第一作者:于少康,郭静轶
通讯作者:徐明,嫣红,杨宇森,邵明飞
通讯单位:北京化工大学,衢州资源化工创新研究院,东北林业大学,中国建筑材料科学研究总院
论文DOI:https://doi.org/10.1021/acscatal.5c03469
碳酸盐原位还原是一种制备低碳排放和低能耗水泥的有效策略。然而,目前对Fe物种在CaCO3中重要作用的研究仍缺乏全面性和深度。北京化工大学段雪院士团队邵明飞教授课题组报道了通过铁掺杂CaCO3共热耦合原位还原,制备低碳水泥熟料联产高附加值合成气。最优的3 wt% Fe-CaCO3在600 °C下表现出优异的CO选择性(99.2%)和生成速率(0.67 mmol·min-1),显著降低了脱羧温度并抑制了CO2排放。结合先进的原位表征和DFT计算表明,铁物种促进了氢的解离,且该过程遵循温度依赖的还原机制:在相对低温下,CO通过直接加氢机制生成,即活性H物种优先与碳酸盐中C-O键的氧原子结合,选择性断裂Ca-O和C-O键生成CO;而在高温下,则通过以HCOO*为中间体的逆水煤气变换路径实现。本研究阐明了铁掺杂CaCO3作为水泥原料的加氢机理,从而为低碳水泥联产合成气的实际大规模应用提供了新途径。
水泥工业是全球工业过程中二氧化碳排放的主要来源,占全球CO2排放总量的7%。水泥生产的主要原料包括无机碳酸钙、黏土及少量铁质。在传统工艺中,碳酸钙的热分解需在高温(超过900 °C)下进行以制备金属氧化物作为工业原料,此过程会释放大量CO2,占水泥熟料煅烧过程中碳排放的60%,带来严峻的环境与高能耗问题。碳转化与利用是实现碳减排的根本途径,其中CO2加氢是其化学转化与利用的主要路线之一。然而,由于CO2的热力学稳定性和化学惰性,其活化需消耗较高能量,且物质与能量无法实现综合高效利用。碳酸盐分解作为强吸热过程,需依赖外部热场提供大量热量以达到分解温度。段雪院士首次提出了碳酸盐共热耦合原位加氢还原的原创概念,通过能量与反应的耦合,在碳酸盐分解阶段进行直接加氢,实现无机碳酸盐原位转化为高附加值化学品,降低过程能耗,提升工艺技术经济性。而掺杂不同金属的CaCO3加氢可进一步降低分解温度、提高气体选择性并转化至更高附加值产物,但仍存在分解温度偏高、加氢选择性难以调控、反应机制不明确等问题。因此,探索金属物种在CaCO3加氢分解中的作用、理解金属掺杂无机碳酸盐加氢的催化机理、进一步降低脱羧温度并提高碳酸盐原位加氢过程中CO的选择性,已成为一项紧迫而具有挑战性的任务。
1. 从反应过程热管理的角度,本工作开发了一种将碳酸盐强吸热分解反应与CO2直接转化相结合的耦合过程,为水泥工业提供了一条节能与减排一体化路径。
2. 从动态演变机理的角度,本工作提出了一种新颖的金属掺杂碳酸钙原位还原具有温度依赖的还原机制,为其他耦合过程的开发与强化提供了借鉴。
3. 从水泥过程工业的角度,示范了低碳水泥熟料与高附加值合成气联产的工艺模式,为水泥工业迈向“零碳生产”提供理论依据与技术范式。
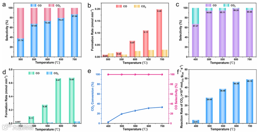
图1. 样品的催化性能评估
相比于裸CaCO3,最优的Fe-CaCO3展示了优异的加氢性能,在相对低操作温度(600 ℃)下,分别实现了99.2%和0.67mmol min-1的超高CO选择性和形成速率。同时Fe-CaCO3原位还原后的产物对于逆水气变换反应具有优异的催化活性,为二氧化碳加氢的可行性提供了实验依据。
图2. 样品的形貌和结构表征
原位XRD和原位Raman表征,Fe-CaCO3在纯氢气氛下共热耦合原位还原,在600 ℃下即可完成分解为CaO,同时显著增大了固体产物的比表面积。SEM、HRTEM以及EDS等表征证实了Fe-CaCO3的菱形形貌以及原位还原后的疏松多孔特征,同时Fe物种在原位还原前后以高分散状态存在,没有发现明显的聚集现象。
图3. 样品的几何和电子结构表征
Fe-CaCO3样品中Fe物种以高分散的状态存在,为Fe3+氧化态,且存在Fe-Ca键。当Fe-CaCO3样品进行共热耦合原位还原,Fe3+物种被部分还原,生成了Fe0颗粒,且出现了Fe-Fe键。
图4. 样品的加氢机理
氢氘交换实验被执行以实时监控氢解离,Fe-CaCO3在氢氘交换实验中在大约200 ℃形成氢氘,表明Fe物种的掺杂显著增强了解离氢的能力,易在样品表面解离生成活性H物种。程序升温还原质谱谱图也表明在400 ℃开始被活化并释放CO,但在一定温度区间内并没有检测到CO2。Fe-CaCO3加氢还原的原位DRIFT表征被执行。在约2865和~2968 cm-1处检测到HCOO*中间物质的C-H拉伸振动的条带,随着反应温度的增加,条带变得更强,表明样品在高温条件下原位加氢反应可能通过HCOO*介导的机制进行。Fe-CaCO3-600 ℃进行了逆水气变换反应的原位红外光谱。双肩带(2000-2250 cm-1)对应于气态CO,是由CO*的解吸产生的。随着反应时间的增加,气态CO信号强度逐渐增强。在2865和2968 cm-1也属于HCOO*中间物种的条带。此外,1581和1356 cm-1处的波段分别属于吸附的HCOO*的反对称(νas)和对称(νs)O-C-O伸缩振动。
图5. 样品的DFT计算
考虑并计算了五种反应路径(直接分解路径a、直接分解路径b、Fe-CaO催化-甲酸盐路径、Fe-CaO催化-氧化还原路径和Fe-CaO催化-羧酸盐路径),以进一步揭示主要气体产物CO的具体形成机制。
此文从热管理革新(低温能耗)、机理深度洞察(动态双路径)和应用模式构建(水泥-化工耦合)三个方面推进了低碳水泥联产合成气的技术发展,兼具科学创新性与工程应用价值。
声明

