

论文DOI:10.1016/j.cej.2022.136334
贵金属Pt因其具有合适的费米能级而被用作助催化剂,具有活性高、稳定性好等优势。但是它存在原子利用率低、成本高和资源匮乏等缺点,阻碍了其实际应用。作为助催化剂,Pt的化学状态对光催化剂的析氢活性有显著影响,但这种影响尚未深入阐明。更为重要的是,了解Pt在光催化反应过程中的真实性质,可以为构建具有高活性的光催化剂提供新的思路。
近日,中国石油大学(北京)王雅君研究员与清华大学朱永法教授在《Chemical Engineering Journal》期刊上发表了题为“Boosting photocatalytic hydrogen evolution via regulating Pt chemical states”的文章(DOI:10.1016/j.cej.2022.136334)。本论文提出了一种有效的策略,通过调节Pt的化学状态来大幅度提高产氢性能。原位红外光谱和DFT理论计算证明,气氛处理使电子从g-C3N4的N原子转移到Pt2+上,从而增加了Pt0的数量。Pt0的大量生成有利于加速光生电荷的分离。此外,Pt0比Pt2+具有更低的氢气吸附能,有利于氢气的溢出。
本文采用了高温热聚合、超声湿浸渍(1.0%-Pt/CN)、光沉积(1.0%-Pt/CN-P)、NaBH4化学还原(1.0%-Pt/CN-BH)和氢氮混合气热处理(1.0%-Pt/CN-BH-H)等策略制备了Pt/g-C3N4复合光催化剂。其中通过XPS光谱发现Pt主要以Pt0形式存在于1.0%-Pt/CN-BH-H样品中。相反,Pt主要以Pt2+形式存在于1.0%-Pt/CN-P和1.0%-Pt/CN-BH样品中。1.0%-Pt/CN-P,1.0%-Pt/CN-BH和1.0%-Pt/CN-BH-H样品中Pt0的比例分别为8.2%,10.0%和60.1%(图1a)。经过氢氮混合气氛处理后,N元素向高结合能方向移动,Pt元素向低结合能方向移动,表明电子从N向Pt0转移。上述结果表明,1.0%-Pt/CN-BH-H中含有大量的Pt0有利于电荷的分离和转移。通过CO吸附红外光谱(图1b)得出2115 cm-1处的吸附峰为CO在Pt2+上的吸附。2055 cm-1处的吸附峰为CO在Pt0上的线性吸附。经过气氛处理后,Pt0的比例显著增加。这一结论与XPS结果保持一致。
图1 样品的Pt 4f(a)元素谱。(b)样品的CO吸附红外光谱。
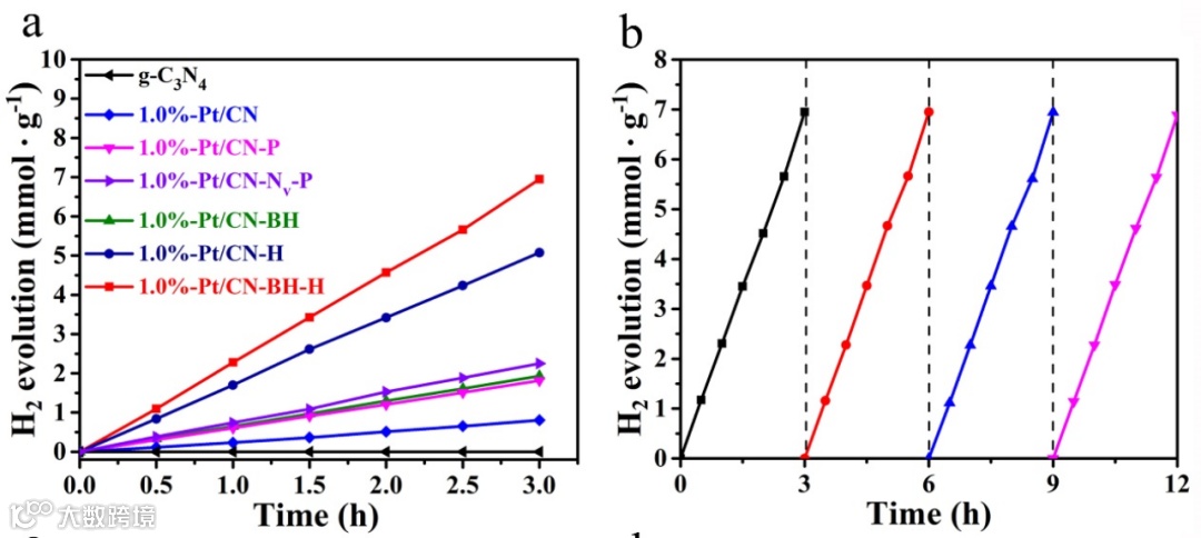
在可见光条件下,1.0 %-Pt/CN-BH-H 样品(Pt0的比例为60.1%)具有最高的光催化活性(2.316 mmol h-1 g-1),约为1.0 %-Pt/CN-P 样品(0.605 mmol h-1 g-1 , Pt0的比例为8.2%)和1.0%-Pt/CN-BH样品(0.644 mmol h-1 g-1 , Pt0的比例为10.0%)的4倍(图2a)。因此,催化活性与Pt的化学状态有关。我们可以认为,1.0%-Pt/CN-BH-H中Pt0的比例越高,光催化性能越好。通过多次循环实验表明1.0%-Pt/CN-BH-H具有优异的稳定性(图2b)。
图2 (a)样品在可见光(λ ≥ 420 nm)下的光催化产氢速率。(b)1.0%-Pt/CN-BH-H样品的4次循环实验。
为了研究不同价态Pt与g-C3N4之间的电荷分离效率,我们测量了1.0%-Pt/CN-BH-H和1.0%-Pt/CN-P样品在可见光照射下的原位红外光谱。与1.0%-Pt/CN-BH-H在黑暗条件下相对较低的峰强相比,随着光照时间的增加,峰强显著提高(图3a)。822 cm-1处的峰归因于七嗪环的伸缩振动,886 cm-1处的峰归因于N-H键的弯曲振动。在1489和1710 cm-1附近的峰分别对应于杂环中的-C=N和N-C=N,而在1338 cm-1附近的峰则来源于-CN的伸缩。随着光照时间的增加,峰的强度明显增大,峰位置保持不变。这些结果表明,1.0%-Pt/CN-BH-H样品中g-C3N4的结构和化学键在可见光照射下由于强烈的电子传递而发生明显变化。为了比较,我们还研究了1.0%-Pt/CN-P样品(图3b)。1.0%-Pt/CN-P没有明显的峰的变化,这可能是由于Pt2+与g-C3N4之间的电子转移能力较差所致。这些结果表明,高Pt0比例有利于电荷的分离。
为了揭示1.0%-Pt/CN-BH-H中Pt0的形成机理,采用原位红外光谱模拟了1.0%-Pt/CN-BH的氢氮混合气氛处理过程。如图3c和3d所示,C-N杂环中C-N键的峰在1200-1750 cm-1范围内显著增加。随着焙烧温度的升高,C-N键的振动模式发生改变,1710 cm-1处的峰强度逐渐增强,表明C3N4结构中N元素的电负性发生改变(图3d)。这些结果证实了在气氛处理过程中,当电子从N元素转移到Pt时,大量的Pt2+转变为Pt0。因此,我们可以推断1710 cm-1处峰强的变化是由于C-N键键能的变化,表明g-C3N4结构中N元素电负性的变化。这些结果证实在气氛焙烧过程中,大量的Pt2+通过N元素的吸引电子转化为Pt0。
图3(a)1.0%-Pt/CN-BH-H和(b)1.0%-Pt/CN-P在可见光(λ ≥ 420 nm)照射下的原位红外光谱。(c)1.0%-Pt/CN-BH在气氛处理和加热过程中的原位红外光谱和(d)局部放大图。
为了进一步研究Pt物种的影响,我们建立了Pt与g-C3N4(图 4a和 4d)之间的优化结构模型。该模型代表了不同结构模型对应的Pt的不同配位模式和状态,包括Pt2+和Pt0。电荷密度差图显示了电子密度的大小,如图4b和4e所示。根据Bader电荷分析,在Pt2+存在下,电子从Pt向g-C3N4转移,转移量为1.24。当存在Pt0时,电子从g-C3N4转移到Pt,转移量为0.68。这些结果表明,Pt2+的存在不利于电子的捕获。在1.0%-Pt/CN-BH-H样品中,由于Pt0比例较高,且Pt0的生成提高了电荷分离效率,g-C3N4上的电子更高效地转移到Pt上。Pt在不同化学状态下对氢气的吸附能如图4c和4f所示。通过计算得到Pt2+和Pt0的吸附能分别为-0.105和-0.098 eV。Pt2+和Pt0的吸附距离分别为2.63和2.79 Å。由于Pt0具有较低的吸附能,在含有Pt0的催化剂中,氢气更容易溢出。因此,我们可以得出增加Pt0含量有利于析氢。这一结果也与上述原位红外光谱的结论一致。
图4(a,d)优化结构,(b,e)差分电荷密度和(c,f)Pt2+和Pt0物种对氢气的吸附能。
本研究成功制备了高Pt0比例(60.1%)的光催化剂。它的光催化产氢速率达到2.316 mmol h-1 g-1,比可见光照射(λ ≥ 420 nm)下Pt0比例较低(8.2%)的1.0%-Pt/CN-P(0.605 mmol h-1 g-1)提高了4倍。1.0%-Pt/CN-BH-H的高光催化性能可归因于其中含有大量的Pt0,加速了光生电荷的分离。另外,Pt0较低的吸附能有利于氢气的溢出。因此,调控化学状态可能是开发新型光催化剂的有效策略。
论文第一作者为中国石油大学(北京)博士生武佳星,论文通讯作者为中国石油大学(北京)王雅君研究员和清华大学朱永法教授。此研究得到国家重点研发计划等资助支持。
原文链接:https://www.sciencedirect.com/science/article/pii/S1385894722018290
本文仅供科研分享,不做盈利使用,如有侵权,请联系后台小编删除
欢迎关注我们,订阅更多最新消息
“邃瞳科学云”推出专业的自然科学直播服务啦!不仅直播团队专业,直播画面出色,而且传播渠道多,宣传效果佳。
“邃瞳科学云"平台正在收集、整理各类学术会议信息,欢迎学会、期刊、会议组织方择优在邃瞳平台上进行线上直播,希望藉此帮助广大科研人员跨越时空的限制,实现自由、畅通地交流互动。欢迎老师同学们提供会议信息(会有礼品赠送),学会、期刊、会议组织方商谈合作,均请联系翟女士:18612651915(微信同)。
投稿、荐稿、爆料:Editor@scisight.cn