

第一作者:Yiran Ying
通讯作者:黄海涛
通讯单位:香港理工大学
论文DOI:https://doi.org/10.1021/acsenergylett.2c02811
二维 (2D) 材料一直被认为是光催化水分解的潜在候选材料。但是,高的电子-空穴复合率、低的太阳能-氢 (STH) 转换效率以及“催化剂中毒”问题,严重限制了其应用。作者提出了一种二维光催化剂的“边缘/基面半反应分离”机制,能够高效光催化分解水。作者发现了一组稳定且可剥离的二维卤化铑硫族化物(RhXY,X = S,Se,Te;Y = Cl,Br,I)光催化剂。其带隙值为 1.93 至 2.71 eV,并具有合适的带边缘。光催化水分解的半反应,即析氢/析氧反应 (HER/OER),更倾向于分别发生在 RhXY 的边缘和基面上。在没有牺牲试剂或助催化剂的情况下,RhSCl、RhSeCl 和 RhSeBr 也可以同时催化 HER 和 OER。这项工作为合理设计具有空间分离半反应的二维光催化剂铺平了道路。
近年来,太阳能驱动的光催化水分解技术发展迅猛。然而,大多数氧化物光催化剂的带隙值过大 (>3.0 eV),无法有效利用可见光和近红外光。这阻碍了太阳能转换效率的优化。一般来说,高效全分解水光催化剂应满足以下六个标准: (1) 合适的带隙值,介于 1.23 和 3.0 eV 之间; (2) 合适的带边缘位置满足水的氧化还原电位; (3) 捕获光的能力强; (4) 可以有效抑制电子-空穴复合; (5) 出色的水分解半反应催化性能,即析氢反应(HER)和析氧反应(OER); (6) 出色的稳定性。目前,探索用于水分解的高效光催化剂仍然是一个具有挑战性的课题。
由于二维 (2D) 材料具有大的表面积和短的载流子迁移路径等优点,最近已被视为有前途的水分解光催化剂。研究人员基于理论计算,发现了许多二维材料具有适合光催化水分解的能带结构,尤其是过渡金属硫族化物。然而,大多数报道的 2D 光催化剂都存在缺点,例如,太阳能转化为氢 (STH) 的效率低;需要助催化剂来催化 HER/OER;光生电子和空穴的复合;以及实验合成困难等。这些缺点极大地限制它们的实际应用。此外,HER和OER活性位点之间的竞争,可能会引发“催化剂中毒”问题,并阻碍光催化反应的长期性能,从而降低光催化剂的效率。因此,合理设计二维光催化剂用于解决上述挑战,仍然是一个难题。
在以前的工作中,研究二维光催化剂的活性位点仅限于基面上的活性位点,而对边缘活性位点的研究仍然较少。实际上,研究人员已经通过实验和理论计算,证明了二维 TMDC (MoS2) 的边缘位点是电催化 HER 的真正活性位点。受此启发,作者尝试设计二维光催化剂,其 HER 和 OER 半反应分别在边缘和基面上进行,这可以诱导空间分离效应以提高光催化效率。

图 1. 二维RhXY水分解光催化剂的筛选流程。

图 2. (a) 二维 RhXY的几何结构侧视图和俯视图。(b) 裂解能与二维 RhXY 的分离距离 d 的函数关系。基于密度泛函微扰理论计算的二维 (c) RhSCl、(d) RhSeCl 和 (e) RhSeBr 的声子色散谱

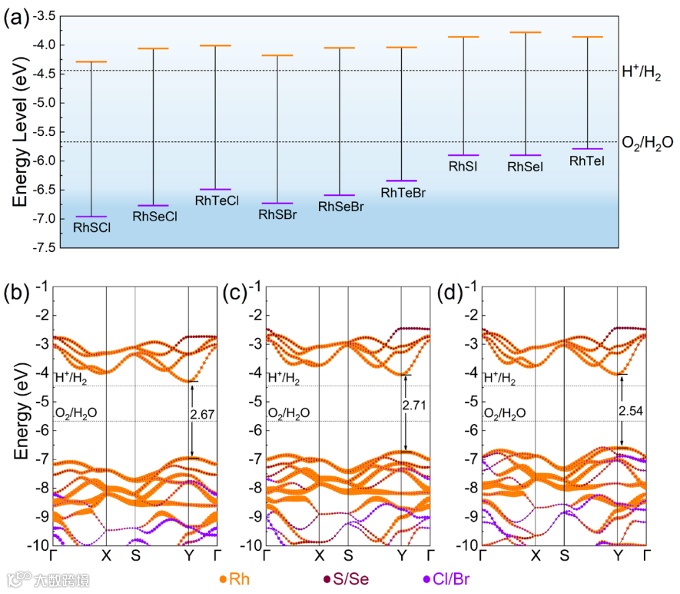
图3. (a) 与水氧化还原电势 (pH = 0) 相比,二维 RhXY 相对于真空能级的带边缘位置。使用 HSE06 杂化泛函计算的 (b) RhSCl、(c) RhSeCl 和 (d) RhSeBr 的特征带结构。

图 4. 在零电位下和外加电位下,(a) RhSCl, (b) RhSeCl, 和 (c) RhSeBr 单层的 HER 吉布斯自由能图(左图)和 OER 吉布斯自由能图(右图)。 (d) 在二维 RhXY 上,空间分离半反应的示意图。原子颜色:Rh为灰色; X为黄色; Y 为绿色; O为红色; H 为淡粉色。

图 5. 2D RhXY 的 (a) 光吸收光谱 α(ω) 和 (b) 由 GW+BSE 计算的激子结合能 Eb。 (c) 在 2D RhXY 上,沿 x 和 y 方向(面内)的电子和空穴迁移率热图。
总的来说,作者基于理论计算,发现了一组二维 RhXY(X = S、Se、Te;Y = Cl、Br、I)可作为水分解光催化剂。 RhXY 单分子层是宽带隙半导体 (1.93–2.71 eV),其具有合适的带边位置、在整个可见光区域的强光吸收和理论上的稳定性。并且,它有望从相应的体结构中剥离出来。更重要的是,水分解的HER和OER半反应更倾向于分别发生在RhXY的边缘和基面上,这大大提高了反应效率。在所有体系中,RhSCl、RhSeCl 和 RhSeBr 可以在光生载流子提供的电势下自发催化 HER 和 OER,而不需要助催化剂。此外,RhXY 单分子层表现出高电子-空穴分离能力(小激子结合能)和 STH 效率(>15%)。这项工作为开发水分解半反应空间分离的二维光催化剂铺平了道路,并可以扩展到其他具有双功能催化活性的高效二维催化剂设计。
声明
“邃瞳科学云”直播服务
扫描二维码下载
邃瞳科学云APP

