甲烷作为一种天然含量丰富的化学物质,有望成为合成高附加值化合物(如乙烷、丙烷、甲醇和乙酸)的基础原料。然而,由于C–H键的键解离能高,现有甲烷转化路线多依赖高能耗的间接过程,如蒸汽重整与费托合成。从能量和原子效率的角度来看,将甲烷直接转化为C2+产物更具优势,但反应易发生过氧化,选择性控制难度大,目前CH4偶联产物研究多集中于C2产物,C3产物的高效合成仍较罕见。近年来,有研究通过引入第二种反应底物(如CO)实现直接C–C偶联,或借助光催化条件抑制过氧化,实现了部分C2和C2含氧化合物的合成,但对C3含氧化合物的高效和选择性生产仍有待突破。
本研究报道了通过光热协同催化策略,将两个CH4与一个CO直接偶联合成丙酮(CH3COCH3)。该研究采用TiO2作为光吸收剂、Pd纳米颗粒作为助催化剂,在10 bar、150°C下实现了CH4活化并随后与CO偶联,所有液体产物中丙酮的选择性高达80%以上。同位素实验证实丙酮是两个CH4与一个CO直接偶联的结果,副产物乙酸是CH4与CO的单偶联的结果。Pd和活性中间体之间合适的结合强度被认为是实现高C3产物选择性的关键。
图 1. (a) 使用负载不同助催化剂的TiO2光催化 CH4-CO 偶联。(b) Pd/TiO2催化剂上 3 小时光催化反应的13C NMR 光谱。反应条件:15 mg 催化剂,10 mL H2O,9 bar CH4和 1 bar CO,150 °C,365 nm 光照射 3 h。
图 2. 光催化 CH4-CO偶联的表征。 (a) Pd/TiO2在不同 CO 浓度下的光催化活性。 (b) 不同 Pd 负载量的 Pd/TiO2的光催化活性。 (c) Pd/TiO2在不同反应条件下的光催化活性。
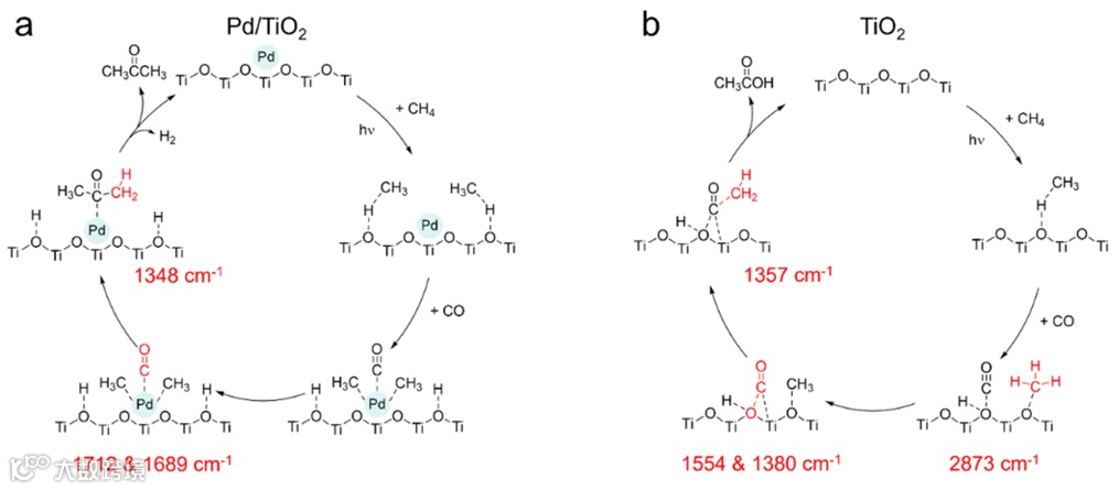
图 3. (a) Pd/TiO2和 (b) TiO2光催化CH4-CO偶联的反应过程。
图4. (a) Pd/TiO2和 TiO2光催化CH4-CO偶联的 DRIFTS 。(b) TiO2和 Pd/TiO2的 CO–DRIFTS 。
Muchun Fei, Boqiang Chen,Yasuhiro Sakamoto, Lizhuo Wang, Yu Mu, Jiwei Zhang, James R. Wilkes, Raven Gallenstein, Jun Huang, Junwei Lucas Bao, Wei Li*, Dunwei Wang*. Direct Formation of C3 Oxygenates through Photocatalytic CH4-CO Coupling. J. Am. Chem. Soc. 2025
https://doi.org/10.1021/jacs.5c07634
声明

