在全球向清洁能源与可持续未来加速转型的背景下,开发兼具卓越能量密度、本质安全性和超长循环寿命的先进电化学储能技术变得至关重要。锂离子电池(LIB)作为当前储能体系的主导技术平台,凭借其出色的能量密度与转换效率,已在消费电子至交通电气化等广泛领域确立了核心地位。然而,其普遍采用的液态电解质体系所固有的热失控风险及电化学性能瓶颈,日益凸显出对创新性电解质解决方案的迫切需求。在此背景下,液晶电解质(LCE)作为一种极具潜力的前沿电解质体系,因其独特的自组装特性和分子有序性,展现出解决传统液态电解质关键安全缺陷与性能局限性的巨大前景。
鉴于此,深圳清华大学研究院(清华深研院)刘思捷/香港科技大学Kristiaan Neyts团队在《EES batteries》国际期刊上发表前瞻性综述,系统阐释了功能液晶材料在锂离子电池电解质的多功能应用场景与作用机制。
本综述聚焦LCE领域的最新进展,重点探讨其分类、结构特征及离子传输机制。LCE主要从两方面分类:首先,基于离子传输机制,包括由自组装形成的一维(1D)、二维(2D)和三维(3D)通道;其次,根据分子结构,可分为离子型或非离子型。此外,增强离子导电性和Li⁺相容性的分子设计进展,显著提升了电池关键性能,如能量密度和循环稳定性。综述最后展望了LCE研究的未来方向,强调其在革新储能解决方案、开发更高能量密度、更长循环寿命和更安全电池方面的潜力。通过提供全面分析和深刻见解,旨在促进液晶(LC)系统在储能技术中的进一步研究和创新应用。
随着全球对清洁能源和可持续发展的需求不断扩大,特别是在电动汽车、可再生能源存储和智能电网技术等领域,提供高能量密度、增强安全性和延长使用寿命的电池的需求变得越来越迫切。锂离子电池(LIB)已成为领先的储能技术,以其卓越的能量密度、长循环寿命和环保特性而闻名,广泛应用于便携式电子设备和大规模储能系统中。尽管在过去几十年里,传统液态LIB取得了显著进展,但其固有的安全风险和能量密度限制已变得越来越明显。这些电池通常依赖于易挥发和易燃的有机液体电解质,在极端条件下如高温、过充和机械冲击下极易发生热失控,导致火灾和爆炸等灾难性后果。此外,这些电解质的稳定性和离子导电性是直接影响LIB整体性能的关键因素。因此,开发兼具高离子导电性和非挥发性的电解质变得至关重要。这种电解质有望显著提升LIB的电化学性能,同时减轻与传统液态电解质相关的安全风险。研究人员正在努力通过精细优化化学成分和结构设计,开发能够在广泛操作条件下保持可靠性能的材料。这一效果对于应对现代电池技术的安全性和效率双重挑战至关重要,为更可靠和高性能的储能解决方案铺平道路。
图1 液晶电解质(LCE)发展史上的几个关键点。首次合成液晶电解质。首次在类似固体的液晶电解质中展示离子传导。液晶电解质的交联有机双层结构。结合离子和电子功能的纳米结构液晶电解质。具有高度有序离子通道的向列型液晶电解质。首次将热致液晶用作电解质。盘状液晶电解质的自组装。首次将热致液晶用于锂离子电池。用于固态电池的具有有序快速锂离子传导纳米通道的柔性液晶电解质。具有纳米晶的固态刚性棒液晶电解质。快速离子传导的液晶分子改性共聚物。首次用于锂离子电池的液晶电解质。
近年来,液晶电解质在LIBs领域的研究与应用受到广泛关注,吸引了越来越多研究者投身于先进LCE的开发与探索。这种日益增长的兴趣主要源于液晶材料独特的物理化学性质,这些性质在电化学特性、结构稳定性和加工便利性方面表现卓越。其中,双连续立方液晶因其无缝结合了液晶电解质和固态电解质(SSE)的优点,被认为是最有前景的准固态电解质(SSE)候选材料之一。双连续立方液晶兼具流动性和长程有序性,提供优异的离子电导率及在电池充放电过程中出色的界面兼容性。这些特性显著增强了其作为LIB电解质的潜力。通过将这些先进材料整合到电化学系统中,研究人员旨在实现储能效率和可持续性的突破。随着研究的深入,液晶电解质革新LIB性能的潜力依然巨大,为未来储能创新铺平道路。然而,尽管关注度日增,关于液晶电解质应用的全面综述仍然缺乏,这阻碍了该领域知识的系统利用。
因此,本综述从多个关键角度对液晶电解质进行了全面分析:首先,探讨LCE的基本概念、分类、结构特征及离子传导机制;其次,分析LCE在LIBs中的具体应用,重点关注其对提升电池性能、延长循环寿命和提高安全性的贡献;最后,展望LCE在LIB技术中的未来发展趋势,包括潜在挑战和新兴机遇。这种全面分析为液晶电解质的深入研究提供了宝贵见解,从而推动新型电池材料的创新与应用。
图2 由液晶分子构建的液晶相图。
当物质在外部条件变化下从晶体状态转变为液态时,首先失去其结构秩序,导致流动性增强。然而,晶体状态的一些各向异性取向特性可能仍然保留,导致一种既具有固体又具有液体性质的中间相。这种中间相被称为液晶(LC)。该术语源自希腊词“mesos”,意为“中间”。液晶相部分保持分子秩序,同时保留流动性。这种各向异性和流体特性的独特组合对于实现对分子排列的精确控制至关重要。在分子水平上,液晶可以形成各种中间相,允许调节它们的物理性质。显示液晶性质的化合物通常包含芳香环以诱导液晶行为。在液晶相中,分子在至少一个方向上保持取向和/或长程位置顺序,从而能够在没有固定位置的情况下移动。这种取向秩序最小化了排除体积并最大化了分子间相互作用,使其区别于无序的液态。液晶材料表现出各向异性性质(例如折射率、介电常数、导电性),这些性质随测量方向而变化。它们的分子流动性使其能够对外部刺激(例如电场)作出响应。棒状中间相分子具有刚性的中央核心和末端基团,这些末端基团可能包括增强分子流动性的柔性链或极性基团。这些分子通常表现出永久偶极矩或各向异性极化,这对于中间相行为至关重要。向列相(N)没有位置顺序,但倾向于指向同一方向,由方向矢量n定义,这创建了一维(1D)秩序。在大块样品中,n波动,形成具有不同取向的微域。高纵横比的介晶倾向于形成向列相。引入手性会导致手性向列(胆甾相),其中n沿垂直轴螺旋旋转,形成螺旋超结构。蓝相液晶的特点是三维立方缺陷结构,这是分子堆积和手性力相互作用的结果(如图2所示)。在蓝相中,介晶分子沿x轴和y轴采用“双扭”配置,形成所谓的双扭曲圆柱。这些双扭曲圆柱之间的空间中的分子取向不能连续对齐,导致立方晶格内能量不利的位错形成。因此,蓝相液晶通常出现在约0.5-2.0°C的狭窄温度范围内,位于各向同性和胆甾相之间,在高度手性的液晶中。在冷却过程中,依次观察到三种不同的蓝相:蓝相I、蓝相II和蓝相III。蓝相I和蓝相II分别表现出体心立方(BCC)和简单立方结构,而蓝相III通常被认为是无定形的。近晶相(Sm)表现出一维位置有序,分子或聚集体形成层状结构。层厚d定义了周期性,尽管层可能缺乏清晰的边界。然而,近晶相主要源于纳米分离效应,强调了分子组织在刚性之外的作用。近晶A相是最简单的近晶结构,其特点是分子长轴平行于层法线排列,尽管可能会有轻微的随机倾斜。在近晶C相中,分子在层内沿首选方向倾斜。在标准近晶C相中,相邻层共享相同的倾斜方向(同斜相关)。
如图2所示,盘状液晶分子具有盘状结构,通常由一个刚性的平面芳香核心和至少三条柔性链组成,形成“软”外围。当这些柱状结构紧密排列形成二维晶体阵列时,会形成柱状相(Col)。类似于棒状液晶分子,盘状液晶分子可以通过将短分子轴沿n方向对齐来形成向列相(ND),从而产生取向有序而无位置有序的状态。或者,它们可以堆叠成一维柱状结构,彼此平行排列但缺乏横向位置相关性,形成柱状向列相(NC)。这些柱状结构可能源于电子供体和受体之间的电荷转移相互作用或阳离子和阴离子之间的强静电相互作用。矩形柱状相(Colrec)表现出由盘状分子组织成柱状结构的二维矩形晶格(p2mm对称性),具有各向异性分子间相互作用,使电荷传输具有方向依赖性。相比之下,六方柱状相(Colhex),常见于径向对称的盘状液晶分子如三苯基衍生物,采用六方最密堆积排列(p6mm对称性),具有各向同性的横向堆积和高效的1D载流子迁移率。低对称性相包括斜柱状相(Colobl),其特征为平行四边形晶格(p2对称性),源于不对称分子堆积,导致倾斜的柱状结构和双折射现象。正方形柱状相(Colsqu)则由四重对称核心(例如金属酞菁)稳定,具有四方晶格(p4mm对称性),支持各向同性的平面电荷传输。
液晶(LC)凭借其独特的各向异性特性,赋予液晶电解质(LCE)在锂离子传输方面独特的机制。具体来说,LCE的自组装行为导致了柱状、层状和双连续立方相等纳米结构的形成,这些结构提供了高度有序的通道以促进锂离子传导。这种有序性源于液晶分子的高度组织的空间排列,促进了纳米多孔通道的形成,显著提高了锂离子的传输速率和稳定性,在塑造锂电池的电化学性能中起着关键作用。
根据液晶电解质中离子传导的机制,可以进一步将其分为三种不同的类型:首先,由自组装形成的1D传输通道,提供线性路径使锂离子通过其一维排列移动;其次,二维传输通道,允许锂离子在二维平面上更灵活地迁移;第三,三维传输通道,构建了一个复杂的三维空间网络,有效提高了锂离子的传输效率。这些不同的离子传导机制不仅影响了离子迁移的动力学,也直接影响了锂电池的整体性能。这一理解既作为理论基础,又作为实际指导,优化液晶电解质在电化学储能设备中的应用。因此,系统地分类液晶电解质的离子传导机制对于理解其传导机制以及设计具有优异性能特性的液晶分子至关重要。
随着纳米技术的不断进步,超分子纳米结构及其多功能性引起了广泛关注。其中一个关键挑战是开发具有高效离子传输能力的纳米通道。液晶自组装已成为一种有前途的方法,用于制造不同尺寸的纳米通道,显著增强离子传输功能。近年来,离子液晶材料在能源设备中的应用稳步增长,特别是在锂离子电池和染料敏化太阳能电池中。在各种液晶组织中,热致液晶双连续立方结构因其能够形成三维互连离子通道而受到极大关注。这种结构不仅实现了高效的离子传输,还为纳米材料的功能化提供了新途径。双连续立方结构的形成是由液晶分子的自组装特性驱动的,这有助于在微观水平上有序排列分子,从而创建具有特定功能属性的纳米通道。通过调整液晶材料的组成并调节外部条件,可以精确控制纳米通道的大小和形状,从而优化其离子传输性能。
早在20世纪90年代,研究人员已经开始研究基于液晶电解质(LCE)自组装的一维传输通道。Felix B.等人合成了一种一维液晶分子材料,如图4a所示,用作电解质。研究表明,该材料中的-C16H33侧链在约40°C时熔化,转变为液晶相。液晶到各向同性相变温度因聚合物和化学计量比而略有不同,对于Cl6O5:LiBF4(1:1)复合物,其值为89°C。离子电导率随温度变化表现出与相变相对应的明显过渡,而复数阻抗行为也突显了材料的多种状态。1:1复合物的离子电导率超过1:0.5复合物,并且在晶体和各向同性相中与P(EO)6:LiBF4相当,但在液晶相温度范围内略低。进一步的研究验证了一维电导机制,如图4a下半部分所示。小角和广角X射线衍射、热分析、高温偏光光学显微镜(POM)以及能量最小化分子建模表明,聚合物Cl6O5和Cl6O6在其侧链熔化温度37.2°C和34.5°C以下表现出层状(晶体向列型)结构。Cl6O6侧链稍低的熔化温度部分归因于相邻侧链之间凝聚倾向降低,这些侧链由较长的寡醚骨架段隔开。在结晶状态下,C6H33侧链排列成六方晶格,而聚醚主链则采用螺旋构象。
图5 (a)二维LCE在LIBs中的机制示意图。(b) 液晶化合物和锂盐的分子结构,以及相应的二维LCE在LIBs中的示意图。(c) 引用的二维LCE工作中使用的分子结构。
近年来,许多研究人员报告了基于PEO嵌段共聚物和LC段的半结晶材料。Gopinadhan等人研究了一维共聚物,分析了LC对PEO18结晶化的影响。他们利用磁场定向聚合物,并发现有序柔性段中Li+导电性显著提高。他们的研究结果表明,磁诱导排列可以有效地组织PEO在LC嵌段共聚物中的自组装层状和六角形域。这种排列源于由LC块层状顺序驱动的顺磁各向异性,而不是由环氧乙烷单元的结晶引起的。由于与聚丙烯酸(PAA)形成聚合物复合物以及添加高氯酸锂,PEO块的结晶明显受到抑制,后者也与PEO链相互作用,如图4b所示。这些掺杂物的加入增强了环氧乙烷(EO)和丙烯酸/LC段之间的相分离,导致微相分离结构的长程有序性提高,同时系统中的有序-无序转变温度升高。重要的是,这些掺杂物的存在不会影响磁场对系统排列的能力。研究团队进一步证明,旋转退火可以有效破坏层状微域排列的简并性,理论上通过简单控制基底相对于磁场的方向,可以生成对应于基底任何方向的层状排列。未来的工作将重点研究排列动力学和磁场应用对相行为的影响。在这个过程中,将使用定制合成的材料独立访问相图中的层状和圆柱形形成区域,而无需混合。实现大规模自组装结构的灵活排列能力对于嵌段共聚物在各种新兴领域的应用至关重要。磁场驱动的排列特别适合在无法应用于样品的强流动场或复杂拓扑约束的情况下控制有序性。对PEO排列的控制尤为重要,因为有序的PEO微域在固态电池电解质薄膜中作为离子导电介质具有潜在应用。这项工作的成果预计将促进该领域的新发展。
图6 二维液晶电解质在锂离子电池的机理图及实例
在自组装过程中,液晶电解质(LCE)分子组织成特定的介晶相(固液之间的中间相),如层状、六角形或立方相。LCE在各种电解质应用中的离子传输效率显著受到其传输机制的影响。传统的1D LCE表现出有限的离子导电性,通常约为10-8 S·cm-1。这种限制主要源于离子传输通道的几何约束,将离子限制在沿棒状结构轴向运动。因此,这导致了传输路径数量的减少和整体离子传输效率的显著降低。为了解决与1D传输通道相关的挑战,研究人员越来越多地探索包含2D传输路径的液晶材料。在2D液晶结构中,离子可以有效地穿透自组装的层状架构,从而通过复杂的几何排列实现更高效的离子传输(图5a)。值得注意的是,向列相倾向于形成各向同性的单域结构,这不仅增强了离子的有效长程传输,还提供了多个方向上的平滑离子流动路径。这种各向同性特性,特别是在2D配置中,显著提高了离子迁移效率并改善了电解质的整体性能(图5b)。Sakuda等人设计了一种含有末端环状碳酸酯基团的棒状液晶分子,当与双(三氟甲磺酰基)亚胺锂(LiTFSI)混合时,通过Li+与碳酸酯基团之间的离子偶极相互作用,自组装成层状向列相。这种有序排列创建了连续的2D离子导电路径,使锂离子在电池应用中的电解质内高效传输。
图7 (a)基于分子1形成的双连续立方相交联与PC-LiClO4溶液制备的锂离子导电固液纳米复合材料。(b) LC-IL固态聚合物电解质的合成路线。(c) 使用C6M LC、PEGDE和LiTFSI具有定向网络结构的半互穿网络电解质制备过程。(d) PFMC-SPE的制造工艺。(e) LCEs制造过程示意图。
最近的研究还关注通过液晶电解质(LCE)的自组装开发二维传输通道。曾等首次合成了含硼的液晶基ABCBA多嵌段共聚物电解质(BCPE)。这些BCPE表现出显著提高的锂离子电导率。高度取向的液晶,其中含有介晶-C≡N,形成离子传导通道,促进快速锂离子传输,而-C≡N基团增强了电解质的氧化稳定性。引入缺电子的硼原子有助于捕捉来自解离的锂盐的TFSI⁻离子,有效地吸附杂质并减少浓度极化,从而保持界面稳定性。该系统中高效锂离子传输的机制如图6c所示。因此,多嵌段共聚物电解质表现出优异性能,包括在30°C时高达1.13×10-4 S/cm的高离子电导率,4.85V的宽电化学稳定窗口,增加到0.311的锂离子迁移数以及与类似材料相比改善的机械性能。阮等研究了层状液晶(Lyotropic LC)作为固态电解质(SSE)用于LIBs,展示了高电压稳定性、高效的电荷传输和热安全性。这些液晶通过1-十六烷基-3-甲基咪唑四氟硼酸盐([C16Mim][BF4])在LiBF4/PC液相溶液中的自组装制备。[C16Mim][BF4]的纳米分离导致形成层状结构,创建动态层状离子传导路径(图6d)。随着液体含量的增加,这些路径扩展,提高了液晶电解质的离子电导率。液晶层状纳米结构允许室温下的液体离子电导率,并提供了优越的稳定性,使电解质能够承受高电压并降低与LiBF4/PC液相电解质相比的可燃性。
根据液晶(LC)成分的分子结构对LCEs进行分类,对于阐明其离子传输机制和优化其在电化学应用中的性能,特别是锂离子电池(LIBs),至关重要。这种分类划分为两大主要类别:离子型LCEs和非离子型LCEs,每种类型表现出不同的性质和行为,影响它们作为电解质的实用性。将LCEs分类为离子型和非离子型提供了对其设计和功能作为电解质的重要见解。每个类别都提供了独特的优点,可以利用这些优点来增强离子传输机制,使其成为追求更高效、高性能储能系统的关键材料。理解这些区别不仅有助于开发先进的LC电解质,还为电化学领域的研究和创新开辟了新的途径。
离子型液晶(LCEs)的特点是存在离子液晶分子,这些分子包含阳离子、阴离子和双离子功能团。这些离子物种不仅赋予材料导电性,还通过自组装过程促进纳米级离子通道的形成,这对于有效的离子传输至关重要。离子型液晶的分子结构设计旨在促进离子物种的排列和相互作用,从而增强其传导锂离子的能力。功能基团如咪唑鎓、铵和膦鎓在离子型液晶的设计中起着关键作用。这些基团被战略性地整合到液晶框架中,以创建有利于离子传输的静电环境。这些离子部分的存在允许建立强烈的离子-偶极相互作用,导致在液晶基质内形成结构化的离子路径。这些路径促进了1D和2D离子传输,这对于提高高性能LIB所需的离子导电性至关重要。离子型液晶的独特自组装行为使其能够形成有序的介相,如柱状、层状或立方相,这些相有利于离子迁移。自组装过程产生的离子通道的纳米尺度尺寸增强了锂离子的有效扩散,从而降低了与离子传输相关的能量障碍。因此,离子型液晶表现出优异的电化学性能,使其成为未来先进储能系统电解质配方的有吸引力的选择。图9a强调了离子液体(ILs)和离子型液晶在能源存储和转换系统中的优势,着重于它们的基本性质和界面行为。离子液体的一个关键特征是其固有的低挥发性和不可燃性,这可以归因于其分子结构中存在的独特之字形(Z)键。这种Z键通过阳离子和阴离子之间的库仑相互作用和氢键形成。由此产生的键以其高能量、长寿命和独特的Z模式为特征,共同贡献于离子液体的热稳定性、低挥发性和防火性能。这些特性满足了对更安全、环保的能源相关应用材料日益增长的需求。
图8 三维液晶电解质应用经典案例:LiMICs的合成机理图。
图12 液晶电解质应用实例。
图13 (a) LCEs自组装纳米结构在锂电中的应用。(b) 提升锂离子传输的纳米结构LC材料策略示意图。
图14 液晶电解质抑制锂枝晶生长机理图。
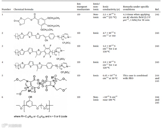
表1 液晶电解质详细分类总截图。
本综述系统解析了液晶电解质(LCEs)在锂离子电池领域的前沿进展与战略价值。依托其自组装的二维/三维离子传导拓扑结构,LCEs展现出突破性的离子输运动力学与环境耐受性,确立了其作为高能量密度电池电解质的设计范式。其技术优势表现为:
1. 超高离子传导性:赋能电池能量/功率密度协同提升,满足极端快速充电需求;
2. 本征安全机制:通过电化学界面稳定化作用有效抑制锂枝晶成核,同步提升循环寿命与热安全性;
3. 结构-功能协同性:独特的介观有序性保障电极-电解质界面相容性及长周期容量保持率(>80%),性能衰减率显著低于传统液态体系。
尽管LCEs技术路线前景明确,其产业化仍面临多重挑战:
1. 传导性能瓶颈:室温离子电导率(~10-4 S/cm)需通过分子工程(如嵌段共聚物复合)提升至实用阈值(>10-3 S/cm);
2. 界面适配性盲区:亟需建立电极兼容性多尺度评估体系,解析固态界面演化机制;
3. 操作温度限制:开发宽温域(-20~60℃)高效工作材料是规模化应用前提;
4. 制程经济性障碍:复杂合成路径与高原料成本构成商业化核心阻力。
面向下一代储能技术革命,LCEs凭借可编程分子构型与多级有序结构特性,将在以下战略方向释放潜力:
✅功能复合材料创制:构建液晶/导电聚合物/无机纳米粒子三元协同体系;
✅全固态电池集成:开发界面阻抗调控新策略,确立固态电解质关键角色;
✅绿色可持续合成:基于生物基单体设计闭环可回收LCEs材料;
✅智能开发范式转型:融合高通量计算与机器学习实现材料基因定向进化;
✅多离子体系拓展:移植技术平台至钠/钾离子电池等新兴储能体系。
在材料基因组计划与电化学工程交叉驱动下,LCEs技术有望重塑高安全、高比能储能技术格局(如电动载具、智能电网),为碳中和愿景下的可持续能源转型提供关键材料支撑。
深圳清华大学研究院低碳能源与节能技术重点实验室副主任、副研究员,香港科技大学访问学者刘思捷为论文第一作者及通讯作者。先进显示与光电子技术国家重点实验室主任/香港科技大学教授Kristiaan Neyts为共同通讯作者。香港科技大学周乐为共同第一作者。研究得到深圳市可持续发展专项项目、香港研究资助局(GRC)等项目的资助。
Revolutionizing Lithium-Ion Batteries: Exploiting Liquid Crystal Electrolytes
Sijie Liu†,* Le Zhou†, Yun Zheng,* Kristiaan Neyts*
EES Batteries, 2025, Advance Article
论文链接:https://doi.org/10.1039/D5EB00082C
声明

