为何海森堡能获得魔法般的突破
北京航空航天大学物理学院
郝维昌
海森堡是索末菲的博士生,在博士期间就参加了玻尔节并与玻尔有深入的交流。1922年开始在哥廷根担任玻恩的助手,1924年9月-1925年4月在玻尔课题组访问。海森堡是唯一一个受教于三位量子力学奠基人的年轻学者。在玻尔研究组,通过与克拉莫斯[1]的合作了解到电磁偶极子的发射系数A与振子的振幅模方|xo|2成正比。
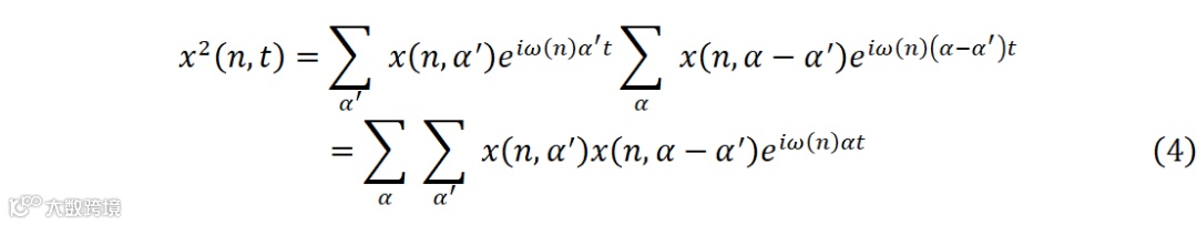
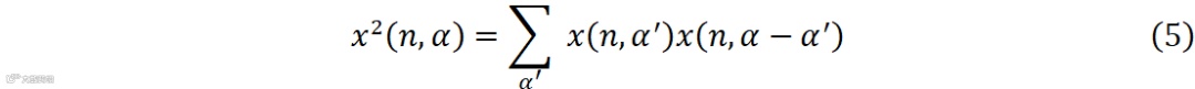
因此想到要想得到量子力学的正确形式必须先确定量子理论的x2(t)的正确形式是什么。1924年,玻恩发表一篇重要的文章[2],呼唤新的量子力学出现,并做出了初步尝试提出了玻恩对应原理及处理虚振子和电子运动的一些基本方法。原子中电子轨道的概念应该被抛弃,并由虚振子取代,虚振子与实验观测的原子谱线相对应。1925年初海森堡将多电子原子光谱的研究方向改为氢原子谱线的强度研究,他的目的是将玻恩对应原理应用于原子圆形和椭圆形轨道上辐射量子化的问题,他不得不利用二维系统的傅里叶级数进行计算,这个步骤很快就变得异常复杂。他不得不退而求其次转向谐振子问题(由多电子原子光谱-氢原子光谱-谐振子系统,这种由复杂到简单表面上退让,却在事实上更接近本质)。另外海森堡对玻尔对应原理和玻恩对应原理有深刻的理解。
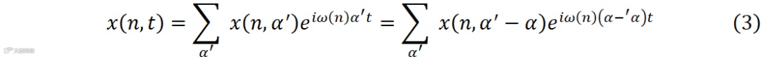
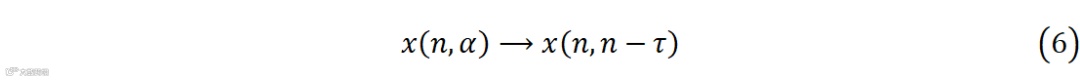
而海森堡的深刻之处在于,他意识到玻恩量子化的方法不仅应用于虚振子的频率,还应该应用于电子本身的运动学,即电子的空间位置x(t)也应该服从玻恩的对应原理[3]。描述虚振子最有效的方法就是傅里叶级数,最重要的一点就是先从半经典电子轨道的谐波傅里叶级数表示开始。对于主量子数为n的轨道上电子(半经典系统对应一个能级),其空间位置可以谐波傅里叶级数表示如下
α是正负整数, x(n,-α)=x*(n,α)是x(n,α)复共轭。
(2)式也可以写成
因此
因此
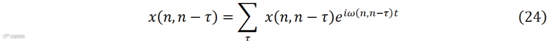
海森保认为(5)式结果是真正重要的!后面的问题就是如何构造一个量子力学系统对应两个能级跃迁振幅。根据玻尔和玻恩的对应原理,但能级问题应该变成两个能级之间的跃迁
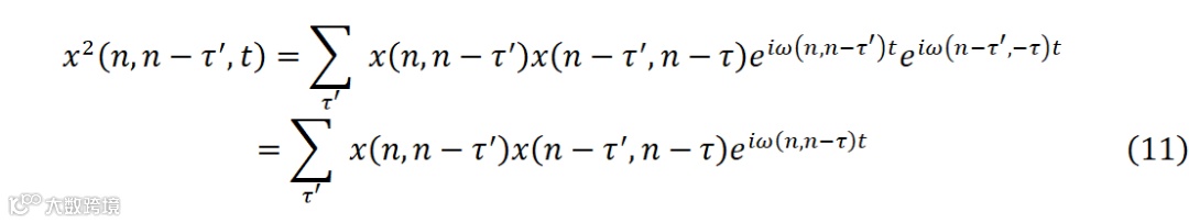
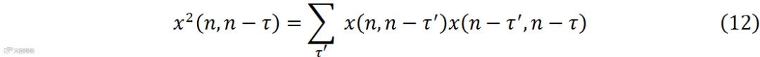
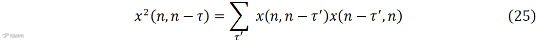
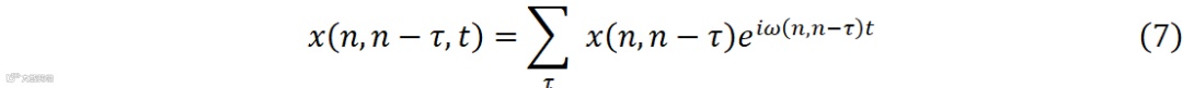
量子系统的空间函数的级数表示如下
其中x(n,n-τ)=x*(n,n-τ),x是实数
如果直接按照半经典系统(4)式处理方法,只能得到下式
指数项的和不符合里茨(Ritz)频率规则
海森堡修正为:
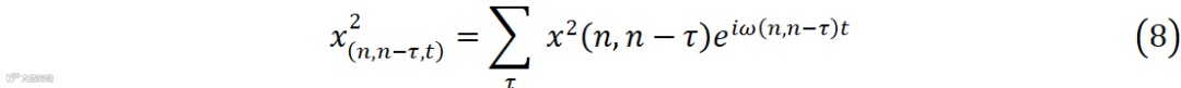
因此
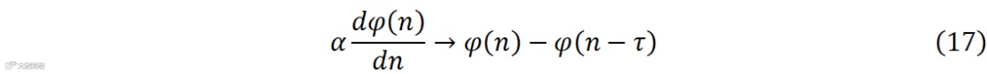
如此就获得了量子系统的x2(t)的正确形式
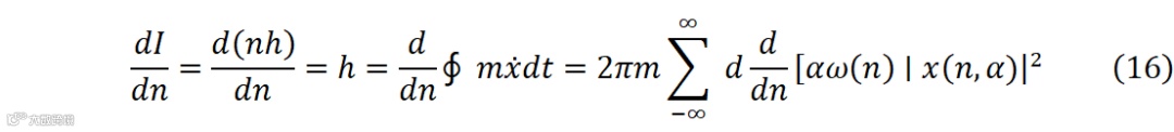
对于半经典系统
,引入振子的作用量J

![]()
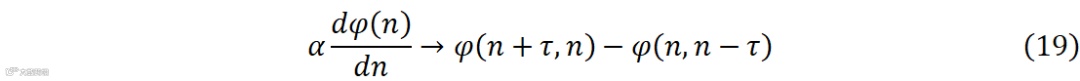
引入量子化条件:J=nh,在大量子数条件下与经典对应,因此对上式去微分
根据玻恩对应原理,微分被差分取代(单个能级的问题变为两个能级之间差)
因此最前面的那个谐波表示应该如下
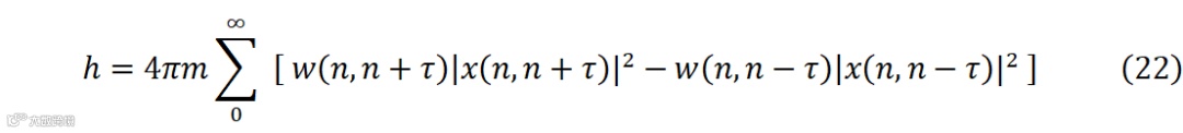
克拉莫斯和海森堡在1924年的文章中对这一对应形式做了进一步的修正
因此,上面的微分形式应该由下面的形式取代
海森堡就得到了下面的最核心的结果
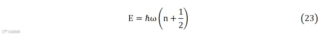
海森堡在这个过程发现通常这个级数表达不满足乘法交换律,即x(n)y(n)≠x(n)y(n)。虽然他十分担心,但他却毫不畏惧,直接利用将这个结果解决非线性谐振子问题,经过极其复杂的代数运算,海森堡获得了谐振子和非线性谐振的能量表达,这个结果就包含了零点能项1/2ℏω
一旦迈出了关键的第一步,剩下事情就顺其自然了。玻恩回忆到:“海森堡的想法和目的有些昧昧神秘,他大胆的引入了坐标和动量的跃迁振幅。一天早上我突然看到了曙光,海森堡的乘法符号不过是矩阵的乘法,我在大学时罗萨内斯老师课程就知道这些”。而且在1912年与冯卡门一起合作晶格理论(这个文章建立了Born-von Karman周期性边界条件)已经使用了矩阵数学[4]。因此他对矩阵代数、无限维理论和二次型化为主轴的技术非常熟悉。
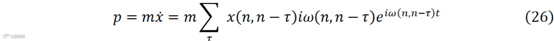
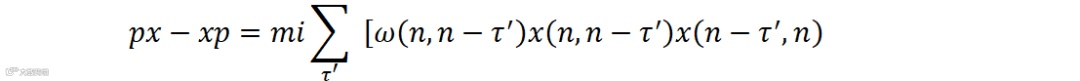
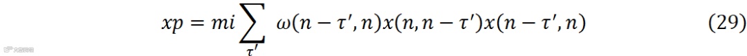
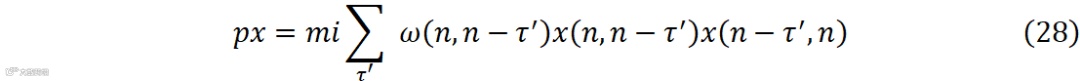
对于量子系统玻恩和约当在矩阵力学的第二篇文章中计算了位置和动量的两个矩阵的乘积[5,6],首先写出空间坐标的级数形式
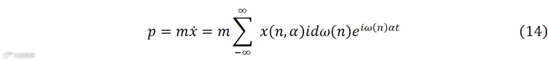
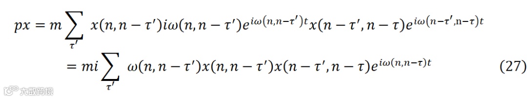
下面来计算动量
然后计算二者的乘积
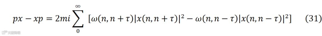
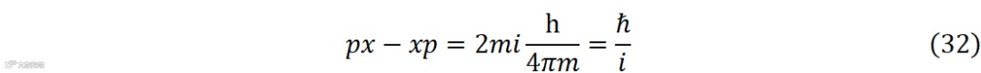
现在我们考虑不随时间变化的情况,也就是τ=0的情况,那么px乘积实际上这个矩阵对角元,即
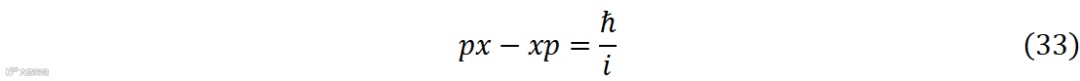
同理:
二者做减法,采用海森堡类似的处理方式马上就得到
将上式得到结果与(22)式做对比,马上就得到了矩阵力学不对易关系
参考文献:
[1]H A Karamers, W. Heisenberg Über die Streuung von Strahlung durch Atome Zeitschrift für Physik,1925, 31: 681-708
[2]M. Born Zur Quantenmechanik I, Zeitschrift für Physik, 1924, 26: 379-395
[3]W. Heisenberg, Über quantentheoretische Umdeutung kinematischer und mechanischer Beziehungen, Zeitschrift für Physik,1925, 33: 879-893
[4]von Karman; M. Born, Zur Über Schwingungen in Raumgittern Zeitschrift.1912, 13: 197-309
[5]M. Born and P. Jordan, Zur Quantenmechanik I, Zeitschrift für Physik, 1925, 34: 858-888
[6]M. Born, W. Heisenberg, and P. Jordan, Zur Quantenmechanik II Zeitschrift für Physik, 1925, 35: 557-615
声明

