过氧化氢(H2O2)是一种应用广泛的化学物质,传统蒽醌法生产存在分离复杂、环境影响大等问题。二电子氧还原反应(2e- ORR)作为一种更具可持续性的现场生成H2O2的方法应运而生。在电催化合成过氧化氢的研究中,开发一种高效、无金属电催化剂一直是研究者们的目标。共价有机框架材料(COFs)具有无金属、高比表面积和能够通过模块设计调控活性位点的优势,通过选择高共轭和富电子的三嗪单元增强电子转移,同时将COFs与碳基材料复合可以优化COF的电导率限制。然而,暴露的导电基底在ORR过程中会干扰H2O2的选择性,因此对复合材料进行精确控制十分必要。
超临界CO2溶剂热法因其良好的扩散和渗透能力,能够在加快传质速率的同时增强COF的结晶性。XRD衍射峰揭示了超临界CO2溶剂热法极大缩短了反应时间,能够在5分钟合成出与传统溶剂热法3天合成产物相当的COF材料,并且(100)晶面更窄的半峰宽表明超临界CO2溶剂热法产物具有更高的结晶度。在原位合成方面,超临界溶剂热法也具有优势,将COF与碳纳米管(CNT)复合,超临界能够实现COF在CNT表面原位生长,复合的形貌相比传统溶剂热法更加均匀,并且SC-COF@CNT的合成时间也可以缩短到5分钟。此外,通过小型实验室规模设备的多批次合成实验证明了规模合成的可行性,在5分钟内可制备约0.3 g和0.45 g的SC-COF和SC-COF@CNT复合材料,表明超临界溶剂热在大规模生产中具有分钟级合成的优势。
图1. 氧还原反应(ORR)电催化剂的超临界二氧化碳辅助溶剂热合成示意图。
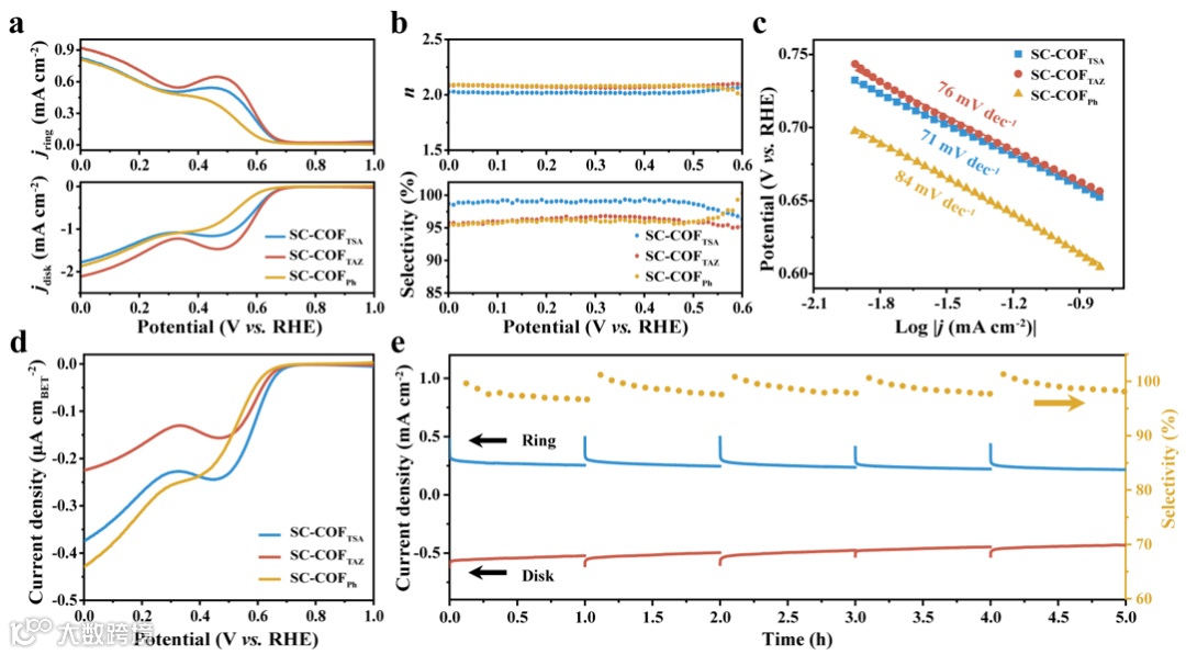
本研究设计了炔基、三嗪基以及作为对照组的苯基三种COF结构,通过调节电子结构、带隙及活性位点的微环境从而调控COF的电催化性能。电催化测试结果显示炔基功能化COF(SC-COFTSA)表现出最高的二电子选择性(>99%)。通过理论计算分析构效关系,静电势图(ESP)显示共轭炔基COF的电子密度显著增强,形成了富电子环境,有利于中间体OOH的吸附,炔基位点具有最低的OOH吸附能。采用循环伏安法(CV)、固态紫外-可见漫反射吸收光谱(UV-Vis-DRS)和密度泛函理论计算(DFT)全面分析一致得出SC-COFTSA具有最窄的带隙,具有更好的电子传输效率。ORR台阶图揭示更倾向发生二电子路径,火山图中COFTSA距离顶点更近,OOH更容易解吸形成H2O2,通过原位红外光谱(ATR-FTIR)进一步验证证实了以上结论,与实验结果一致。
通过超临界溶剂热法在CNT表面原位生长COF,一系列电化学表征证明引入CNT可以优化COF的导电性和传质效率,电催化活性进一步提高。在流动池和膜电极组件(MEA)中评估SC-COFTSA@CNT-30的实际可行性和商业应用潜力。采用流动池测试了高电流密度下的ORR性能和稳定性,在广泛电流密度范围内(50-800 mA cm-2),生成H2O2的法拉第效率(FE)始终保持在95%以上,在800 mA cm-2时,SC-COFTSA@CNT-30电催化合成H2O2的产率可以达到94 mol gcat-1 h-1。将SC-COFTSA@CNT-30集成到MEA中,可以在400 mA cm-2下连续运行超过 50 小时,无明显性能下降,在高电流密度下表现出优秀的电化学稳定性,证明其适用于长期运行。对电化学测试前后的催化剂进行结构和电化学性能比较分析,催化剂的结构和形貌无明显变化,未丧失活性,表明SC-COFTSA@CNT兼具高选择性、耐久性和可扩展性,在先进电合成的研究和商业应用中均具有巨大潜力。
图2. SC-COFs的结构表征。
图3. SC-COFs在氧气饱和的0.1 M KOH电解液中的电催化性能。
图4. SC-COFs在ORR反应的结构设计和催化机理。
图5. SC-COF@CNT的结构与电化学表征。
图6. SC-COFTSA@CNT在流动池和膜电极组件中的性能评估。
这一成果近期发表在Nature Communications上,武汉纺织大学硕士生宋俊琪、武汉大学博士生张志强和西安交通大学博士生李卫平为论文共同第一作者。武汉纺织大学彭兰、武汉大学易红及西安交通大学郗凯为共同通讯作者。武汉纺织大学为第一署名单位。
https://doi.org/10.1038/s41467-025-64901-1
Junqi Song1,#, Zhiqiang Zhang2,#, Weiping Li3,#, Chunli Liu3, Guodong Feng3,Yaqiong Su3, Kai Xi3,*, Hong Yi2,*, Changhai Yi1, Lan Peng1,*
Supercritical CO2-Assisted Rapid Synthesis of Covalent Organic Framework-Based Electrocatalyst for Efficient Two-Electron Oxygen Reduction Reaction
彭兰,硕士生导师。 2013年于江南大学获得学士学位;2014-2021年于复旦大学获得硕士和博士学位(导师:魏大程教授)。于2023年5月加入武汉纺织大学先进纺纱织造及清洁生产国家地方联合工程实验室。从事功能晶态材料、纺织纤维材料的绿色合成;电化学纺织品清洁染色与智能生产,迄今,以第一作者或通讯作者发表学术论文十余篇,包括Nat. Commun. (2篇)、Acc. Mater. Chem(1篇)、ACS Nano(1篇)。申请中国发明专利项7项,已授权4项。主持国家自然科学基金青年基金、自然科学基金探索计划(晨光计划)项目。
声明

