第一作者:李树春,曹昌盛,陈嘉彬
通讯作者:谢在来教授
通讯单位:福州大学先进碳基功能材料重点实验室,福州大学分子工程+研究院
论文DOI:10.1038/s41467-025-61198-y
单原子催化剂(SACs)能够实现对活性位点的原子级调控,但通过轨道层面的精准操控来引导催化行为仍具挑战。本工作基于Cu SACs的配位几何结构的精准调控(Cu-N3vs. Cu-N4),实现了Cu活性中心d轨道的工程化设计,进而促进催化性能的显著提升。在以H2O2为氧化剂的苯选择性氧化生成为苯酚的反应中,经优化后的三配位Cu SAC(Cu-N3-33.2)展现出优异性能:60 oC下反应1 h后,苯的转化率和转化频率(TOF)分别高达到85.8%和680.3 h−1,远优于四配位构型的Cu SAC(Cu-N4-3.3),以及绝大部分已报道的金属基催化剂。深入的机理研究表明,Cu-N3-33.2中Cu-N3位点上Cu的d轨道与氧的p轨道之间的强p-d轨道杂化作用促进了Cu–O活性中间体的动态生成,这可以显著降低H2O2的活化能垒,最终促进苯氧化性能的提升。本研究提出的配位结构调控引导的轨道调控新策略,将为设计高性能SACs提供新思路。
苯氧化反应(BOR)是合成苯酚这一关键工业化学品原料的重要反应,在有机合成中占据重要地位。传统异丙苯法存在流程复杂、选择性低、能耗高和环境污染等问题。直接以H2O2为氧化剂将苯氧化为苯酚是绿色化学的理想路径,但面临催化效率低和过度氧化等挑战。单原子催化剂(SACs)因其超高原子利用率和独特电子结构备受关注。特别是过渡金属基SACs,从轨道层面实现d轨道的精准调控是提升其催化性能(特别是BOR)的有效策略之一。然而,如何通过SACs的可控制备来实现d轨道能级的精准调控仍面临严峻挑战。另一方面,如何从轨道层面认识轨道调控对催化性能的调控机制也是目前研究的难点之一。
1. 配位结构优化策略:通过调控金属负载量实现Cu SACs配位几何结构(Cu-N3vs. Cu-N4)及d轨道的精准调控,为研究机理提供理想模型。
2. 超高活性与稳定性:Cu-N3-33.2催化剂TOF达680.3 h−1,优于大多数同类催化剂,且循环6次后性能无明显衰减。
3. 界面溶剂效应:在水溶剂中,通过双相界面效应抑制苯酚过度氧化,突破传统有机溶剂限制,使苯酚选择性高达96%。
4. 机制深度解析:结合原位ATR-IR光谱和DFT理论计算,阐明d-p杂化驱动的H2O2活化机制,并揭示1O2是过度氧化的关键物种。
本文采用鸟嘌呤自组装和高温碳化策略,成功合成一系列N掺杂碳纳米片为载体的Cu SACs(Cu-Nx-y)。通过调控Cu2+载量可以实现四配位(Cu-N4)到三配位(Cu-N3)构型的可控转变(图1a)。球差电镜图像显示Cu-Nx-y催化剂中Cu均以原子级分散形式存在,且无纳米颗粒或团簇形成,EDS元素面扫图证实C、N、Cu元素均匀分布(图1b-e)。
图1 Cu-Nx-y催化剂的制备及形貌、结构表征
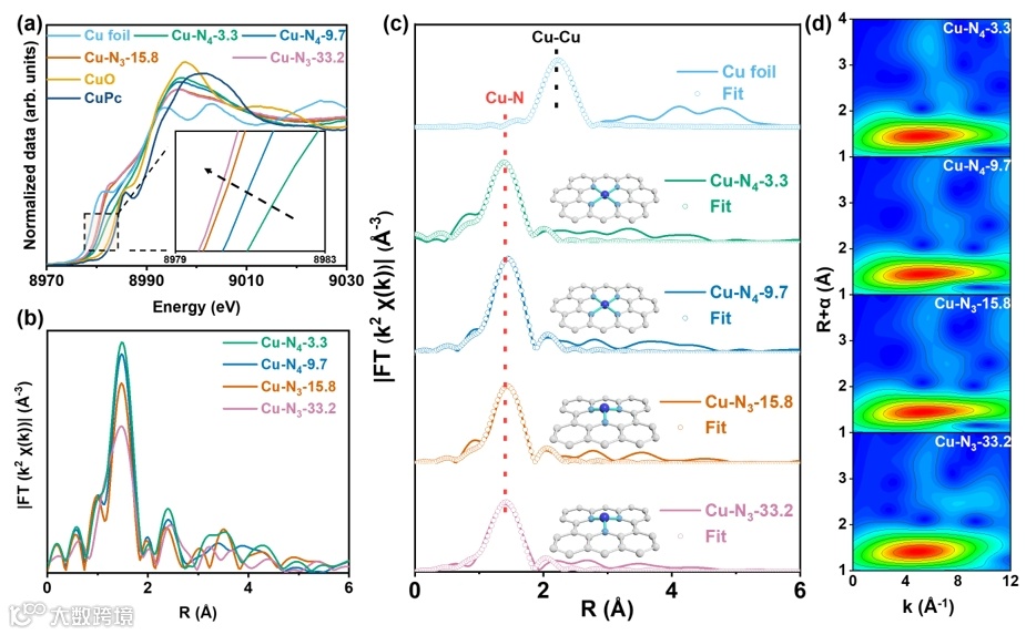
同步辐射X射线吸收光谱揭示Cu的配位数随Cu负载量升高从Cu-N4(3.3 wt%)向Cu-N3(33.2 wt%)转变(图2a-c),且Cu价态逐渐降低(Cu2+→ Cu+)。小波变换谱图显示,在k = 4.8 Å−1处出现Cu-N路径特征峰,排除金属键干扰。该发现首次建立了“负载量→ 配位数 → 价态”的连续调控机制。
图2 Cu-Nx-y催化剂的结构表征
在乙腈溶剂体系中(图3a),Cu-N3-33.2展现出非常优异的催化性能:在60 oC下反应1 h后苯的转化率高达85.8%,周转频率(TOF)达680.3 h−1,显著优于Cu-N4-3.3(转化率:19.6%,TOF:214.5 h−1)。不仅如此,稳定性实验结果表明,Cu-N3-33.2经6次循环后性能几乎无衰减(图3b),证实其优异的活性与结构稳定性。进一步使用水作溶剂时,苯/水之间的界面效应使苯酚选择性从52.9%跃升至96%(反应5小时转化率85.9%),且在40 °C时选择性达100%(图3c,d)。此外,通过活性物种捕获剂实验结果发现:添加L-组氨酸会使苯转化率小幅下降,但苯酚选择性可以显著提升至91.6%,且苯酚过度氧化程度急剧降低(图3e,f),表明1O2是造成苯酚过度氧化的直接活性物种。
图3 Cu-Nx-y催化剂的BOR性能
通过原位ATR-IR光谱检测到了Cu−O物种的特征振动信号,且Cu-N3-33.2的信号强度明显强于Cu-N4-3.3,证实三配位构型的Cu-N3中心更易形成Cu−O活性中间体(图4b)。DFT计算结果进一步揭示关键机制:Cu-N3位点中Cu原子dz2轨道与O原子p轨道能级匹配,实现了强电子耦合杂化,这使Cu的d带中心上移至−1.57 eV(Cu-N4为−2.77 eV),进而使H2O2的吸附能增至−117.87 kJ mol−1(Cu-N4为−24.27 kJ mol−1,图4c,d)。自由能图谱显示,与Cu-N4相比,Cu-N3的H2O2活化能垒降低0.98 eV(图4e)。电荷密度差分析结果显示,Cu-N3向H2O2转移1.86 e−,远多于Cu-N4(仅0.17 e−,图4e),阐明其高效电子传输机制。
图4 催化反应机理分析
本工作利用超分子自组装与高温碳化策略,成功构建了一系列具有不同配位结构的Cu SACs(Cu-Nx-y)。研究发现,通过调控金属负载量可实现Cu SACs配位结构、以及Cu位点d轨道电子结构的精准调节,从而显著提升催化性能。其中,具有三配位构型的Cu-N3-33.2催化剂在苯选择性氧化反应中表现出优异活性。机理研究进一步揭示,Cu–O活性中间体是苯转化为苯酚的关键活性物种,而原位生成的1O2则是导致苯酚过度氧化为对苯醌的主要因素。该工作为利用轨道工程调控SACs的催化性能提供了新思路。
谢在来课题组隶属于福州大学化学学院先进碳基功能材料福建省高校重点实验室。课题组的研究方向主要包括先进碳基材料合成、绿色催化与反应工程、能源与环境材料等领域。课题组近期关注高纯超分子碳材料的合成新方法,非金属硼碳氮氧化脱氢反应新机制,以及先进碳基材料在高效热催化转化和能源电化学方面的应用开发。该课题组长期招聘工业催化、多孔材料和理论计算的副教授、讲师、师资博士后。
谢在来,福州大学教授,博士生导师,化学学院副院长,曾入选国家“万人计划”青年拔尖人才,“闽江学者”特聘教授,福建省首批“雏鹰计划”青年拔尖人才,福建省杰青,福建省百千万人才;兼任先进碳基功能材料福建省高校重点实验室主任,福建省化学会副秘书长、常务理事,福建省消防标准化技术委员会副主任委员,获第五届福州市青年科技奖;主持国家自然科学基金面上项目3项和福建省自然科学基金杰出青年项目,以及国家万人计划青年拔尖人才、福建省闽江学者和雏鹰计划青年拔尖人才等项目,以第一作者或通讯作者在包括Sci. Adv.、Nat. Commun.、Angew. Chem. Int. Ed.、Chem、Adv. Mater.、Adv. Funct. Mater. 等权威刊物上发表文章130余篇,获授权发明专利10件。
课题组主页https://chem.fzu.edu.cn/info/1225/8778.htm
声明

