
第一作者:冯广
通讯作者:夏定国
通讯单位:北京大学
论文DOI:10.1002/adma.202309715
电解水制氢由于需要较高的理论工作电压(>1.23 V)和电能消耗,阻碍了其大规模商业化应用。因此,开发更高效节能的电解制氢系统和足够有效的电催化剂具有重要意义。北大夏定国教授课题组在前期研究工作基础上(Nat. Commun. 2019, 10, 4514;J. Am. Chem. Soc. 2021, 143, 171;J. Am. Chem. Soc. 2023, 145, 11140),创新性地构筑了具有全活性位点和超活性位点的高熵合金纳米团簇(HEANC/C)催化剂,分别表现出极为优异的析氢反应(HER)和水合肼氧化反应(HzOR)活性。将HEANC/C 作为阴阳极双功能催化剂应用于水合肼氧化辅助产氢(OHzS)系统中时,仅需要0.025和0.181 V的工作电压即可实现10和100 mA cm-2电流密度,大幅降低了电解系统的产氢电压,实现了高效制氢。采用理论计算对HEANC表面所有位点进行了研究,构建了包括72个HER位点、108个HzOR位点以及72个OHzS整体位点在内的活性位点库,最终揭示出HEANC表面72个OHzS整体位点都是有效活性位点,特别是有部分位点为超活性位点,贡献了HEANC/C优异的整体产氢性能。
氢能具有超高的能量密度(142.35 MJ kg-1)和零碳排放的优点,被认为是实现能源可持续发展和碳中和经济最重要的能源载体之一。虽然电解水制氢(OWS)系统是目前制取高纯度氢气(99.999%)的领先技术,但阳极析氧反应(OER,1.23 V vs. RHE)动力学缓慢,其大规模应用受到高的实际工作电压(>1.5 V)和电力成本(≥4.15美元kg-1)的阻碍。近年来,采用热力学上更有利的阳极反应来替代OWS系统中的OER受到研究人员的广泛关注。其中,水合肼氧化辅助制氢技术可节省50%以上的电能,并有效避免H2/O2爆炸性混合物的安全性问题。但目前OHzS系统的研究缺乏足够有效的催化剂来同时催化阴极HER和阳极HzOR,且现有的OHzS系统的面积活性、质量活性和稳定性都有待进一步提升。高熵合金(HEAs)具有可调控的电子结构、可优化的d带中心以及优异的结构和组分稳定性,因而有望成为真正能够满足实际应用的先进催化剂。
3. 理论研究揭示出复杂的HEANC催化剂具有优异的HER、HzOR和OHzS活性的本质原因,并提出全活性位点和超活性位点催化的概念。
本研究通过湿化学共还原和煅烧的方法成功制备了超小NiCoMoPtRu HEANCs。如图1a、b所示,HEANCs均匀负载在碳载体上,平均尺寸为1.48 nm(7个原子层)(图1c)。HEANC中Pt:Ru:Ni:Co:Mo的摩尔比为23.0 : 15.0 : 29.2 : 25.8 : 6.9(图1d)。HEANC表现为单相固溶体结构(图1e和1f),五种元素均匀分散,没有元素偏析。通过EXAFS光谱(图1g)确定出HEANCs中的五种元素具有相似的配位环境且随机混合,形成了完整的无杂质固溶结构。同时还利用XANES研究了HEANCs的电子结构(图1h-1l),HEANCs中的元素均处于金属态,并没有被氧化。但由于Ni/Co较低的电负性,Ni/Co原子会向Pt/Ru原子提供少量电子,使得Pt和Ru处于富电子状态。

图1 NiCoMoPtRu高熵合金纳米团簇(HEANCs)的形貌、组成和结构表征。
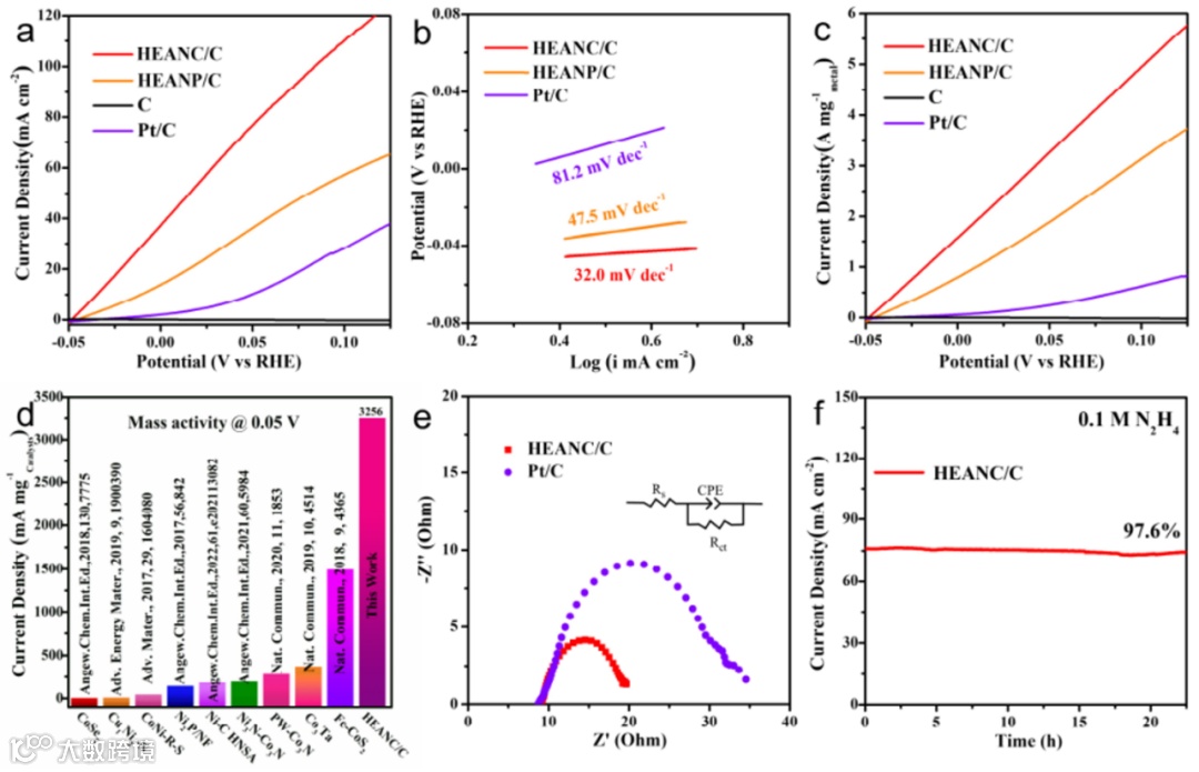
电化学性能测试结果表明(图2和图3),HEANC/C表现出极为优异的HER和HzOR性能。相较于高熵合金纳米颗粒(HEANP/C)和商业Pt/C催化剂,HEANC/C具有更高的面积活性、质量活性和稳定性,并且整体优于现已报道的电催化剂。具体而言,对于HER,在碱性条件下(1M KOH),HEANC/C在10 mA cm-2下的过电位仅为9.5 mV,并且在-0.07 V时具有超高质量活性,达到了12.85 A mg-1noble metal。同时,HEANC/C表现出优异的稳定性,经过20000圈加速老化测试(ADT)后,催化活性几乎没有变化。对于HzOR,在1M KOH/0.1 M N2H4条件下,HEANC/C表现出较低的起始电位和较快的电流密度增加速度。在0.05 V下,HEANC/C的质量活性高达3.26 A mg-1。Tafel斜率(32.0 mV dec-1)和Nyquist图表明HEANC/C具有更快的电荷转移和更有利的HzOR动力学过程。同样,HEANC/C表现出优秀的稳定性。经过85 h持续测试后,HEANC/C可以保持初始电流密度的97.6%。

图2 HEANC/C在1M KOH溶液中HER性能表征。

图3 HEANC/C在1M KOH/0.1 M N2H4溶液中HzOR的性能表征。
鉴于上述优异的HER和HzOR 性能,将HEANC/C 作为阴阳极双功能催化剂应用于水合肼氧化辅助产氢(OHzS)系统中。相较于全电解水制氢(OWS)系统,OHzS系统产氢电压得到大幅度降低(图4)。具体而言,OHzS系统仅需要0.025、0.100和0.181 V的极低电压就能分别达到10、50和100 mA cm-2的电流密度,而OWS系统则分别需要1.588、1.709和1.802 V。同时,OHzS系统还可以在0.1 V的电压下实现250.2mA mg-1催化剂的较高质量活性,远优于同等条件下的文献报道值。而且,在经过150 h的稳定性测试后,活性仍能保持94.1%。

图4 HEANC/C作为双功能催化剂构成的OHzS系统的电化学性能表征。
最后,通过DFT理论计算揭示了具有复杂结构的HEANC较高的HER、HzOR和OHzS本征活性的原因,并提出了全活性位点和超活性位点催化的概念(图5和图6)。对于HER,首先研究了HEANC表面所有位点(72个位点)的氢吸附自由能(ΔGH*),证明了HEANC表面上的大多数活性位点具有比纯Pt表面上的Pt位点(-0.15 eV)更小的ΔGH*,特别是有6个活性位点具有超低的ΔGH*(≤ 0.05 eV),接近于理想的ΔGH*(0eV ),这些活性位点被定义为HER超活性位点。这些位点可以促进HEANC表面上更快速的H+吸附和H2释放,最终展现出优异的HER活性。对于HzOR,同样研究了HEANC表面上所有HzOR位点(108个位点),并选取具有较强N2H4吸附能的46个位点进行N2H4的逐步脱氢过程研究。研究结果表明,有36个HzOR活性位点的决速步(RDS)能垒低于纯Pt位点。此外,还有4个位点表现出超低的RDS能垒(≤ 0.13 eV),这4个活性位点被定义为HzOR的超活性位点。这些活性位点贡献了HEANC优异的HzOR活性。最后,通过整合HEANC表面上所有HER和HzOR位点,将三个相邻的金属原子归类为一个OHzS系统活性位点,即每个OHzS位点包含三个HzOR位点和一个HER位点。研究发现,在HEANC表面的72个OHzS位点都是HER或者HzOR的有效活性位点,特别是有些OHzS位点同时是HER和HzOR的有效活性位点,这也充分证明了HEANC催化剂对OHzS产氢系统的全活性位点催化机制。

图5 HEANCs分别对HER和HzOR的理论研究。

图6 HEANCs对OHzS系统的全活性位点和超活性位点的催化机理研究。
本工作创新性地设计并制备了仅有1.48 nm的高熵合金纳米团簇催化剂,其展现出目前最高水平的HER、HzOR以及OHzS性能。此外,首次提出了全活性位点和超活性位点催化机制。本工作不仅为OHzS高效节能产氢开发了足够有效的双功能催化剂,也为其它能源相关领域高活性催化剂的构筑提供了新的设计思路。
第一作者:冯广,北京大学博士、博士后,现为北京理工大学预聘副教授/特别研究员,博士生导师。研究领域为电解水制氢、电化学重整耦合制氢以及氢燃料电池等新能源转换技术中新型高效纳米催化剂的设计与精准构筑、电解池和燃料电池等高效器件搭建及性能调控、气液固三相界面催化反应机理研究等。近几年发表SCI论文近20篇,包括以一作身份发表在Nat. Commun.,J. Am. Chem. Soc.(2),Adv. Mater.,Angew. Chem. Int. Ed.,Adv. Sci.,Nano Res.等国际著名期刊上。其中,ESI高被引论文2篇,热点论文1篇,期刊封面论文1篇。申请国家发明专利2项,实现成果转化1项。主持国家自然科学基金1项,参与2项。获批北京理工大学青年教师学术启动计划和国家博士后国际交流计划项目等。
通讯作者:夏定国,北京大学教授, 博士生导师,教育部长江学者特聘教授,先进电池材料理论与技术北京市重点实验室主任,北京大学工程科学与新兴技术高精尖创新中心能源技术部PI。研究领域为:(1)锂/锂离子电池材料;(2)低铂及非铂催化剂;(3)材料模拟计算。承担或完成了包括国家重大研究计划、科技部重点研发计划、国家自然科学基金重点课题及北京市自然科学基金重点课题。在锂离子电池材料、燃料电池催化剂及材料制备等领域完成国家与省部级课题10余项;获得国家与省部级科学技术奖励3项,获得国家科技进步二等奖一项,北京市科学技术一等奖一项(基础类);出版学术专著2部。近些年,以通信作者身份在Nature Commun., J. Am. Chem. Soc., Adv. Mater., Angew. Chem. Int. Ed., Energy Environ. Sci., Adv. Energy Mater., Adv. Funct. Mater., Nano Lett.等学术刊物上发表研究论文150余篇。
声明
“邃瞳科学云”直播服务
扫描二维码下载
邃瞳科学云APP

