气体资源化转化利用和分解水制氢研究,致力于开发基于绿氢和碳转化的碳中和关键技术。在Nature Catalysis、Nature Materials、Nature Communications、Chemical Society Reviews等国际学术期刊上发表SCI论文40余篇,获得授权日本专利2件,撰写两部英文专著章节。担任Engineering、Chinese Chemical Letters期刊青年编委以及Journal of Environmental Sciences、Energy Material Advances期刊特刊编辑。
贺泓(通讯作者), 2017年当选为中国工程院院士,我国大气污染防治(环境催化)专家。1994年毕业于日本东京大学,获理学博士学位。现任中国科学院生态环境研究中心副主任,区域大气环境研究卓越创新中心首席科学家。主要研究方向为环境催化与非均相大气化学过程,目前重点致力于研究大气复合污染形成机理、碳中和背景下环境催化反应体系设计和大气污染物催化净化新原理、新方法及其应用,取得了柴油车排放污染控制、室内空气净化、大气灰霾成因及控制方面的系列成果。发表《环境催化—原理及应用》中文专著一部,英文专著两章节,学术论文530余篇,化学工程领域中国高被引学者。获授权中国和国际发明专利60余项。2011年获国家技术发明奖二等奖;2014年获国家科学技术进步奖二等奖;2017年获何梁何利基金科学与技术创新奖;2019年获国家自然科学奖二等奖;2020年获全国创新争先奖状。
本文仅供科研分享,不做盈利使用,如有侵权,请联系后台小编删除
欢迎关注我们,订阅更多最新消息
“邃瞳科学云”推出专业的自然科学直播服务啦!不仅直播团队专业,直播画面出色,而且传播渠道多,宣传效果佳。
“邃瞳科学云"平台正在收集、整理各类学术会议信息,欢迎学会、期刊、会议组织方择优在邃瞳平台上进行线上直播,希望藉此帮助广大科研人员跨越时空的限制,实现自由、畅通地交流互动。欢迎老师同学们提供会议信息(会有礼品赠送),学会、期刊、会议组织方商谈合作,均请联系翟女士:18612651915(微信同)。
投稿、荐稿、爆料:Editor@scisight.cn