

第一作者:韩小玉1,2,3,肖田田1,2
通讯作者:李茂帅1,Sibudjing Kawi3, 马新宾1
通讯单位:天津大学1,天津大学-新加坡国立大学福州联合学院2,新加坡国立大学3
论文DOI:10.1021/acscatal.3c03431
铜基催化剂在CO2选择性加氢制甲醇方面由于其性能优异且价格低廉而广受关注。然而,由于其结构复杂,如何清晰阐明其真实活性位点成为挑战。本研究通过原位还原法构筑了具有不同尺寸Cu物种的CuGaZrOx固溶体催化剂,探究Cu物种尺寸以及Cu与Ga位点协同作用对催化性能的影响。在具有孤立Cu位点的CuGaZrOx固溶体中,位于Zr位点附近的原子级分散的Cu物种(Cu1-O3)有助于增强CO2吸附/活化能力,而Ga位点主要负责H2解离。通过实验与密度泛函理论计算(DFT)进一步揭示了Cu和Ga物种之间的协同作用有利于CO2加氢选择性生成CH3OH,同时抑制了副产物CO的生成。
二氧化碳加氢制甲醇是二氧化碳资源化利用的重要手段。铜基催化剂因其优异的催化活性和经济性而受到广泛关注。研究普遍认为铜物种是催化的活性位点,并且铜物种的性质(粒径、分散性、Cu0/Cu+)在催化性能中起着关键作用。前期,课题组在纳米尺度铜基催化剂研究表明,Cu-ZrO2界面位点及其与CuZn合金的协同效应促进甲醇生成,并在分子水平上明确表面反应过程中甲酸盐和甲氧基是关键中间体,甲醇生成反应机制遵循甲酸盐路径。目前,在热催化加氢领域关于Cu物种的尺寸效应主要集中在纳米粒子水平。然而,与团簇和纳米粒子相比,原子级分散的金属具有独特的电子结构性质,表现出不同的催化行为。固溶体催化剂MaZrOx (Ma = Zn, Ga, Cd)表现出了较高的甲醇选择性,弥补了铜基催化剂的高温选择性低的不足。但是由于其有限的H2和CO2活化能力,催化活性有待进一步提高。在本研究中,采用了不同尺寸的Cu物种与GaZrOx结合策略,制备出具有高效活性位点的CuGaZrOx固溶体,以增强其对CO2加氢制甲醇的催化活性,同时仍保持较高的甲醇选择性和稳定性。结果表明,与团簇或者纳米粒子相比,具有原子分散Cu位点的CuGaZrOx固溶体催化剂表现出更高的甲醇生成速率。
通过原位还原的方法构筑了具有不同尺寸Cu物种的CuGaZrOx固溶体催化剂。HAADF-STEM表明Cu物种在2CuGaZrOx固溶体表面均匀分布,当进一步增加Cu的含量,Cu物种发生一定程度的聚集(图1)。XAS进一步证明, 2CuGaZrOx中Cu以单位点的形式存在,而高Cu负载样品上Cu则以团簇或纳米粒子形式存在(图2)。

图1 (a) 0.2CuGaZrOx, (b) 2CuGaZrOx, (c) 5CuGaZrOx 和 (d) 10CuGaZrOx HAADF-STEM图

图2 2CuGaZrOx, 5CuGaZrOx的Cu K-edge (a)XANES光谱和(b)傅里叶变换EXAFS光谱,(c)2CuGaZrOx,(d)5CuGaZrOx, (e)Cu箔小波变换
H2-TPR结果表明,当Cu含量较低时,0.2CuGaZrOx晶格中的Cu难以被还原到表面形成活性位点。而2CuGaZrOx在213 °C处的氢气消耗信号归属于固溶体中的氧化铜部分还原形成孤立的单原子铜物种。进一步增加铜的含量则出现多个氧化铜物种还原峰,其对应于不同尺寸的Cu物种的形成(图3a)。近原位XPS结果表明Cu物种被还原为Cu0或者Cu+(图3b)。Ga物种则以氧化态的形式存在(图3c,d)。
图3 (a)固溶体催化剂H2-TPR,(b)近原位Cu XPS, (c)2CuGaZrOx, 5CuGaZrOx的Ga K-edge XANES光谱,(d)近原位Ga XPS
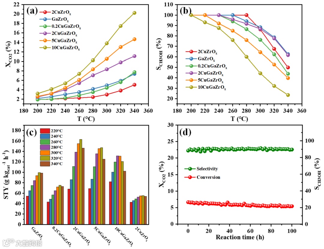
不同Cu尺寸的CuGaZrOx固溶体催化剂性能(图4)显示,具有单位点Cu的2CuGaZrOx固溶体催化剂表现出更高的甲醇生成速率。进一步增加Cu的含量,即Cu物种的存在形式为团簇或者纳米颗粒时,二氧化碳的转化率提高,而甲醇的选择性大大降低。

图4 催化剂的活性、选择性、甲醇时空收率和稳定性
为了进一步探究二氧化碳与氢气的吸附活化位点,进行了反应物探针分子吸脱附表征和DFT理论计算。通过CO2-TPD结果(图5a)可以看出,具有不同尺寸Cu物种的催化剂呈现不同的CO2吸附形式,并进一步通过DFT计算确定二氧化碳的吸附位点(图5b)。单位点铜催化剂中的二氧化碳的吸附位点为Cu-O-Zr位点,而团簇Cu催化剂的二氧化碳吸附位点有两个,分别是Cu-O-Zr和 Cu-Cu位点,与CO2-TPD的结果一致。除了CO2的吸附活化,H2的吸附活化对于CO2加氢性能十分重要。探针分子H2-FTIR(图5c,d)测试表明,在2CuGaZrOx固溶体催化剂中检测到Ga-H物种,说明Ga位点能够促进氢气的解离。为了进一步探究催化剂对于H2的吸附解离能力,进行了H2解离的DFT计算。计算结果表明,在单位点铜催化剂中H2的解离位点为Ga位点,而团簇Cu催化剂的H2吸附解离位点为Cu位点。并且,通过对比氢气解离能,发现单位点铜催化剂更有利于氢气的解离。这一结果说明,具有单位点Cu物种的CuGaZrOx催化剂中Cu位点与 Ga位点协同作用,共同促进二氧化碳加氢制甲醇。

图5 CO2活化以及H2活化解离分析
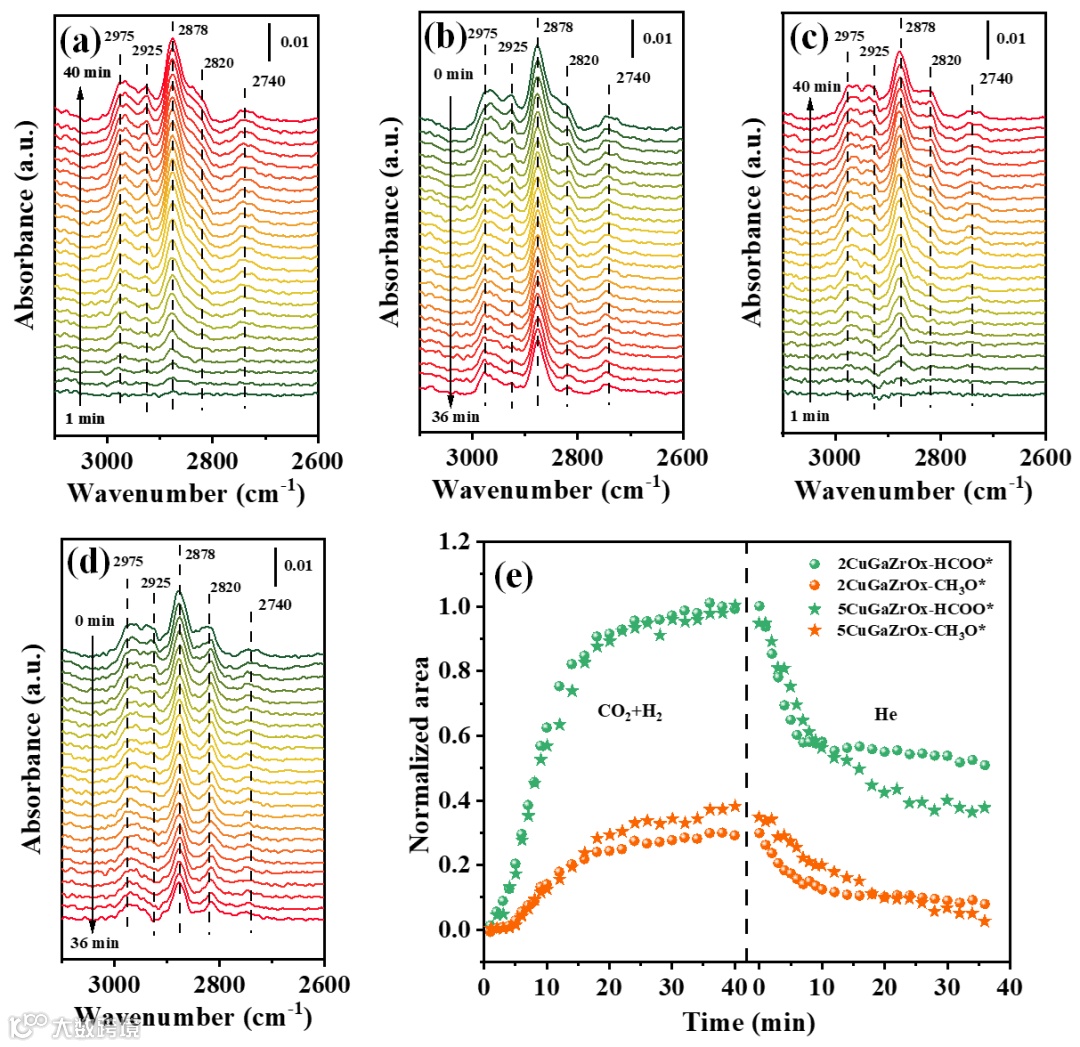
该工作通过原位漫反射红外光谱(DRIFTS)对CO2加氢的反应机理进行了分析(图6)。结果表明CO2加氢生成甲醇反应遵循甲酸盐路径,并且中间物种甲酸盐在催化剂表面的吸附强度影响产物的选择性。进一步通过DFT计算对反应机理进行分析(图7),在单位点Cu催化剂上,通过甲酸盐路径生成甲醇的决速步具有较低的反应能垒,表现出较高的甲醇选择性。

图6 CO2加氢反应机理分析

图7 CO2加氢反应路径分析
该研究揭示了在三元CuGaZrOx固溶体催化剂中,单原子Cu(Cu1-O3)与Ga位点之间的协同相互作用对CO2选择性加氢制甲醇的重要作用。具有孤立单原子Cu物种(2CuGaZrOx)催化剂更倾向于通过与邻近Zr位点上的单原子Cu(Cu1-O3)物种吸附活化CO2。而具有铜簇/纳米粒子的催化剂(5CuGaZrOx和10CuGaZrOx)中Cu-O-Zr和Cu0-Cu+位点共同参与CO2的吸附活化过程。尽管随着Cu含量的增加,CO2的吸附活化更容易,但是对于具有单位点Cu物种的2CuGaZrOx催化剂,Ga位点上H2的解离能垒比Cu簇/纳米颗粒上的解离能垒更低。Ga位点上的H2解离产生的H物种迁移,与活化的CO2反应形成中间物种HCOO*。整个反应过程中,限速步骤(从H2CO*到H3CO*)较低的反应能垒以及HCOO*物种在2CuGaZrOx催化剂表面的强吸附作用决定了较高的甲醇选择性。本研究深入探讨了在原子水平上多活性位点之间协同作用,实现高效催化CO2加氢制甲醇。
马新宾,天津大学化工学院教授,博士生导师,长江学者、杰青、万人计划领军人才。科技部重点领域创新团队一碳化工团队负责人,国家重点研发计划“煤炭清洁高效利用”重点专项总体专家组副组长、“The Mission Innovation”国际创新联盟CCUS方向中方负责人、净零工业方向中方首席科学家,化工三大期刊IECR副主编,中国化工学会会士。长期致力于一碳反应机理、催化剂设计、系统集成和工程放大等研究,在化学化工国际顶级期刊 JACS、Nat. Commun.、Angew. Chem.、PNAS等化学化工国际顶尖期刊发表SCI论文300余篇,SCI他引10000余次,连续八年入选Elsevier中国高被引学者领域榜单,获授权国际发明专利7项,授权中国发明专利五十余项。主持国家自然科学基金重点项目、“863”项目等10余项,大型产学研项目6项,获国家自然科学奖二等奖、教育部技术发明一等奖、中国石油和化学工业联合会技术发明一等奖、中国化工学会基础研究成果一等奖、天津市专利金奖等科技奖励,全国五一劳动奖章、侯德榜化工科技成就奖等荣誉。
李茂帅,天津大学化工学院副教授,博士生导师,致力于CO2加氢制低碳燃料、氢甲酰化等绿色化学工艺和非均相催化过程研究。在国际高水平期刊ACS Catal.、 Appl. Catal. B、J. Catal.等发表论文40余篇,申请中国发明专利10余项,主持国家自然科学基金、重点研发计划子课题等国家级和国际合作产学研项目。Catal. Today客座编辑、《Chinese J. Chem. Eng.》青年编委。
Sibudjing Kawi, 新加坡国立大学副教授,博士生导师,致力于高效催化剂(热催化、等离子体催化、光催化、电催化),以及膜催化反应器(沸石、钙钛矿、MOF、Pd-合金、复合膜)的开发,用于二氧化碳的捕集与利用、生物质废气化/重整、甲烷重整、水煤气变换以及烃类脱氢反应。发表论文380 余篇(SCI他引22,000 余次,h index = 84)。现任Frontiers in Energy Research (Carbon Capture, Storage and Utilization)、Frontiers in Chemical Engineering (Catalytic Engineering)副主编,以及Journal of CO2 Utilization、ChemCatChem、Carbon Capture Science & Technology编委。
韩小玉,新加坡国立大学化学与分子工程系博士生,师从天津大学马新宾教授、李茂帅副教授,新加坡国立大学Sibudjing Kawi副教授,研究方向为二氧化碳加氢制甲醇铜基催化剂的设计及构效关系研究。以第一作者和共同作者在国际高水平期刊ACS Catal.、Appl. Catal. B、J. Energy Chem.等发表论文9篇,申请专利两项。
肖田田,南开大学博士毕业,于2022年7月进入天津大学马新宾教授课题组从事铜基催化剂理性设计研究,主要利用密度泛函理论手段计算催化反应过程中的基元反应、催化活性,为催化剂的优化和设计提供理论指导。在ACS Catal.、Appl. Surf. Sci.、Catal. Sci. Technol.、JPCC等期刊发表研究成果。
欢迎访问天津大学一碳化工课题组主页:http://c1-chem.tju.edu.cn/
声明
“邃瞳科学云”直播服务
扫描二维码下载
邃瞳科学云APP

