

第一作者:Chanho Shin
通讯作者:Tse Nga Ng
通讯单位:美国加州大学圣地亚哥分校
论文DOI:https://doi.org/10.1021/acsenergylett.3c00207
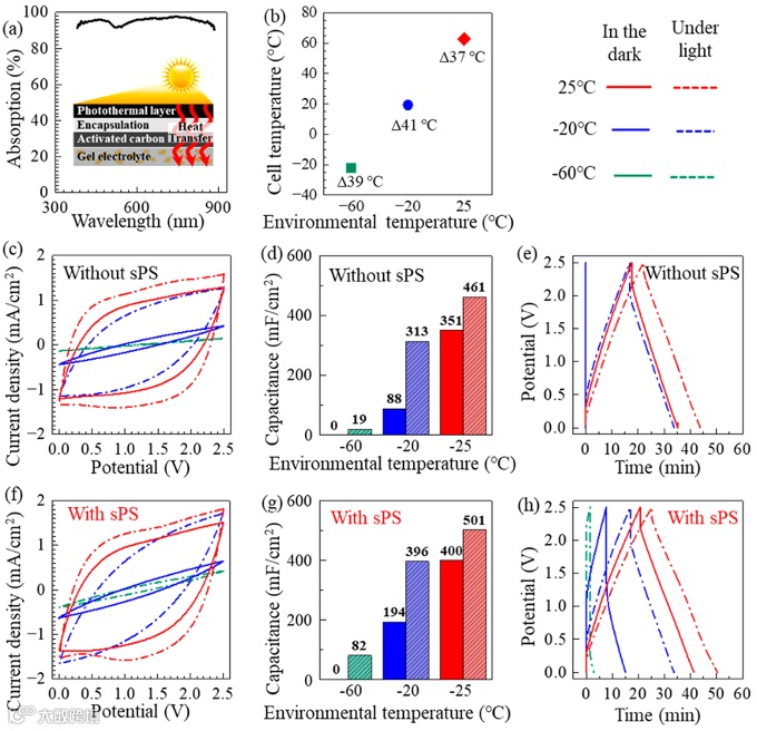
宽温度范围的超级电容器具有较大的应用潜力,但是,其电解液设计仍存在巨大的瓶颈。这项工作研究了一种新的凝胶聚合物电解液 (GPE),可用于在 -60 至 65 °C 范围内运行的光热超级电容器。 GPE 由聚丙烯腈和活性填料聚苯乙烯磺酸钠混合而成,可同时提高离子电导率并捕获金属阳离子杂质。活性填料降低了超级电容器中的自放电率和杂质扩散系数,进而最大限度地减少了热环境中的能量损失。对于低温环境,该器件采用了光热转换层封装,提高了内部电池温度,并可以在 -60 °C 环境中输出 0.4 mW/cm2 的功率密度和 94 μWh/cm2 能量密度。所提出的 GPE 和光热转换的结合,提高了储存能量,延长了由超级电容器冷启动驱动的电机的运行时间。该工作展示了一种适用于恶劣环境的高性能设计。
近年来,电化学储能装置被广泛应用于便携式电子产品和电动交通工具。研究人员正试着优化电池设计,以适应不同的户外环境(包括寒冷和炎热的环境)。在低温下,由于离子传输缓慢,电化学电池的能量和功率密度会降低;而在高温下,非必要的化学反应会引发设备衰退,导致循环寿命短和自放电加速。据报道,电解液工程设计可以扩大设备工作范围和稳定性,特别是在双电层 (EDL) 超级电容器中。具体而言,超级电容器比电池更能耐受极端温度。因此,这项工作探索了一种新型凝胶聚合物电解液 (GPE),它由聚丙烯腈基质和离子交换树脂填料组成,可在 -60℃ 至 65℃ 的温度范围内提高超级电容器的性能。
在用于 GPE 的聚合物中,聚丙烯腈 (PAN) 表现出优异的机械稳定性和阻燃性,非常适合将电极隔膜和电解液基质合并为一层薄膜。然而, PAN的离子电导率在低温下受到限制。之前的工作已经用溶剂增塑剂或陶瓷填料(如 TiO2、Al2O3 和氧化石墨烯)对 PAN 进行了改性,以增加非晶相并降低复合材料的玻璃化转变温度,从而促进离子传输。但是,以前的研究主要集中在 <0 °C 的条件下,而没有考虑 >25 °C 的高温条件。据报道,提高离子电导率通常会导致自放电增加。这种现象表现为开路状态下的自发电位衰减,并导致储存能量的损失。因此,研究人员迫切需要开发一种电解液策略,用于权衡离子电导率和自放电,进而使超级电容器在低温和高温下都能正常工作。

图 1. (a) 封装在铝袋中的光热超级电容器示意图。 (b) 凝胶聚合物电解液的组成。添加离子交换树脂 sPS 可增加离子传输路径并清除金属杂质。

图 2. 在 (a) 没有和 (b) 有 sPS 的情况下, GPE 的横截面 SEM 图。比例尺:20 微米。在含有和不含 sPS 的情况下, GPE 的 (c) N2 吸附-脱附等温线和 (d) 孔径分布曲线。 (e) 在 100 μm 厚的 GPE 薄膜上,测得的离子电导率与温度的函数关系。 (f) 在含有和不含 sPS 的情况下, GPE 的 DSC 分析。

图 3. 金属杂质离子迁移示意图:(a) 在没有 sPS 的 GPE 中,金属阳离子可以自由传输穿过电解液; (b) 在具有 sPS 的 GPE 中,磺酸盐端基捕获金属阳离子并抑制它们的扩散。 (c) 在自放电测量中的电位(黑线)和电流(红线)曲线。在 GPE 中 (d) 不含有和 (e) 有 sPS 时,在自放电过程中,在不同的内部温度下记录的超级电容器电压降与时间的关系。在 45 °C 和 1 mV/s 的扫描速率下,在不含有 (g,h) 和含有 (i,j) sPS 的器件的循环伏安法比较。

图 4. (a) 光热转换层的吸光度与波长的关系。插图说明了光热转换和热传递。 (b) 在 1 kW/m2 光强下,光热转换层吸热引起的温差。 (c,f) 扫描速率为 5 mV/s 时的循环伏安曲线。 (d,g) 从 CV 数据中提取的电容值。 (e,h) 电流密度为 0.5 mA/cm2 时的恒电流充放电特性。

图 5. 在 (a) 室温和 (b) 低于室温下,所运行的光热超级电容器的性能。在 -60 °C 的黑暗环境中,设备不工作,因此没有相应的数据。同时,实心三角形符号表示器件在 -20 °C 的黑暗环境中的性能。 (c) 在 -10 °C 下,驱动电机的光热超级电容器的照片。 (d) 在不同条件下,电机的运行时间与超级电容器能量供应的函数关系。
总的来说,作者证明了含有 sPS 活性填料的 GPE,可以使得相应的超级电容器在很宽的温度范围内提高电容和抑制自放电性能。该复合膜既可作为隔膜,也可作为固态电解液。作者利用 sPS 增加的孔隙率和离子交换机制来增强电解液离子传输,并阻止杂质发生副反应。因此,杂质的扩散系数降低了近 3 倍,并在高温下实现了更好的能量保留。这种含sPS的GPE 提供了一种经济的方法,可以使设备抑制杂质带来的副反应。作者在超级电容器软包电池上添加光热转换层,进一步提高了低温下的电池性能,使其可以在-60°C的最低环境温度下运行。作者通过结合 sPS GPE 和光热转换,使得超级电容器达到了最先进的能量和功率密度,超过了其他关于 EDL 光热超级电容器的报道。这项工作中的超级电容器结构设计适用于在极冷到高温环境中的高性能电化学能源应用。
声明
“邃瞳科学云”直播服务
扫描二维码下载
邃瞳科学云APP

