第一作者:郭子璇,来逢雨
通讯作者:耿保友,黄玉成
通讯单位:安徽师范大学
论文DOI:10.1039/D5EE01802A
本研究报道了一种基于葡萄糖介导的喷雾热解法,用于合成具有可控结晶度、分级孔隙结构以及原子级成分均匀性的非晶态NiFe双金属氧化物空心微球(A-NiFeOx)。在该合成策略中,葡萄糖不仅作为动态模板,还通过自限性气体膨胀机制引导空心结构的形成,并通过动力学过程稳定非晶相。优化后的A-NiFeOx-400催化剂在10 mA cm-2、50 mA cm-2和100 mA cm-2电流密度下分别表现出248 mV、274 mV和288 mV的超低过电位,显著优于相应的晶态催化剂及商业RuO2。原位电化学测试结果表明,在高电流密度条件下,A-NiFeOx-400主要遵循吸附质演化机制(AEM)。密度泛函理论(DFT)计算进一步揭示,结构非晶化诱导了Fe中心周围局部电荷的重新分布,从而增强了*OOH中间体的吸附能力,使氧析出反应(OER)的能垒降低了0.72 eV。在实际的AEMWE系统中,A-NiFeOx-400在3.56 V电压下实现了10 A cm-2工业级电流密度,并在1 A cm-2电流密度下连续运行800小时后仍表现出优异的稳定性,活性衰减仅为约1.25%。该合成方法具有良好的可扩展性,已成功应用于11种过渡金属氧化物的制备,并可在4小时内实现10克级产物的批量生产。本研究将原子级电子结构调控与工业可制造性相结合,为下一代吉瓦级绿氢生产用电催化剂的设计提供了新的范式。
在全球能源转型的背景下,发展高效且可持续的制氢技术已成为能源领域的关键课题之一。阴离子交换膜水电解(AEMWE)技术通过构建碱性反应环境,为非贵金属催化剂的应用提供了可能,然而受限于阳极氧析出反应(OER)动力学缓慢的问题,其整体效率与耐久性仍面临较大挑战。近年来,镍铁基氧化物催化剂因其独特的电子结构和相对低廉的成本而受到广泛关注。然而,其催化性能与贵金属催化剂相比仍存在一定差距。非晶态材料凭借其结构无序性展现出优异的催化潜力,尤其在与二维结构相结合后,能够显著提升活性位点的暴露程度和结构稳定性。然而,现有合成方法在多金属体系中难以实现对非晶材料形貌与组分的精确调控。本研究创新性地提出了一种基于动态自模板效应的合成策略,成功制备出具有二维结构的非晶态镍铁氧化物空心微球催化剂。该催化剂在工业级电流密度下展现出优异的催化活性与稳定性,性能接近贵金属催化剂水平。机理研究发现,非晶化过程诱导的电子结构优化有效降低了氧析出反应的能垒。该合成方法具有良好的普适性,为高性能、低成本非贵金属催化剂的设计提供了新思路。
1. 本研究采用葡萄糖介导的喷雾热解法,成功实现具有纳米级薄壁结构和非晶相特征的分级中空过渡金属氧化物材料的可控合成。该方法不仅具备规模化生产的潜力,还展现出良好的普适性。
2. 优化后的催化剂在氧析出反应(OER)中展现出与贵金属催化剂相当的催化活性,其在10 mA cm-2电流密度下的过电位仅为248 mV。此外,在工业级电流密度(1 A cm-2)下连续运行800小时后,催化剂性能衰减仅为1.25%。
3. 将原子级电子调控与规模化生产结合,在阴离子交换膜电解槽中实现0.79 kWh m-3的能耗节约,为吉瓦级绿氢基础设施提供了可行解决方案。
图1. (a) A-NiFeOx-400合成过程示意图。(b,c) A-NiFeOx-400的低倍和高倍SEM图像;(d,e) A-NiFeOx-400的低倍和高倍TEM图像;(f) A-NiFeOx-400的HRTEM图像;(g) A-NiFeOx-400的SAED图像;(h) A-NiFeOx-400的元素分布结果。
本研究开发了一种一步法可控合成路线,成功制备出非晶态NiFeOx中空微球(A-NiFeOx-400)。扫描电子显微镜(SEM)和透射电子显微镜(TEM)表征结果显示,合成的微球具有均匀的中空形貌和纳米级薄壁结构。高分辨透射电镜(HRTEM)图像与选区电子衍射(SAED)图谱进一步证实了材料的非晶态特征。能量色散X射线谱(EDS)元素分布分析表明,Fe、Ni和O元素在微球中呈均匀分布。
图2. (a) 不同温度煅烧的Ni1Fe0.6Ox中空微球的同步辐射XRD图谱,附NiO(PDF 00-044-1159)和NiFe2O4(PDF 00-066-0245)的布拉格位置(散点条);(b, c)不同温度Ni1Fe0.6Ox中空微球的PDF数据:(b) r范围1-50 Å,(c) r范围1-8 Å;(d) 晶态NiFeOx-700的Rietveld精修结果;(e, f) Fe foil、Fe2O3和A-NiFeOx-400的Fe K边XANES谱和EXAFS谱;(g, h) Ni foil、NiO和A-NiFeOx-400的Ni K边XANES谱和EXAFS谱;(i, j) Fe K边和Ni K边的WT-EXAFS图。
通过X射线衍射、同步辐射XRD和全散射技术对催化剂结晶度进行系统表征。结果表明,随着合成温度升高,材料结晶度逐渐增加,400℃时转变为非晶态,700℃时完全晶化为NiFe2O4与NiO的混合相。XAFS分析揭示A-NiFeOx-400具有独特的电子结构:Fe呈现+2/+3混合价态,Ni保持+2价但配位数降低至3.58,二者通过Ni-O-Fe键(2.91 Å)形成原子级协同。这种非晶态特有的低配位扭曲结构创造了丰富的活性位点,为高效催化提供了电子-结构双重优势。
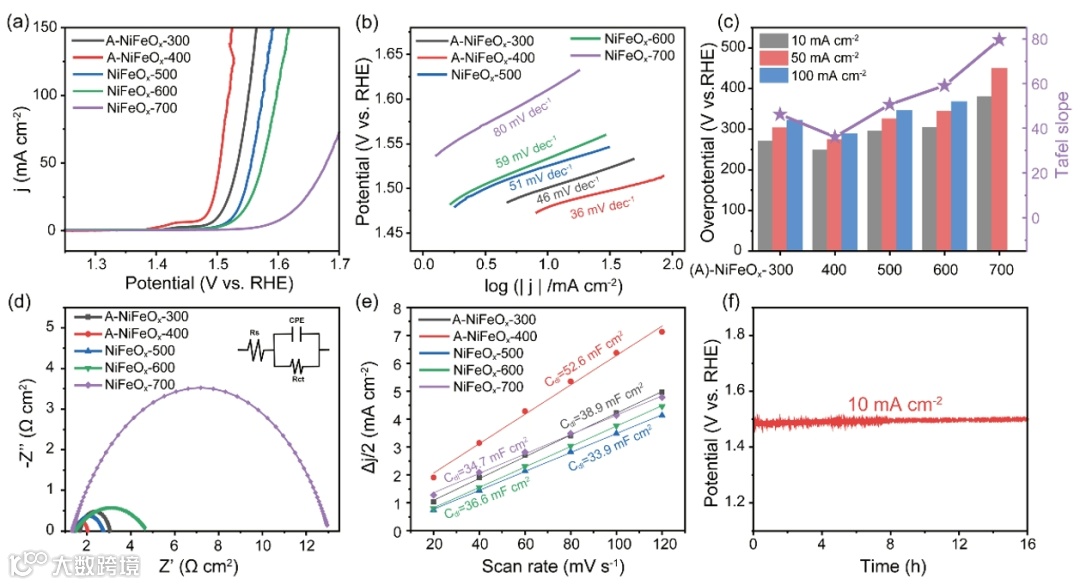
图3. (a) iR补偿后的OER线性扫描伏安曲线;(b) 相应Tafel图;(c) 不同催化剂的OER过电位比较;(d)催化剂的电化学阻抗谱;(e) 基于电化学Cdl值的ECSA曲线;(f) A-NiFeOx-400在j=10 mA cm-2条件下持续16小时OER电催化的计时电位曲线。
A-NiFeOx-400在碱性条件下表现出卓越的OER性能,仅需248 mV过电位即可达到10 mA cm-2电流密度,并展现出36 mV dec-1的优异反应动力学。其低电荷转移阻抗(0.607 Ω∙cm2)和高电化学活性面积(52.6 mF cm-2)源于非晶结构特有的配位不饱和位点。
图4. (a) AEMWE装置示意图;(b) 电化学工作站测试的A-NiFeOx-400 || Pt/C和RuO2 || Pt/C极化曲线;(c) 在1.0 M KOH中A-NiFeOx-400 || Pt/C和RuO2 || Pt/C生产1立方米H2的能耗比较;(d) 直流电源测试的极化曲线(模拟);(e) A-NiFeOx-400 || Pt/C系统在1 A cm-2电流密度下的800小时稳定性测试。
A-NiFeOx-400在AEMWE单电池测试中展现出卓越的工业应用潜力:在1.8 V电压下电流密度达1457 mA cm-2,性能超越商业RuO2催化剂6.5倍。该体系在1 A cm-2电流密度下制氢能耗降低0.79 kW·h m-3,且能实现10 A cm-2的超高电流密度(3.65 V)。800小时持续运行测试显示电压衰减率仅为27.5 μV h-1,证实其具有优异的工业级稳定性。
图5. (a, d, g, j, m) 不同温度合成的Ni1Fe0.6Ox中空微球的X-PEEM图像;(b, e, h, k, n) Fe和(c, f, i, l, o) Ni的价态信息(通过L3,2边XAS获取)。标有"1"和"2"的XAS谱分别采集自标记单颗粒微球的核心和壁部区域:(a-c) A-NiFeOx-300,(d-f) A-NiFeOx-400,(g-i) NiFeOx-500,(j-l) NiFeOx-600,(m-o) NiFeOx-700。
通过X-PEEM和XAS联用技术揭示了NiFeOx中空微球在热活化过程中的价态演变规律:非晶态A-NiFeOx-400中同时存在Fe2+/Fe3+和Ni2+/Ni3+混合价态,呈现“由内向外”的Fe2+氧化转变特征和“由外向内”的Ni3+还原转变路径。这种Fe-Ni反向价态转变源于晶化过程中的电荷再平衡:Fe3+优先占据四面体位,而Ni2+比Ni3+更稳定占据八面体位,导致Fe2+氧化与Ni3+还原的协同电子转移。这种独特的动态价态循环机制赋予A-NiFeOx-400丰富的氧化还原电对,显著提升了催化剂的氧化能力和OER活性。
图6. (a) A-NiFeOx-400的原位ATR-SEIRAS光谱;(b) 不同电位下I*OOH/I*OO强度比对比;(c) A-NiFeOx-400的原位拉曼光谱;(d) OER路径图;(e) A-NiFeOx-400的差分电荷密度图;(f) NiFe2O4与A-NiFeOx-400的态密度图;(g) NiO (200)、NiFe2O4 (311)和A-NiFeOx-400上OER的自由能路径计算。
原位ATR-SEIRAS和拉曼光谱证实A-NiFeOx-400的OER过程以吸附质演化机制(AEM)为主导,特征峰显示*OOH中间体在1.5 V后成为主导吸附物种。DFT计算揭示Fe位点为催化活性中心,其d带中心(-1.79 eV)较晶态NiFe2O4(-1.54 eV)更低,优化了*O→*OOH决速步的能垒。非晶结构特有的电荷重分布和更高费米能级电子态密度赋予其优异的电荷转移能力。
本研究通过葡萄糖介导的喷雾热解法成功开发了非晶态镍铁氧化物中空微球(A-NiFeOx-400),该催化剂在碱性条件下表现出卓越的OER活性和工业级稳定性。通过原位光谱和理论计算揭示了其以Fe位点为主导的吸附质演化机制,非晶结构诱导的电荷重分布使决速步能垒降低0.72 eV。该合成方法可拓展至11种过渡金属氧化物,单批产量达10.24 g/4 h,在阴离子交换膜电解槽中实现较商业RuO2提升6.5倍的电流密度,能耗降低0.79 kWh m-3,为吉瓦级绿氢制备提供了兼具原子级电子调控与规模化生产优势的解决方案。
Scalable Synthesis of Amorphous NiFe Oxide Hollow Microspheres via Glucose-Mediated Spray Pyrolysis for Industrial Hydrogen Production.Energy Environ. Sci., 2025, DOI: 10.1039/D5EE01802A.
声明

