通讯作者:杨承广副研究员;刘小梁副研究员;魏伟研究员;高鹏研究员
通讯单位:中国科学院上海高等研究院,中国科学院大学,上海科技大学,中国石化上海石油化工研究院
论文DOI:10.1021/acscatal.5c05039
研究团队成功开发出一种经济且高效的晶种辅助合成方法,该方法无需依赖后处理步骤或介孔模板剂,仅通过简单调控微米晶种的添加量,即可精准控制晶化过程,进而成功制备出具备优异扩散性能的多级孔SAPO-34分子筛。将该多级孔SAPO-34与ZnZrOx氧化物进行耦合后,在CO2加氢反应中展现出卓越的催化性能,其CO2转化率高达22.7%,同时低碳烯烃的选择性达到83.4%,且其催化稳定性极为出色,超648小时。这种优异的催化性能主要归因于该分子筛显著提升的扩散速率以及其相对较弱的酸性位点,研究团队借助原位表征技术与理论计算研究手段,深入揭示了CO2与H2经由含氧中间体转化为低碳烯烃的反应路径,这一反应机理也很好地解释了产物中丙烯选择性较高的现象。此外,所合成的多级孔SAPO-34分子筛还展现出多功能催化应用潜力,能够高效地转化合成气、CO/CO2/H2混合气以及甲醇制备低碳烯烃。
随着全球对碳中和与可持续发展的重视,将CO2与H2转化为高值低碳烯烃已成为研究热点。该过程不仅能减少大气中CO2含量,还能替代传统化石燃料路径,具有重要的环境和能源意义。传统Fe基催化剂通过逆水煤气变换反应将CO2转化为CO,再经费托合成生成烯烃,但其低碳烯烃选择性受ASF分布限制,通常低于57.8%。而氧化物-分子筛双功能路径中低碳烯烃选择性可打破ASF分布限制,高达75%以上,但长周期稳定性欠佳限制了其工业应用。SAPO-34分子筛因其适宜的孔道结构和酸性,在C-C偶联中表现出优异选择性,但也面临着因积碳而快速失活的问题。为此,研究者通常通过减小晶粒尺寸或引入多级孔结构来提升其稳定性,但传统方法依赖额外的微孔孔模板或后处理工艺,成本高且环境不友好。因此,开发一种低成本、绿色、可规模化合成的等级孔结构SAPO-34,并构建高性能双功能催化剂,可进一步推动CO2加氢制烯烃技术走向实际应用。
1. 分子筛高效合成:开发出一种经济且高效的晶种辅助合成方法,无需依赖后处理或介孔模板剂,仅通过简单调控微米晶种的添加量,即可精准控制晶化过程,进而成功制备出多级孔SAPO-34分子筛。
2. 卓越催化性能:所制备的ZnZrOx/SAPO-34双功能催化剂催化性能优异,CO2加氢反应的低碳烯烃选择性达83.4%、CO2转化率为22.7%,且稳定性超648 h,突破活性、选择性与稳定性的权衡限制。
3. 机理深度解析:借助原位表征技术与理论计算研究手段,深入揭示了CO2与H2经由含氧中间体转化为低碳烯烃的反应路径,并通过DFT计算证实丙烯生成能垒最低,解释了丙烯在低碳烯烃中选择性最高的原因。
图1 SAPO-34分子筛的表征
通过晶种辅助合成法合成多级孔SAPO-34(命名为Sm-X/Sn-X,X为晶种与前驱体中SiO2、P2O5和Al2O3总和的质量比),并以酸后处理样品Sm-X-H作对比。SEM显示,随Sm用量减少,产物粒径从Sm-0.4的5 μm降至Sm-0.1的2 μm,且Sm-0.2、Sm-0.1表面有缺陷,TEM证实其具贯穿中空结构。XRD表明所有样品均为CHA拓扑结构的SAPO-34,相对结晶度和产率随Sm用量降低而下降,纳米晶种辅助合成的Sn-0.1产率比等量微米晶种辅助合成的Sm-0.1低48.6%,经后处理的Sm-0.4-H产率下降34.0%。N2吸附-脱附与汞侵入法显示,Sm-0.2、Sm-0.1含介孔和大孔,Sm-0.4微孔体积最大。
图2 SAPO-34分子筛酸性、扩散性质和ZnZrOx氧化物表征
使用C3H6作为探针分子,通过原位FT-IR表征系统研究了SAPO-34分子筛的扩散行为。对初始扩散速率的定量分析得出:Sm-0.1扩散速率(0.426 s−1)为Sm-0.4(0.038 s−1)的11倍左右,证明了多级孔结构能够增强产物扩散速率。NH3-TPD表明,样品在170°C和350°C分别对应弱、强酸性位点,Sₘ添加量的减少会降低强酸性位点密度与强度。
图3 多级孔SAPO-34分子筛的晶化机制
不同结晶时间样品的SEM与XRD表征显示,7 h时为无定形相和立方晶体混合物,随后晶体随结晶时间延长逐渐生长,结晶度同步提高,且元素相对组成明显改变。基于以上结果提出晶化机制:微米晶种在碱性前驱体中溶解,晶体围绕晶核碎片生长。降低晶种用量导致硅含量和结晶度下降,而增加晶种含量可显著缩短完全结晶所需时间。
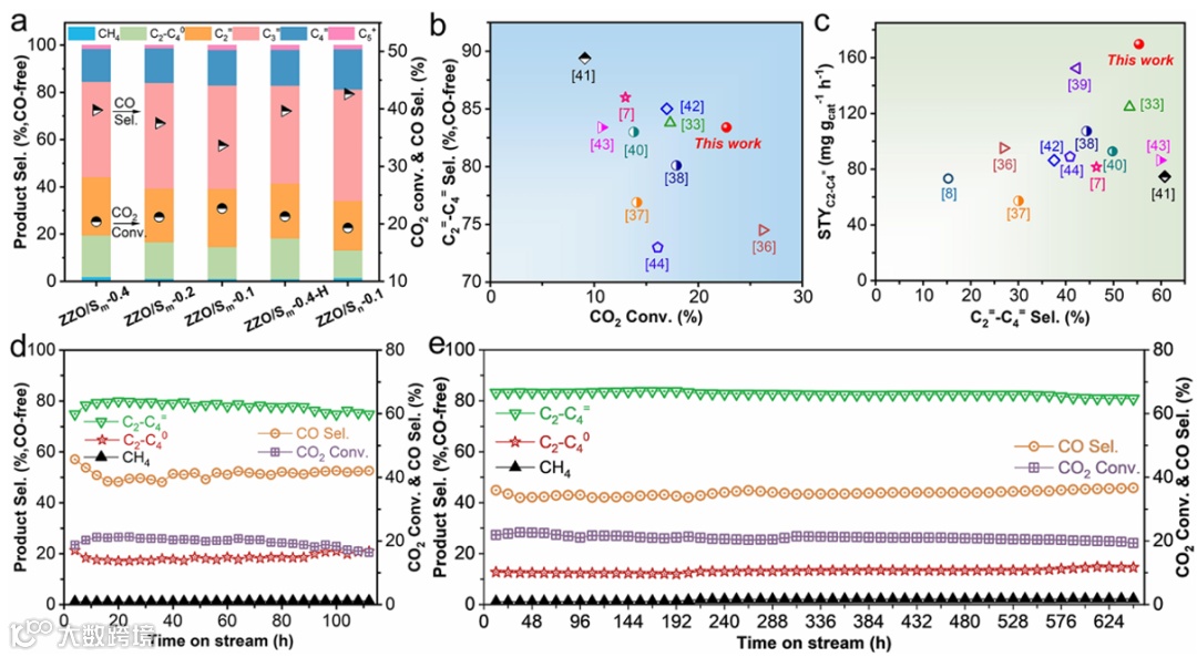
图4 双功能催化剂用于CO2加氢制低碳烯烃的性能
在380 °C、3.0 MPa、9000 mL·gcat-1·h-1条件下,ZZO/Sm-0.1性能最优:低碳烯烃选择性为83.4%、CO2转化率为22.7%,丙烯占低碳烯烃总选择性的55%,稳定性超648 h,显著优于后处理及文献报道的催化剂。
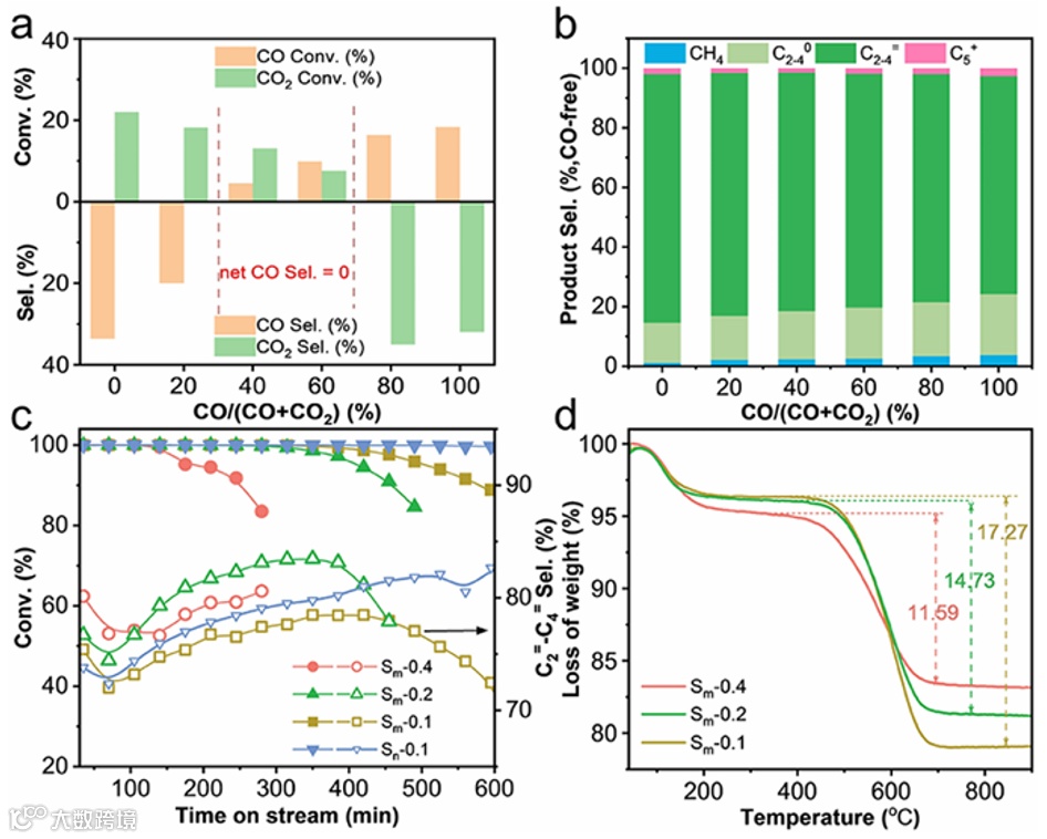
图5 多级孔SAPO-34用于COx加氢及甲醇制低碳烯烃的性能
ZZO/Sm-0.1用于COx加氢制低碳烯烃时,当CO/(CO+CO2)为40%-60%时可完全抑制副产物CO生成并保持低碳烯烃选择性高于75%;MTO反应中(400 °C、0.1 MPa、WHSV=1.0 h-1),Sm-0.1性能最佳,热重分析显示其积碳损失17.3%且多环芳烃少,是由于良好的多级孔结构缩短了传质路径。
图6 反应机理探究
机理研究表明,CO2加氢遵循甲醇介导路径:CO2在ZZO上经甲酸根、甲氧基等中间体氢化为甲醇后,迁移至SAPO-34中进行C-C偶联。DFT计算揭示,在SAPO-34的烯烃循环中,丙烯的生成能垒最低(如脱质子能垒为0.15 eV),从理论上印证了实验中丙烯最高选择性的现象。
本研究开发了一种经济、绿色的晶种辅助合成策略,无需依赖后处理或介孔模板剂的条件下,通过调控微米级晶种用量,直接合成了具有多级孔结构的SAPO-34分子筛。将其与ZnZrOx氧化物耦合后,在CO2加氢反应中实现了高稳定性制备低碳烯烃。分子筛的多级孔道有效增强了传质效率,适度弱化的酸性减缓了积碳生成,从而实现了性能的突破。展望未来,后续研究可聚焦于分子筛孔道结构的精准调控及其对烯烃分布与耦合催化剂稳定性的影响机制,并将其拓展至合成气转化等更多C1化学应用场景,为推动CO2资源化利用和实现低碳化工目标提供支撑。
杨承广:中国科学院上海高等研究院副研究员,硕士研究生导师,长期从事分子筛合成、CO2转化与碳资源的高效利用以及合成气定向转化方向的研究。以第一作者或通讯作者在ACS Catal.和Appli. Catal.B等期刊发表论文近20篇并授权中国发明专利12项。主持基金委重大研究计划培育项目、青年基金以及国家重点研发计划子课和重大项目子课题等多项研究工作。
刘小梁:中石化上海院副研究员,2019年获厦门大学催化专业博士学位,2023年美国麻省大学访问学者。从事分子筛催化剂扩散及催化应用研究,以第一作者在Chem. Soc. Rev., Angew., Chem. Sci., ACS Catal.等国际主流期刊发表论文10余篇,申请中国发明专利10余项。参与的烯烃催化裂解(OCC)技术实现多套工业应用及技术许可,显著提高企业效益。近年来主持国家自然科学基金、上海市青年科技启明星等项目6项,以核心骨干参与国家重点研发计划、国家基金委重大/集成等项目7项。
魏伟:中国科学院上海高研院研究员、博士生导师,国家万人领军,现任中国科学院上海高等研究院副院长。主要从事C1化学与工程、温室气体战略以及CO2捕集封存和利用、纳米材料合成与应用等研究。承担并完成国家科技支撑计划2项、国家973项目1项、中国科学院战略性先导科技专项3项、中国科学院知识创新工程重要方向2项以及企业委托项目等十余项。目前在重要学术杂志,如Nature, Nat. Chem., Nature Geosci., Nat. Commun., Joule, Energ. Environ. Sci., Angew. Chem. Int. Ed. 等发表高水平论文400余篇,已授权或申请国际发明专利3项、国家发明专利80余项,获中国石油天然气集团创新技术二等奖。曾荣获第13届国际催化大会优秀青年科学家奖等,享受国务院政府特殊津贴。兼任国际碳捕集领导小组成员;同时担任《化工进展》、《气候变化研究导报》、《天然气化工》、《光谱学与光谱分析》等学术期刊的编委。
高鹏:中国科学院上海高等研究院研究员、博导,国家级青年人才,中国科学院特聘研究核心。2014年1月于中国科学院大学/山西煤化所获工学博士学位。2014年2月进入上海高研院工作至今。主要从事碳一分子转化制燃料与化学品相关的催化研究。开发了具有应用前景的CO2/CO加氢一步制航空煤油馏分的耦合催化剂;构建了CO2制高附加值化学品的反应新平台,有望实现甲醇、多碳醇、低碳烯烃、长链α-烯烃、芳烃等产品的绿色合成;创制的纳米限域铜基催化剂成功应用于全球首套5000吨/年CO2制甲醇工业侧线,完成1000吨/年费托合成航煤馏分油工业中试与CO2制汽油中试验证。以第一/通讯作者在Nature Chemistry、Science Advances、Chem、Angewandte Chemie International Edition等发表论文70余篇,H因子44;2021-2025年入选全球前2%顶尖科学家年度影响力榜单。授权中国发明专利15项、美国专利1项。2021年获第八届中国催化新秀奖 ;曾入选国家高层次人才特殊支持计划(万人计划)-青年拔尖人才,上海市优秀学术带头人、青年拔尖、启明星,中国科学院青年交叉团队、青促会、青年攀登计划与青年英才等。承担国家重点研发计划、国家自然科学基金、上海市科委、战略先导专项、壳牌前瞻科学项目、埃克森美孚合作研发等20余项研究工作。担任《中国科学:化学》、《燃料化学学报》、Science China Chemistry、Carbon and Hydrogen与Chinese Journal of catalysis青年编委。
课题组主页https://teacher.ucas.ac.cn/~0044280
声明

