

第一作者:唐骅、Safakath Karuthedath
通讯作者:唐骅、陆仕荣
通讯单位:阿卜杜拉国王科技大学,台州学院
DOI: https://doi.org/10.1039/D3EE00350G
有机太阳能电池作为最新一代光伏技术具有碳足迹低、能量回收期短、可制备柔性、半透明器件,加工工艺简单(可采用旋涂、刮涂、喷墨打印、丝网印刷等)等优点。因此,有机太阳能电池具备商业化应用潜力,受到学术界和工业界的广泛关注。在有机光伏领域中,三元无规共聚是一种实现高效稳定有机太阳能电池的有效方法,其基于三元共聚太阳能电池已实现18%的能量转换效率,然而其背后的工作原理尚不清楚。鉴于此,揭示高效稳定的三元共聚有机太阳能电池的工作机理对其进一步的性能和稳定性提升和实现产业化发展具有巨大的科学影响和现实意义。文中作者报道了基于三元共聚物的超快光谱,形貌及计算模拟的最新数据,并研究总结了已报道的不同三元共聚物工作的科学相关性,旨在揭示其结构-性能-稳定性关系,并阐明获得高效稳定三元聚合物太阳能电池的关键因素,为实现三元聚合物太阳能电池的进一步效率和稳定性突破及商业化竞争力的提升提供指导思路。
三元共聚物太阳能电池是基于传统高效聚合物材料,通过在合成过程中引入第三组分以实现电池效率及稳定性的提升。然而如何选择引入的第三组分,如何量化最优引入含量及确定引入第三组分应达到效果并无指导思想,研究人员需通过大量的试错,因此三元共聚物太阳能电池发展滞后,导致进一步实现其性能和稳定性提升存在技术壁垒。因此,揭示影响高效稳定三元聚合物太阳能电池的关键因素并为其提供进一步提升的设计指导思路是领域内亟待解决的难题之一。
1. 本工作推荐引入强的缺电子或富电子第三组分以拓宽材料的吸收并降低电池的非辐射能量损失。
2. 第三组分的引入量应确定在既能保持材料的分子取向和激子扩散长度,又能精细调控薄膜的相分离形貌和结晶性的范围内,以实现载流子双分子复合降低的目的。
3. 此外,引入的第三组分应能够精细调控给受体的互溶性,使给受体能达到热力学更稳定的状态,实现电池户外稳定性的提升。
在此项工作中,作者通过研究基于高效聚合物给体D18和PM6修饰的三元共聚物在激子和载流子动力学,相分离形貌,计算模拟和严苛户外环境中的稳定性表现,总结变化规律,揭示其实现高效率和高户外稳定性的关键影响因素。作者所采用材料的基本结构,光电和形貌信息如图1所示。此外,三元共聚物太阳能电池的能量损失研究(图2),激子动力学(图3),载流子产生及复合动力学过程(图4),形貌及计算模拟(图5)和严苛户外环境稳定性表现(图6)如图所示。

图1. 本文所采用材料的基本特性

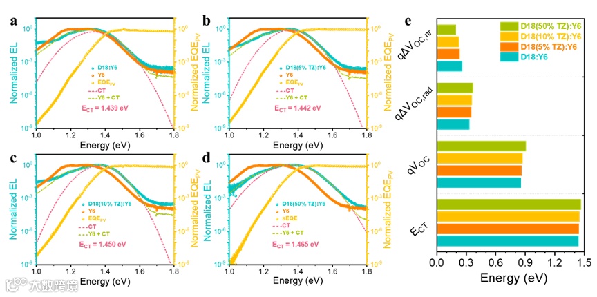
图2.三元共聚物太阳能电池的能量损失研究

图3. 三元共聚物太阳能电池激子动力学研究

图4. 三元共聚物太阳能电池载流子动力学研究
通过研究作者发现,少量(5%)强缺电子第三组分的引入可有效拉低三元共聚物材料的HOMO能级,拓宽吸收范围,延长激子寿命,保持原聚合物的激子扩散距离和分子取向,实现基于三元聚合物体异质结活性层激子解离效率的提升和载流子双分子复合的降低,从而有效提升三元聚合物太阳能电池的光电转换效率。

图5.三元共聚物太阳能电池形貌研究

图6. 户外环境稳定性研究
在室外稳定性方面,如图6所示,本工作的室外稳定性选址在拥有极端气候环境的中东国家沙特进行,其日间\夜间极限温度可达到48/22℃,最高午间光照强度可达1039.5 W m-2。室外稳定性测试系统安装在阿卜杜拉国王科技大学红海海岸旁,测试系统采用MAPP测试追踪模式每10分钟收集一次数据,测试开始于2022年5月,测试周期为32天,测试期间无极端沙尘暴天气,测试人员每周会到现场进行一次器件表面清理工作,清除掉表面沙粒和污物,降低外部因素对测试结果的影响。测试结果表明少量(5%)强缺电子第三组分的引入可精细调控给受体材料的互溶性,使系统达到更稳定的热力学状态,进而提升三元聚合物太阳能电池的户外稳定性。
本文我们报道了基于三元共聚物的超快光谱,形貌及计算模拟的最新数据,并研究总结了已报道的不同三元共聚物工作的科学相关性,旨在揭示其结构-性能-稳定性关系,并阐明获得高效稳定三元聚合物太阳能电池的关键因素,为实现三元聚合物太阳能电池的进一步效率和稳定性突破及商业化竞争力的提升提供指导思路。
唐骅:沙特阿卜杜拉国王科技大学博士后研究员。2014年毕业于美国斯蒂文斯理工学院获理学硕士学位,2021年毕业于中国科学院大学(培养单位:中国科学院重庆绿色智能技术研究院和香港理工大学)获得工学博士学位。博士期间蝉联“国家奖学金”,获得“中科院院长奖学金”,“唐立新奖学金”,“中国科学院大学优秀毕业生”及“北京市优秀毕业生”等荣誉,主要研究方向为有机太阳能电池材料与器件,以(共同)第一作者/通讯作者身份在Energy & Environmental Science, Materials Today, Matter, Advanced Energy Materials, Advanced Functional Materials和Advanced Science等期刊发表论文10余篇。
陆仕荣:国务院政府特殊津贴获得者,国家海外高层次引进人才特聘专家,重庆市杰出青年基金获得者,重庆市科技创新领军人才,重庆市学术技术带头人;2012年于日本东北大学获得理学博士学位,先后在日本东北大学、美国加州大学洛杉矶分校和澳洲墨尔本大学从事博士后研究,主要研究领域为有机太阳能电池材料与器件,有机功能材料合成方法学,以第一作者/通讯作者在Joule, Science Advances, Nature Communications, Trend in Chemistry, Matter, Material Today, Journal of the American Chemical Society, Angewandte Chemie International Edition, Energy & Environmental Science, Advanced Energy Materials和Advanced Science等期刊发表论文80余篇。
声明
“邃瞳科学云”直播服务
扫描二维码下载
邃瞳科学云APP

