

第一作者:Yaejun Baik, Minjae Kwen
通讯作者:Minkee Choi、Hyungjun Kim
通讯单位:韩国高等科学技术研究院(KAIST)
DOI: 10.1021/jacs.3c02529
碱金属和碱土金属可促进Ru催化剂在温和条件下显示出优异的合成氨(NH3)活性。尽管这些促进剂在增强催化活性方面发挥着至关重要的作用,但它们的功能仍然有待研究。在本文中,作者合成出一系列Ba-Ru/MgO催化剂,其具有优化的Ru粒径(∼2.3 nm)和可调节的BaO–Ru界面结构。研究发现,该促进效应来自于BaO–Ru界面处H+/e–对的单独存储。Ru上化学吸附的H原子在BaO–Ru界面处会解离为H+/e–对,其中具有强碱性且不可还原的BaO选择性地捕获H+,同时在Ru上留下e–。由此产生Ru中的电子积聚可有效促进N2的活化,并抑制NH3合成过程中的氢中毒问题。因此,在不过度损失Ru位点情况下形成紧密的BaO–Ru界面,为高效合成NH3催化剂的设计提供了一种新思路。
氨(NH3)是生产化肥、染料和炸药的重要原料,并且近年来被认为是一种极具前景的无碳燃料与氢能源载体。由于需要使用化石燃料衍生的H2以及严苛的反应条件(∼700 K, ∼10 MPa)以活化稳定的N≡N键(945 kJ mol–1),传统的NH3合成工艺每产生一吨NH3就会排放1.9吨CO2,并占全球每年能源消耗的近2%。作为一种更具可持续性的解决方案,将NH3合成与可再生能源驱动的电解制H2技术相结合,已引起科研人员的广泛关注。鉴于水电解制H2过程具有相对较低的压力(<2 MPa),开发在低压下具有高活性的先进催化剂成为一项至关重要的研究课题。
与传统的Fe基催化剂相比,第二代Ru催化剂(通常负载于MgO和碳上)在温和反应条件下表现出优异的活性。具有单晶Ru表面的反应和理论计算表明,台阶缺陷(通常称为B5位点)是促进N2解离的活性位点。通常,粒径为1.8–2.5 nm的Ru颗粒具有最高浓度的B5位点,因此显示出卓越的合成NH3活性。除了Ru颗粒的尺寸效应之外,采用碱金属和碱土金属(如Cs和Ba)促进剂对于实现高催化活性也是必不可少的。对于MgO载体而言,动力学研究表明在NH3合成过程中,Ba是抑制氢中毒和促进N2活化的最佳促进剂。据推测,这些促进剂可以增加B5位点的浓度(几何效应)或者给电子至Ru位点(电子效应)。特别地,Ru中的电子富集有助于电子回溯至N2的反键π轨道,从而削弱N≡N键。受这些促进剂电子促进效应的启发,各种具有给电子功能材料负载的Ru催化剂被广泛报道。尽管在温和条件下设计活性Ru催化剂时,碱金属和碱土金属促进剂通常是不可或缺的组分,但这类促进剂的作用机制仍然有待深入研究。

图1. 水热法合成出Ru/MgO催化剂的表征。(a)扫描电子显微镜图。(b)透射电子显微镜图。

图2. Ba-Ru/MgO催化剂的合成与表征。(a)热和Ru催化Ba(NO3)2在Ru/MgO表面上的分解示意图,其中Ru催化分解会选择性的产生Ru颗粒周围高度分散的BaO,而热分解会产生离散的BaO晶粒。(b,c) Ba-Ru/MgO-20和(d,e) Ba-Ru/MgO-2H的HAADF-STEM图以及元素映射。(f) Ba-Ru/MgO催化剂的XRD衍射。(g) Ba-Ru/MgO样品的CO2-TPD测试。

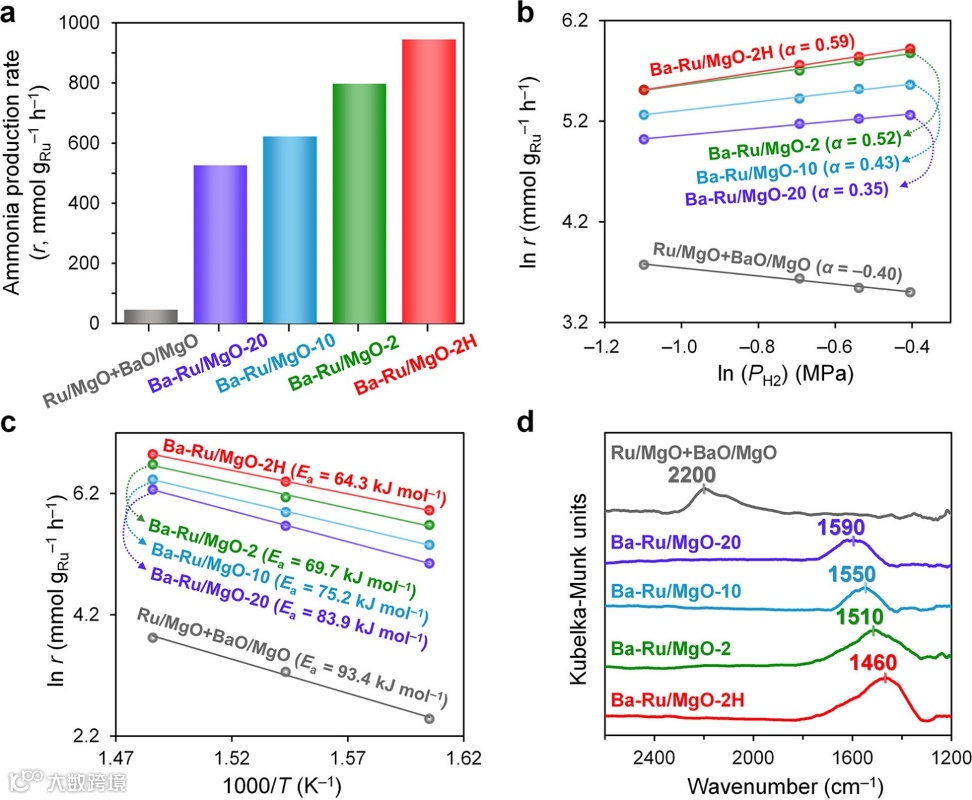
图3. Ba-Ru/MgO的合成氨性能。(a)在673 K和1.0 MPa (H2/N2 = 3)总压力条件下的氨产率。(b)在673 K下H2 (α)的反应级数。(c)在623–673 K温度范围内于1.0 MPa (H2/N2 = 3)总压力条件下的Arrhenius曲线与表观活化能(Ea)。(d)在673 K温度下H2预处理和298 K温度下N2吸附后的漫反射红外傅立叶变换光谱(DRIFTS)。

图4. BaO–Ru界面在H2预处理前后的分析。(a) Ba-Ru/MgO催化剂在673 K温度下He(灰色)和H2(红色)预处理后的CO2-TPD测试。(b) Ba-Ru/MgO-2H在H2预处理后的差分DRIFTS谱。(c) Ba-Ru/MgO-2H在673 K温度下He和H2预处理后的O 1s XPS谱。(d) BaO–Ru界面处H+/e–对单独存储的示意图。(e) Ba-Ru/MgO催化剂在673 K温度下H2预处理后的Ru 3d XPS谱。

图5. Ru–MO界面(M = Ba或Mg)的DFT计算。(a) Ru/BaO界面的DFT优化结构。(b) H从Ru迁移至BaO(黑色)或MgO表面(红色)的相对自由能,插图为相应的DFT优化结构,以及H, Ru和MO的Bader电荷。(c) H+@BaO + e–@Ru的自旋密度图,显示出Ru中局域电子的存在。

图6. Ru/BaO上N2吸附的DFT计算。(a)可存储H+/e–对范围为0至2时,Ru/BaO系统中N2吸附的DFT优化结构。(b)吸附N2的键长(红色)、拉伸频率(蓝色)和Bader电荷(黑色)。

图7. Ba负载对合成氨催化性能的影响。(a) yBa-Ru/MgO在673 K和1.0 MPa (H2/N2 = 3)总压力下的氨产率。(b)在673 K下H2 (α)的反应级数,以及623–673 K (总压力为1.0 MPa, H2/N2 = 3)条件下的Ea值。(c) 2Ba-Ru/MgO的HAADF-STEM图以及元素映射。(d) yBa-Ru/MgO在673 K温度下He(灰色)和H2(红色)预处理后的CO2-TPD测试。(e) yBa-Ru/MgO在673 K温度下H2预处理后的Ru 3d XPS谱。
总的来说,本文合成出一种具有可调控BaO–Ru界面的Ba促进Ru/MgO催化剂,并深入探究了BaO在NH3合成过程中的促进效应。对BaO–Ru界面的深入分析表明,Ru上化学吸附的H原子在BaO–Ru界面处会解离成H+/e–对,其中具有强碱性且不可还原的BaO选择性地捕获H+,同时在Ru上留下e–。BaO–Ru界面处H+/e–对的单独存储可以诱导Ru中的电子富集,从而促进NH3合成过程中的N2活化决速步。因此,在不显著损失Ru位点的情况下形成紧密的BaO–Ru界面,可以设计出温和条件下具有高活性的合成NH3催化剂。此外,在Cs促进Ru/MgO催化剂上也可观察到类似的现象,尽管CsxOy–Ru界面在存储H+/e–对方面不如BaO–Ru界面有效。研究表明,在还原条件化学反应中,各种碱(碱金属、碱土金属和稀土金属)促进的金属催化剂通常会在促进剂-催化剂界面上积聚H+/e–对,从而产生富电子的金属催化剂。
【文献来源】
Yaejun Baik, Minjae Kwen, Kyungho Lee, Seunghyuck Chi, Susung Lee, Kanghee Cho, Hyungjun Kim, Minkee Choi. Splitting of Hydrogen Atoms into Proton–Electron Pairs at BaO–Ru Interfaces for Promoting Ammonia Synthesis under Mild Conditions. J. Am. Chem. Soc. 2023. DOI: 10.1021/jacs.3c02529.
文献链接:https://doi.org/10.1021/jacs.3c02529
声明
“邃瞳科学云”直播服务
扫描二维码下载
邃瞳科学云APP

