

第一作者:Qian Zhang, Shuaiqi Gao
通讯作者:王键吉,刘志敏,王慧勇
通讯单位:河南师范大学,中国科学院化学研究所
论文DOI:https://doi.org/10.1038/s41467-023-36779-4
钴配位共价有机框架具有高的电子亲和力和可调的结构,在光还原 CO2 为 CO 领域引起了广泛的兴趣。然而,由于大多数 Co 的配位环境会促进光生电子-空穴对的快速复合,所以,想要实现高转换效率仍然具有挑战性。在这里,作者设计了两种具有氧配位 Co 原子的 Co-COF 催化剂。作者发现,在调整配位环境后,具有 Co-O4 位点的 Co 催化剂在可见光照射下表现出高达 18000 µmol g-1 h-1 的 CO 产率,且选择性高达95.7%。原位/非原位光谱表征和理论计算表明,所设计的 Co-O4 位点促进了框架基体中的载流子迁移,并抑制了光催化过程中光生电子-空穴对的复合。这项工作为设计用于 CO2 光还原的高性能催化剂开辟了道路。
近半个世纪以来,由于化石燃料的过度消耗,大气中CO2浓度急剧上升,引发了全球变暖等环境问题。光催化 CO2 还原反应 (CO2RR) 被认为是解决这些问题的环保方案。迄今为止,常用的 CO2RR 光催化剂主要包括金属氧化物、硫化物、多金属氧酸盐 (POM)、金属有机框架 (MOF) 和共轭微孔聚合物。目前,这些光催化剂仍存在三个基本瓶颈:光吸收效率差、光生电子-空穴对的快速复合以及活性位点效率较低。因此,寻求更高效的光催化剂对于克服这些瓶颈具有重要意义。
共价有机框架(COF)是一类通过可逆共价键连接的有机聚合物。 COF 具有高度周期性和模块化的晶体结构。因此,它们具有可编程特性。此外,这些多孔框架由于其大表面积、π 共轭框架、高化学和热稳定性、可调孔径和功能性,已被研究用于光催化 CO2RR。近年来,研究人员为了提高 COF 的光催化活性,开发了几种策略。在这些策略中,将金属位点结合到 COF 的主体框架中,是提高光催化活性最有效的方法。该策略增加了活性位点的数量,促进了电子转移到 COF 中,并提高了光生电子空穴对的分离效率。然而,不同的金属配位环境,通常表现出不同的光催化 CO2RR 性能,而且相关的构效关系尚不清楚,这使得高效CO2光还原催化剂的设计存在较大偏差。众所周知,可编程设计方法,作为一种将复杂系统划分为更易于管理模块的策略,可用于网状材料的可编程化学合成,并为调节具有特定用途的金属-COF 复合材料的化学微环境提供了大量的机会。通过可编程的方法,可以选择和优化这些COF的基本结构模块,进而调节催化微环境。然而,使用可编程方法在定义明确的 COF 中设计所需的配位环境,目前仍未得到深入探索。

图 1. 2,3-DHTA-COF 和 Co-2,3-DHTA-COF 的合成示意图。

图 2. 2,3-DHTA-COF 和 Co-2,3-DHTA-COF 的表征。 a FTIR 光谱图。 b X 射线衍射 (XRD) 图。 c N2 吸附-脱附等温线图。 d 通过非局部密度泛函理论 (NLDFT) 模型计算的孔径分布图。 e SEM 图。 f–g 高分辨率 TEM 图。 h Co-2,3-DHTA-COF 的 EDX 映射图,绿色为氧,红色为碳,黄色为氮,紫色为钴。比例尺:100nm。

图 3. 配位环境分析。 a 在 Co-2,3-DHTA-COF 和 2,3-DHTA-COF 中,O 1s 的高分辨率 XPS 光谱图。 b 在Co-2,3-DHTA-COF 中,Co 2p 的高分辨率 XPS 光谱图。 c, d Co-2,3-DHTA-COF、Co3O4、CoO、CoPc 和 Co 箔样品的 Co K-edge 归一化 XANES 光谱图和 FT-EXAFS 光谱图。 e 2,3-DHTA-COF 的 WT-EXAFS 光谱图,用于区分径向距离和 k 空间分辨率。Co-TP-COF 的 f 归一化 XANES 光谱图,g FT-EXAFS 光谱图和 h WT-EXAFS 光谱图,用于区分径向距离和 k 空间分辨率。

图 4. Co-2,3-DHTA-COF 催化剂性能。 a 不同催化条件下的对比实验。 b 乙腈/H2O 体积比,对光催化 CO2RR 性能的影响。 c 在4小时内,催化剂质量负载对CO和H2产量的影响。 d 在可见光照射下,Co-2,3-DHTA-COF 催化产生的 CO 和 H2 量,随照射时间的变化。 e 基于 13C 同位素示踪剂测试的气相色谱-质谱图。 f 两种 Co-COF 在 25°C 时的 CO2 吸附等温线。

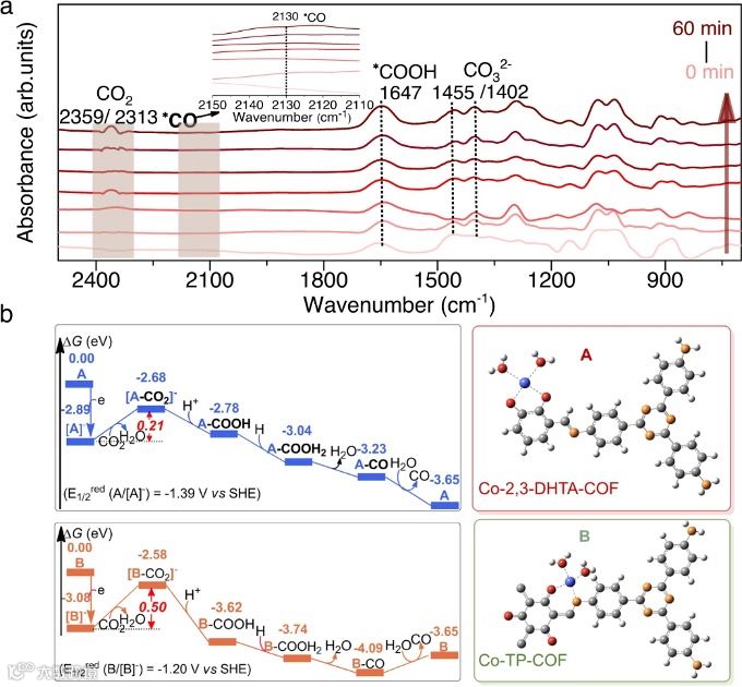
图 5. 原位 ATR-FTIR 光谱和反应吉布斯自由能变化。 a Co-2,3-DHTA-COF 在室温下的原位 ATR-FTIR 光谱图,用于检测光还原过程中的中间体形成。 b 在 Co-2,3-DHTA-COF(A,蓝线)和 Co-TP-COF(B,橙线)上,CO2RR 生产 CO 的吉布斯能量分布。
总的来说,作者在可编程方法的指导下,调节了醛模块中羟基的位置,设计了 Co-COF 中的 Co-O4 活性位点。作者使用所设计的 Co-2,3-DHTA-COF 作为催化剂,实现了高效的光催化 CO2 还原,CO 生成率高达 18,000 µmol g-1 h-1,选择性高达 95.7%。此外,在自然光下,CO 生成率为 11,000 µmol g-1 h-1,选择性为 89%,突显了 Co-COF 中的 Co-O4 位点对于光催化 CO2RR 的重要性。此外,该研究发现独特的配位环境提高了COF中Co(II)的负载能力,加速了从光敏剂到催化剂的电子转移过程,增强了CO2吸附能力,从而提高了催化性能。 DFT 模拟进一步表明,富含 Co-O4 活性位点的 Co-2,3-DHTA-COF 降低了决速步的能垒(Co-2,3-DHTA-COF 和 CO2 之间的配体交换)。因此,作者相信这种模块可编程方法,提供了一种有前途的方法。用于优化金属-COF 的金属配位环境,进而实现高效 CO2RR,并可用于设计其他基于网状纳米材料的光催化剂。
声明
“邃瞳科学云”直播服务
扫描二维码下载
邃瞳科学云APP

