

第一作者:Guangbo Chen, Ruihu Lu
通讯作者:冯新亮院士、赵焱教授、谢剑教授、武刚教授
通讯单位:德累斯顿工业大学、武汉理工大学、普渡大学印第安纳波利斯分校、纽约州立大学布法罗分校
DOI: 10.1002/adma.202300907
在质子交换膜燃料电池领域,Fe-N-C材料已成为一种极具前景的铂族金属替代品以用于催化氧还原反应(ORR)。然而,Fe-N-C材料较低的本征活性与稳定性仍然是提升电化学性能的主要阻碍。在本文中,作者设计出一种具有致密FeN4位点的Fe-N-C电催化剂,其分散在具有高度弯曲表面的分级多孔碳上(称之为FeN4-hcC)。测试表明,该催化剂在酸性介质中表现出优异的ORR活性,于0.5 M H2SO4溶液中的半波电位高达0.85 V (vs. RHE)。当集成至膜电极组件中时,相应的阴极显示出高达0.592 W cm−2的峰值功率密度,并在苛刻H2/空气条件下具有超过30000次电压循环的运行耐久性,性能优于此前报道的绝大多数Fe-N-C电催化剂。实验测试和理论研究表明,弯曲的碳载体可以微调局部配位环境,降低Fe d带中心的能量并抑制含氧中间体的吸附,从而提高ORR活性与稳定性。该研究为ORR催化领域的碳纳米结构-活性相关性研究提供了一种新见解,并为面向能源转化应用的先进单金属位点催化剂设计提供了一种新方法。
电化学能源转化技术,如质子交换膜燃料电池(PEMFCs),是减少对化石燃料依赖并消除环境问题的一种极具前景的能源器件之一。电催化氧还原反应(ORR)是PEMFCs阴极处一个不可或缺的过程,其在很大程度上决定着器件的效率和性能。目前,铂族金属(PGMs)是催化缓慢ORR动力学最为有效的催化剂,因其对含O中间体具有适当的吸附强度。然而,PGM催化剂的高成本、稀缺性以及较差的耐久性等缺点,严重限制着能源器件的实际广泛应用。
在各种PGM-free电催化剂中,原子级分散的铁-氮-碳(Fe-N-C)纳米材料因其在酸性介质中的优异ORR性能,而被认为是PEMFCs阴极催化剂的潜在候选者。其中,嵌入在碳基底中的单金属铁配位氮(FeN4)位点被确定为催化ORR过程的活性中心。然而,与Pt相比,FeN4位点上的ORR中间体(如O*和OH*)的吸附强度太强,抑制着脱附和转化过程,从而限制着整体ORR活性。此外,近年来报道的Fe-N-C材料具有较低的长期耐久性,同样限制着进一步的实际应用。在过去的十年里,科研人员设计出各种策略以削弱O*/OH*与FeN4位点的相互作用,并提高Fe-N-C材料的本征ORR活性。其中一种典型策略是构筑边缘碳主体FeN4位点,在微孔内制备FeN4位点并掺杂其它杂原子如硫(S)或磷(P)。上述策略在碳骨架中引入缺陷,导致在长期运行过程中出现稳定性下降。尽管提高石墨化程度通常会提高稳定性,但其低本征活性仍然是一个问题。因此,设计先进的碳纳米结构对于同时促进FeN4位点的本征活性和提高Fe-N-C材料的耐久性至关重要。

图1. (a) FeN4-hcC的合成过程示意图。(b) TEM图,(c) HAADF-STEM图,(d) HAADF-STEM图以及相应的元素映射表明C(红色), N(绿色)和Fe(紫色)的分布。FeN4-hcC的(e)高分辨率TEM图和(f)原子级分辨率HAADF-STEM图。(g) FeN4-C和FeN4-hcC的N2吸附/脱附等温线。

图2. FeN4-C, FeN4-hcC和参比样品的(a) Fe K-edge XANES谱,(b) k2加权小波变换Fe K-edge EXAFS谱,(c) 傅里叶变换Fe K-edge EXAFS谱。(d) FeN4-hcC和FeN4-C的室温57Fe Mössbauer谱。

图3. (a) FeN4-hcC, FeN4-C (0.6 mg cm-2, 0.5 M H2SO4, 900 rpm)和Pt/C电催化剂(20%, 0.1 M HClO4, 900 rpm)的ORR极化曲线。(b) FeN4-hcC和FeN4-C电催化剂在0.85 V的质量活性与TOF值。(c) FeN4-hcC和FeN4-C电催化剂的H2O2产率与电子转移数。(d) FeN4-hcC和FeN4-C在30000 CV循环前后的ORR极化曲线。

图4. (a) FeN4-0和FeN4-0.023模型的示意图。(b) FeN4-0和FeN4-0.023的电荷密度差分图,其中黄色代表电子积聚,青色代表电子耗尽。(c) FeN4-0和FeN4-0.023模型在等效电位(U = 1.23 V)下的ORR过程吉布斯自由能。(d) FeN4中单原子Fe位点的d带中心和ΔGOH*与曲率之间的相关性。(e) FeN4的ORR过电位与曲率之间的相关性。

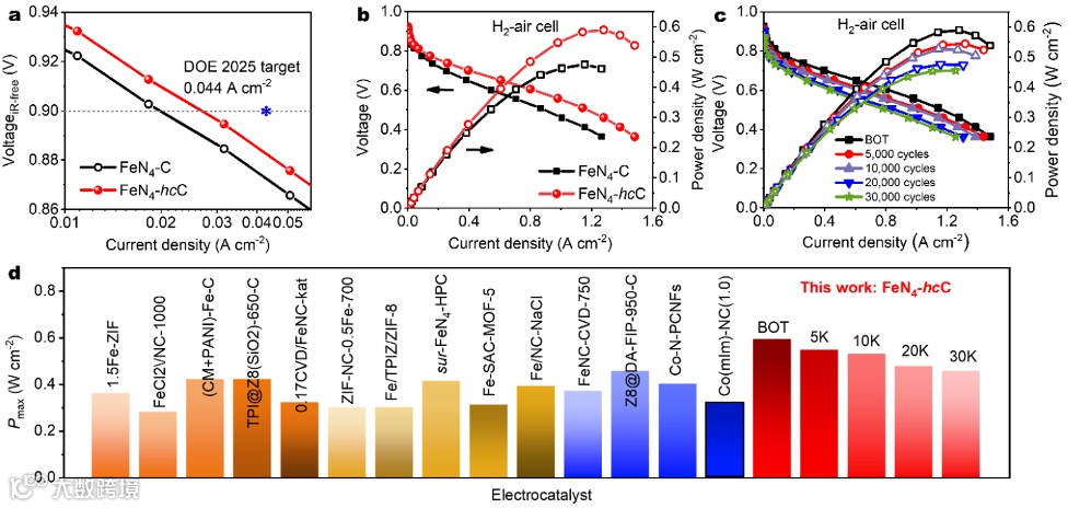
图5. (a)在1.0 bar H2-O2条件下的极化曲线以确定FeN4-C和FeN4-hcC阴极在0.9 ViR-free时的质量活性。(b) FeN4-C和FeN4-hcC在1.0 bar H2-空气PEMFC器件中的极化曲线与功率密度曲线。(c) FeN4-hcC阴极催化剂在不同循环圈数后的极化曲线与功率密度曲线。(d) FeN4-hcC阴极催化剂与此前报道的M-N-C催化剂在H2-空气电池中的Pmax值性能对比。
总的来说,本文采用P123介导合成策略,成功地设计出一种在具有高度弯曲表面的分级多孔碳基底上呈现原子级分散的致密FeN4位点FeN4-hcC电催化剂。测试表明,该催化剂在酸性介质中表现出优异的ORR性能。此外,与此前报道的其它Fe-N-C催化剂相比,FeN4-hcC在实际PEMFC器件中也表现出更加卓越的性能。实验测试与理论计算表明,弯曲的碳表面可通过调控单原子Fe中心的电子结构以削弱其与OH*的相互作用并减少FeN4的变形,从而增强单原子FeN4位点的本征活性。该研究开发出具有高度弯曲碳表面的分级多孔碳构筑策略,为其它高性能单原子金属位点催化剂的设计提供有效指导,并有望应用于其它能源转化领域如水分解、CO2还原和N2还原等。
【文献来源】
Guangbo Chen, Ruihu Lu, Chenzhao Li, Jianmin Yu, Xiaodong Li, Lingmei Ni, Qi Zhang, Guangqi Zhu, Shengwen Liu, Jiaxu Zhang, Ulrike I. Kramm, Yan Zhao, Gang Wu, Jian Xie, Xinliang Feng. Hierarchically Porous Carbons with Highly Curved Surfaces for Hosting Single Metal FeN4 Sites as Outstanding Oxygen Reduction Catalysts. Adv. Mater. 2023. DOI: 10.1002/adma.202300907.
文献链接:https://doi.org/10.1002/adma.202300907
声明
“邃瞳科学云”直播服务
扫描二维码下载
邃瞳科学云APP

