
第一作者:苏冬萌
通讯作者:陈虹宇教授、刘彬教授
论文DOI:10.1016/j.joule.2023.09.008
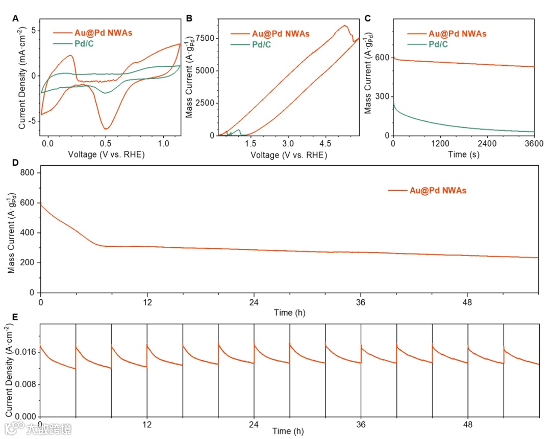
西湖大学/南京工业大学的陈虹宇教授和香港城市大学的刘彬教授等在Cell Press细胞出版社旗下期刊Joule上发表了题为“Ultralong durability of ethanol oxidation reaction via morphological design”的文章,报道了一种利用纳米线阵列的形貌设计,极大提高乙醇氧化反应电催化剂的稳定性。作者合成了超长的金钯核壳纳米线阵列(Au@Pd NWAs),展现出非常好的稳定性,1小时后保持86%的初始电流,56小时后还保持38%。这种超长的催化剂稳定性是前所未见的。
通过详细的电化学表征,作者发现纳米线的长度、密度和定向都会影响催化性能。更长、更密及站立的纳米线能使循环伏安曲线峰值明显正移至5.2 V,同时也提高稳定性。这种仅与形貌相关的峰值正移尚属首次报道。通过在循环伏安扫描(CV)过程中插入不同时长和电压的恒电压测试,证明恒电压测试对催化剂的消耗导致的峰负移不仅与时间和电位都相关,还与形貌相关的峰正移同源。据此,作者提出假设,催化剂的失活并不是因为达到某个固定电位从而氧化某种物种,而主要取决于钯表面吸附物种,特别是Pd-OHads的覆盖密度以及相遇概率。纳米线的长度为“消耗致失活”的过程提供了足够的活性位点,使CV曲线峰值进一步正移到足够高的电压才能消耗完活性位点。稳定的浓度梯度为催化活性位提供反应物,并通过降低钯表面OH的相遇来推迟催化剂的失活。这项研究展示了利用纳米材料的形貌设计改善催化性能的巨大潜力,为发展燃料电池技术提供了重要启示。未来可能会有更多这方面的创新研究问世。
直接乙醇燃料电池是一种具有巨大潜力的清洁能源技术。它可以直接利用乙醇的化学能来发电,具有环保和安全的特点。然而,其商业化推广所面临的首要难题是阳极电催化剂的稳定性较差,通常在几分钟内活性就会衰减超过90%,无法满足实际应用的需求。科研工作者一直在努力探索其抑制机理,希望能够找出抑制物种以及抑制过程是如何发生的。这对于指导设计高稳定性催化剂具有关键意义。
3. 表面吸附物种Pd-OHads的覆盖度和相遇概率是决定催化剂失活概率的关键因素。而纳米线阵列形貌所具有的丰富催化活性位点和稳定的浓度梯度可以降低Pd-OHads的覆盖度,从而减少抑制发生的概率。
作者合成了直径5-8纳米、长度达11.4微米的超长硫化钠介导的Au@Pd核壳纳米线阵列催化剂。该材料以较低的钯载量(Pd 40wt%),在类工况的恒电压测试中展现出惊人的稳定性,1小时后保持86%的初始电流,56小时后还可保持38%。这种超长的催化稳定性优于文献报道的所有Pd基电催化剂。随着纳米线长度的增加,它的CV峰电位逐步正移至11.4微米样品的惊人的5.2 V。这种仅与形貌相关的CV大幅峰值正移是非常罕见的,说明该系统中催化剂失活机理可能与传统认知有所不同。

图1 金钯纳米线阵列电极的大幅正移的循环伏安曲线与其超长稳定性成正相关。
作者进一步进行控制实验后发现,随着纳米线长度的增加,CV正扫峰值明显正移的同时稳定性大幅提升。不仅如此,增大纳米线的表面密度,同样使峰值正移,稳定性更好。作者将垂直生长的纳米线阵列从基板上剥落,改为随机堆积在基板上后,这种失去站立形貌的纳米线的峰电位急剧负移至1.8 V,催化剂的失活快速发生,稳定性下降。在CV中插入一段恒电位测试,会导致后续峰电位负移,改变电压与时间均能灵活调控峰电位的移动程度。这些证据支持这样一个假说;催化剂的失活并非是达到某个固定电位表面被氧化而导致的,而主要取决于钯表面吸附物种,特别是Pd-OHads的覆盖密度以及相遇概率。

图2 不同形貌调控手段对Au@Pd NWAs的电化学稳定性的影响。

图3 消耗导致的峰位移与不同电压及时间等消耗条件的相关性。
最后,作者认为具有催化活性的物质为Pd-OHads。即钯和OH-结合后并非毒化钯表面而是积极催化乙醇氧化反应。当相邻的Pd-OHads发生偶联时,会形成一种抑制物质Pd-O-Pd,作者认为是它导致了催化剂的失活。抑制依赖于Pd-OHads覆盖度,与其碰撞概率相关。纳米线阵列这样的形貌可以提供足够的活性位参与耗竭抑制,从而减少减慢其失活的过程,使峰电位持续正移。站立的纳米线阵列形成了稳定的浓度梯度,乙醇富集减少了OHads,降低了催化剂被性能抑制的概率。浓度梯度假说解释了电位、时间、纳米线形态和电解液中OH-浓度对催化剂失活速率的影响。

图4 由稳定的浓度梯度带来的三种不同区域性催化剂失活过程的示意图。
本工作深刻认识到纳米线阵列的特殊形貌在实现稳定催化中的关键作用。通过提供大量活性位点和畅通的反应物传输通路并控制OH-分布,纳米线阵列减缓了催化剂失活的过程。这为理解和设计高稳定性催化剂提供了全新的思路,代表了纳米材料结构调控方面的重要进展。作者相信利用纳米形貌设计来调控催化性能的策略将推动可再生能源电催化技术的发展,并启发更多创新型催化剂材料的诞生。
陈虹宇,西湖大学教授,入选浙江省海外高层次人才引进计划海鸥项目、浙江省海外高层次人才创新项目、江苏特聘教授、江苏省双创人才,英国皇家化学会会士。陈教授于1998年获中国科学技术大学理学学士学位;2004年在耶鲁大学(Yale University)获得博士学位;后在康奈尔大学(Cornell University)从事博士后研究。2006年加入新加坡南洋理工大学(Nanyang Technological University)任助理教授;2011年升为终身教职副教授;历任化学系副主任 (Deputy Head)、数理学院副院长 (Associate Chair)、理学部副主任 (Associate Dean)。2016年加入南京工业大学,共同组建了先进化学制造研究院,任执行院长。2021年7月加入西湖大学,任理学院教授、校长助理、本科生书院院长。
课题组主页https://www.westlake.edu.cn/faculty/hongyu-chen.html
刘彬,香港城市大学教授,于2002年获新加坡国立大学学士学位(一等荣誉),2004年获该校硕士学位,之后于2011年在美国明尼苏达大学获取博士学位。2011-2012年在美国伯克利加州大学杨培东教授课题组从事博士后研究。2012年任新加坡南洋理工大学化学与生物医学工程学院助理教授,并建立电催化研究实验室。2017年2月,刘彬老师晋升为副教授,获得终身教职。2023年2月,刘彬教授加盟香港城市大学材料科学与工程系。近年来,刘彬教授的研究成果在国际著名期刊如Nat. Energy, Nat. Catal., Nat. Water, Nat. Commun., Sci. Adv., J. Am. Chem. Soc., Joule, Chem, Angew. Chem. Int. Ed., Adv. Mater., Energy Environ. Sci., Chem. Rev., Chem. Soc. Rev., Acc. Chem. Res.等发表论文240余篇,他引次数三万四千余次。
声明
“邃瞳科学云”直播服务
扫描二维码下载
邃瞳科学云APP

