第一作者:张谭
通讯作者:刘光、孙予罕、李晋平
通讯单位:太原理工大学、怀柔实验室山西研究院
论文DOI:https://doi.org/10.1002/anie.202514028
传统NRR电催化剂面临低的N2浓度以及H2O/*H的吸附。本研究提供了一种全新的解决思路进一步提升了催化剂的NRR性能。即通过构筑可优化三相界面的中空纤维电催化剂增强了局部N2浓度,进而调控了催化剂表面的*N2和*H覆盖度。此外,该策略还具备一定普适性。
氨(NH3)作为现代农业的基石和潜在的高能量密度氢载体,其主要依赖高能耗、高碳排放的哈伯-博世工艺生产。电化学氮气还原(NRR)则作为一种有前景的分布式产氨途径,耦合可再生能源在常温常压下利用N2和H2O即可合成氨。然而,对于纯金属NRR催化剂存在固有的限制:氮气在水体系中的溶解度极低,且传统块体金属催化剂表面对H2O/*H吸附较强。而高的*H覆盖度则会优先触发析氢反应(HER),严重抑制了NRR。
目前,提升电极-电解质界面N2浓度的策略包括:在催化剂表面组装功能化有机层(如MOF,疏水单分子层等)以及气体扩散电极(GDE)。对于前者,虽可提升N2浓度但严重依赖于溶解的N2,无法实现高电流密度。而对于后者,虽改善了气体传输但也面临溢流导致的孔堵塞以及活性位点的损失。
其中,Fe是生物固氮酶的成分以及哈伯-博世工艺的主体催化剂。受此启发,我们报道了一种普适性的微纳工程策略:通过无基底制造工艺创制自支撑的金属中空纤维(HF)电极。该催化剂结合了增强物质传输、防溢流和优化三相界面(主要通过提升局部N2浓度,进而调控了催化剂表面的*N2和*H覆盖度)等方式。以Fe HF电极为例,该催化剂实现了27.1 µg h-1 cm-2的氨产率和3.5%的法拉第效率,较传统Fe平板电极提升约60倍和35倍。机理研究表明,中空纤维催化剂实现了局部N2浓度提升,优化了催化剂表面的*N2和*H覆盖度。因此,纯金属催化剂通过激活N≡N并抑制HER实现了优异的产氨。此外,该策略展现出一定的普适性,对于Cu、Ni等过渡金属体系均显示出相同的结论。这项工作不仅提供了一种可扩展的可持续氨生产平台,同时也为微环境调控电催化剂设计开辟了新的维度。
本研究通过相转化/烧结工艺成功制备了自支撑铁基中空纤维(Fe HF)电极(图1)。
图1. Fe HF电极的制备流程与微观结构表征:a) HF电极制备过程示意图;b) Fe HF电极的实物光学照片;c) 外表面和d) 截面的SEM图像;e) XRD图谱;f) HRTEM 图像;g) 对应的SAED 衍射花样。
电化学测试表明,在−0.6 V vs. RHE条件下,Fe HF实现了27.1 μg h-1 cm-2的氨产率和3.5%的法拉第效率,较平板Fe电极分别提高约60倍和35倍,且未检测到副产物N2H4生成(图2)。15N2同位素标记实验、在线微分电化学质谱(DEMS)以及相应的对比实验进一步证实产生的NH3完全来自供给的N2气体(图2d,e)。连续循环测试及循环后SEM、TEM与XPS表征表明Fe HF具有优异的电化学稳定性和结构耐久性(图2g)。其性能优于多数已报道的非贵金属NRR电催化剂(图2h)。
图2. Fe HF电极的电催化氮还原反应性能评估:a) 不同气氛下的线性扫描伏安曲线;b) NH3产率与c) 相应法拉第效率;d) 同位素标记实验的1H NMR谱图;e) DEMS在线监测质谱信号;f) 副产物N2H4的紫外-可见吸收光谱检测;g) 连续循环稳定性测试;h) 与文献报道催化剂的性能对比。
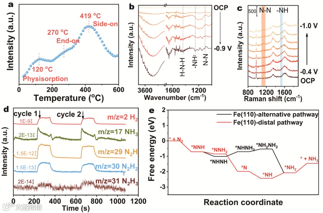
实验结果表明,Fe HF展现出特有的N2的吸附与活化能力,且遵循交替路径(图3)。
图3. Fe HF电极的氮气活化与反应机理研究:a) N2-TPD吸附曲线;b) 原位FTIR光谱;c) 不同施加电位下的原位Raman光谱;d) 在线DEMS检测到的含氮中间体信号;e) NRR反应路径的吉布斯自由能图(基于DFT计算)。
进一步的机理研究结果表明,与平板电极依赖溶解N2的传质机制不同,Fe HF通过独特的气体扩散方式式将N2直接输送至活性位点,显著强化了局部N2浓度并降低了*H的覆盖度(图4)。
图4. 中空纤维与平面电极的传质机制与界面吸附行为对比:a, b) 分别展示平面电极与中空纤维电极反应过程的示意图;c, d) 相应的有限元模拟(COMSOL)局部N2浓度分布图;e) 用于EIS数据拟合的等效电路模型;f, g) 不同电位下的Nyquist图;h) 不同催化剂的氢吸附电容值;i) 不同*H覆盖度下N2吸附能的DFT计算结果。
该中空纤维策略表现出良好的普适性,在Ni HF、Cu HF中同样观察到NRR性能的显著提升(图5)。
图5. 中空纤维结构策略在Ni和Cu基电极上的普适性验证:a) Ni HF的NH3产率、b) 法拉第效率与c) 氨分电流密度;d) Cu HF的NH3产率、e) 法拉第效率与f) 氨分电流密度。
总之,我们提出了一种通用的微纳工程策略,成功解决了电催化合成氨中N2可及性受限和*H竞争吸附的双重挑战。通过构筑自支撑中空纤维,实现了局部N2富集并优化了*N2与*H的覆盖度,从而显著促进N≡N键活化并抑制析氢副反应。其中, Fe HF实现了27.1 µg h-1 cm-2的氨产率和3.5%的法拉第效率,其性能较Fe平板电极提升两个数量级。且该策略在Cu、Ni等过渡金属体系均表现出普适性。本研究不仅为可持续氨生产提供了可放大的电极设计平台,同时也为气体小分子催化转化的催化剂设计提供了新的维度。
论文题目:Breaking the Performance Limit of Pure Metals for N2 Electroreduction
论文 DOI:https://doi.org/10.1002/anie.202514028
张谭,太原理工大学、怀柔实验室山西研究院2022级博士研究生,主要研究方向为温和条件下合成氨技术研究。以第一作者身份在Angew. Chem. Int. Ed.、Appl. Catal. B: Environ.、Green Energy Environ.、Chin. Chem. Lett.、化学学报、化工学报等期刊共发表学术论文7篇。
刘光,太原理工大学化学与化工学院教授,博士生导师。入选2018年度山西省“三晋英才”青年优秀人才支持计划。主要从事氢气制/储及新能源化工方向的基础研究和应用开发工作,主持了包括4项国家自然科学基金在内的10余项科研项目。在Nature Communications,Energy & Environmental Science,Angewandte Chemie等国内外学术期刊发表论文100余篇,论文被引5000余次(其中6篇论文入选ESI高被引论文)。在国内外学术会议报告30余次,授权中国发明专利5项,荣获山西省自然科学二等奖3项。
孙予罕,研究员,博士生导师,怀柔实验室山西研究院院长,上海科技大学特聘教授,中国科学院上海高等研究院研究员。是C1化学领域的学术带头人,在C1化学与工程方面具有多年的研究基础积累,深得国内外同行认可。主要承担并完成了中科院“百人计划”项目、国家杰出青年科学基金、863项目、973课题、国家重点基金以及企业课题等项目。在Nature, Science, Nat. Chem., Sci. Adv., Angew. Chem. Int. Ed., Chem, Joule等期刊发表论文500余篇,获发明专利100余项,获中科院杰出成就团队奖1项、山西省自然科学二等奖1项、山西省科技进步二等奖2项等,并获全国先进工作者称号。同时,担任国际学术刊物“FUEL”编委、“燃料化学学报”主编、“天然气化工”副主任编委等,以及中国化学会和颗粒学会理事、中国能源研究会会员和中科院能源专家委委员等。
李晋平,教授,博士生导师,中国化工学会会士,新世纪百千万人才工程国家级人选,享受国务院政府特殊津贴专家。现任怀柔实验室山西研究院副院长,气体能源高效清洁利用山西省重点实验室主任,山西省煤层气高效开采与利用协同创新中心主任,兼任Chin. J. Chem. Eng.和《过程工程学报》期刊编委,《煤炭转化》期刊主编。主要从事气体能源高效清洁利用的研究。主持国家“863”计划项目、国家自然科学基金重大、重点及面上项目、山西省煤基产业链煤层气专项、山西省科技攻关项目及山西省省自然科学基金等项目30余项。在Science、J. Am. Chem. Soc.、Angew. Chem. Int. Ed.、Adv. Mater.等期刊发表学术论文400余篇;授权中国发明专利30项。
声明

