第一作者:杜金鹏,刘建琪
通讯作者:单文坡,杜金鹏,韩世超
通讯单位:中国科学院城市环境研究所,中国科学院生态环境研究中心,中国科学院上海高等研究院
论文DOI:https://doi.org/10.1016/j.apcatb.2025.126196
随着空气污染物与温室气体协同控制需求的提升,柴油机尾气后处理催化剂正面临新的技术挑战。传统Cu-SSZ-13分子筛催化剂虽在降低氮氧化物(NOx)方面表现优异,但其在NH3-SCR反应中仍不可避免地产生温室气体 N2O。本研究证实,柴油尾气中不可避免存在的 NO2(源于强氧化性上游催化剂)会显著提升N2O的生成浓度。通过原位 DRIFTS、同位素质谱以及密度泛函理论(DFT)计算,我们系统阐明了NO2诱导的N2O形成机制:在低温下,NO2促进NH4NO3的生成并加速其分解为N2O;在高温条件下,NO2则强化NH3的直接氧化路径,进一步增加N2O排放。
值得注意的是,在快速SCR条件下,将少量Fe-SSZ-13 置于Cu-SSZ-13上游可有效抑制N2O生成,同时一定程度上改善低温NOx转化性能。上述结果为新一代低N2O排放柴油SCR催化剂的设计与开发提供了关键机制认识和理论指导。
当前面临PM2.5与O3复合污染问题,削减NOx排放是协同控制这些污染物的关键,柴油车作为移动源NOx的主要排放者,其尾气后处理系统常配备NH3-SCR装置以降低NOx。Cu-SSZ-13是该装置中广泛应用的催化剂,但反应过程中会不可避免地生成强温室气体N2O,且尾气中DOC催化氧化产生的NO₂会进一步促进N2O排放。随着“双碳”目标推进及相关排放法规收紧,开发低N2O排放的NH3-SCR技术已成为迫切需求,因此需深入探究NO2存在下Cu-SSZ-13上N2O的生成机制并制定控制策略。
1. 明确揭示柴油尾气中NO2会显著促进Cu-SSZ-13在NH3-SCR反应中的N2O生成,且该影响在全温度区间均存在;
2. 阐明NO2对新鲜与水热老化后Cu-SSZ-13生成N2O的不同作用,发现老化催化剂在中高温区更易产生N2O;
3. 揭示NO2诱导N2O生成的温度依赖性路径:低温下通过促进NH4NO3生成与分解,高温下通过NO2直接氧化NH3(且NO2兼具氧化剂与N源作用),提出新反应机制;
4. 开发Cu-Fe耦合SSZ-13催化剂构型,将少量Fe-SSZ-13置于Cu-SSZ-13上游,可在快速SCR条件下有效抑制N2O排放,同时保障NOx转化效率。
1、催化剂表征
通过ICP-OES、NMR、XRD、SEM、BET、EPR、H2-TPR、NH3-TPD等手段,对比分析新鲜与750℃水热老化16h后的Cu3.0-SSZ-13催化剂(老化样品记为Cu3.0-SSZ-13-HTA)的结构、Cu物种与酸性。结果显示,老化导致分子筛部分脱铝(27Al NMR中四面体Al峰变宽、29Si NMR中Si(O1Al3Si)占比下降)、孔结构坍塌(比表面积从553.8 m2/g降至516.5 m2/g,孔容从4.6 cm3/g降至0.9 cm3/g);Cu物种发生[Cu(OH)]+-Z向Cu2+-2Z的转化(EPR无明显Cu2+总量变化,H2-TPR中200℃附近[Cu(OH)]+-Z还原峰减弱、300℃附近Cu2+-2Z还原峰变化,DRIFTS中950 cm-1与900 cm-1特征峰强度比改变);酸性方面,弱酸性位点(100-150℃ NH3脱附峰)无显著变化,中等酸性位点(200-300℃,与Cu离子相关)强度增强,强Brønsted酸性位点(400-500℃)强度减弱,且无明显CuO生成。
图1. (a)27Al核磁共振谱;(b)29Si核磁共振谱;(c)电子顺磁共振谱;(d)H2-TPR曲线;(e)新鲜样品与水热老化样品的原位DRIFTS氨吸附谱;(f)新鲜样品与水热老化样品的NH3-TPD曲线。
2、NH3-SCR活性测试
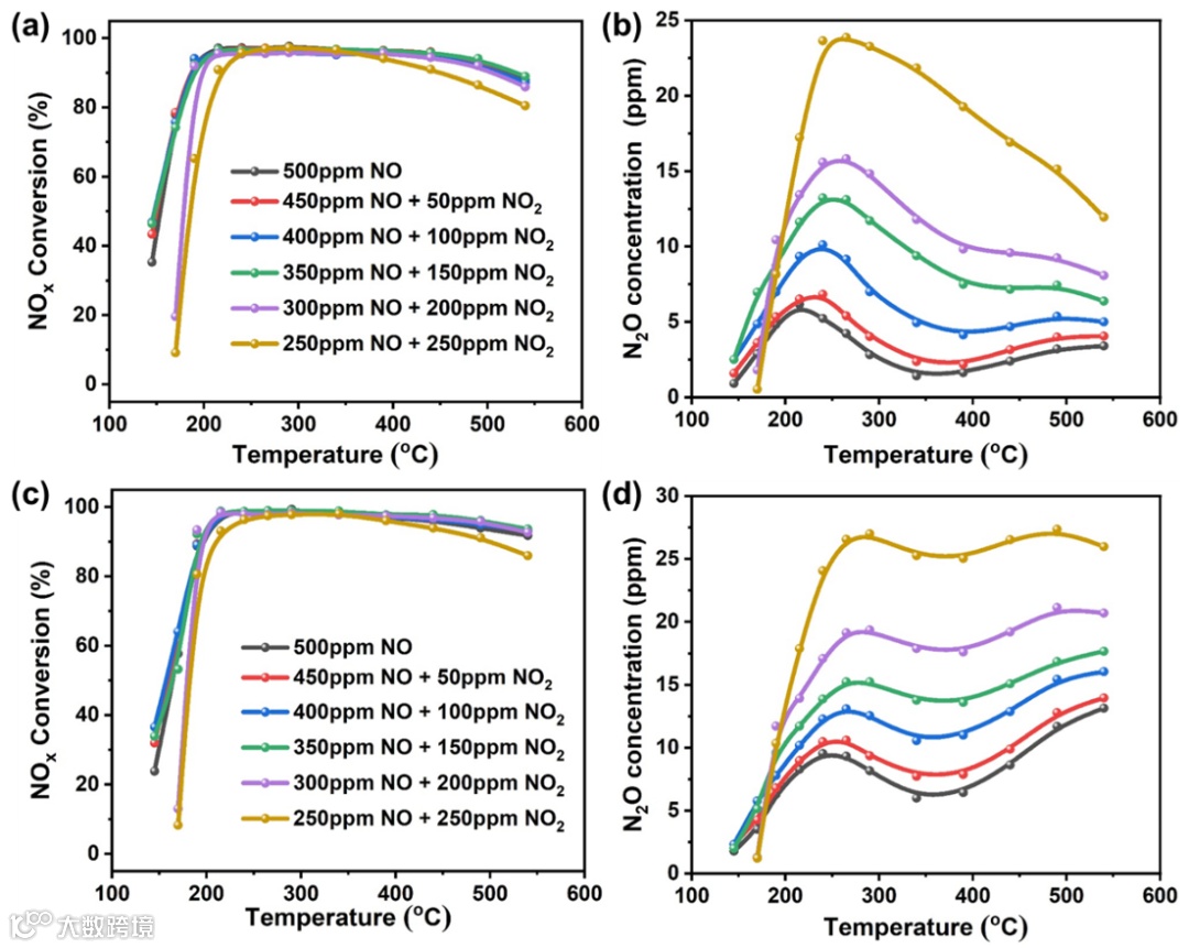
在不同NO2/NO浓度下,对新鲜与老化Cu-SSZ-13进行NH3-SCR活性评价。新鲜样中,NO2浓度≤150ppm时NOx转化率基本稳定,≥200ppm时低温NOx转化率显著下降(快速SCR条件下NH4NO3在Brønsted酸位点积累堵塞微孔);随NO2浓度升高,全温度区间N2O生成量增加,且250℃以上仍维持较高排放,打破标准SCR下“双峰”排放特征(300-400℃为低排放谷值)。老化样表现出相似规律:NO2≤150 ppm时NO转化率无明显差异,≥200 ppm时低温转化率下降,且NO2促进N2O生成的效应更显著,尤其在250℃以上排放更高,表明高里程柴油车尾气中NO2存在时,N2O实际排放量会被标准SCR条件下的评价结果低估。
图2. (a) 新鲜催化剂在不同NO和NO2浓度下的NOx转化率;(b) 新鲜催化剂在不同NO和NO2浓度下的N2O浓度;(c)水热老化催化剂在不同NO和NO2浓度下的NOx转化率;(d)水热老化催化剂在不同NO和NO2浓度下的N2O浓度。
3、低温N2O生成机制
结合原位DRIFTS、TPD-MS实验探究低温(≤350℃)N2O生成机制。原位DRIFTS显示,150℃下NH3吸附后通入不同NO/NO2混合气,新鲜与老化样品均出现双齿硝酸盐(1595cm⁻¹、1575cm-1)、桥式硝酸盐(1625cm-1)及NH4NO3中NH4+(1450cm-1)的特征吸收峰,且新鲜样硝酸盐相关峰更强;升温至350℃时,上述特征峰几乎消失,与图2中350℃处N2O排放“拐点”一致,表明低温N2O主要源于NH4NO3分解(反应式:NH4NO3→N2O+2H2O)。TPD-MS结果显示,225-325℃区间新鲜与老化样N2O浓度无显著差异,原因是老化样Brønsted酸位点减少,抑制NH4NO3与NO的耦合反应(生成N2),使更多NH4NO3直接分解为N2O,抵消了新鲜样硝酸盐生成量更高的影响;且快速SCR条件(高NO2比例)下N2O生成量高于标准SCR,进一步证实NO2通过促进NH4NO3形成加速低温N2O生成。
图3. 新鲜样品与老化样品经500 ppm NH3吸附、N2吹扫、暴露于(a,c) 500 ppm NO或(b,d) 250 ppm NO + 250 ppm NO2后,再经N2吹扫并加热至150-350℃的原位DRIFTS谱图。
4、高温N2O生成机制
通过NH3氧化实验、同位素标记(14NH3/15NH3切换)、DFT计算阐明高温(>350℃)N2O生成机制。NH3氧化实验表明:仅O2存在时,新鲜样品450℃以上NH3转化率超90%,老化样品全温度区间<50%,且均无明显N2O生成;加入NO2后,300℃以上新鲜与老化样NH3转化率均接近100%,且伴随大量N2O生成,老化样排放更高(因[Cu(OH)]⁺-Z减少,N2O还原能力减弱);同时存在NO2与O2时,反应行为与仅NO2存在时一致,表明NO2是主导氧化剂。同位素标记实验显示,14NH3切换为15NH后,m/z=44(14N2O)信号下降、m/z=45(14/15N2O)信号显著上升、m/z=46(15N2O)信号基本不变,证明N2O中1个N来自NH3、1个来自NO2。DFT计算进一步揭示反应路径:NH3在Cu2+-2Z位点先脱氢生成NH2(能垒1.26 eV),与NO2耦合生成NH2NO2(能垒1.23 eV),再脱氢形成NHNOOH(能垒1.05eV),最终脱水生成N2O(能垒0.18 eV),速率控制步为初始NH3脱氢;对比O2氧化路径(需多步脱氢、生成NOH中间体,决速步能垒1.59 eV),NO2氧化的NH3路径能垒更低,可在更低温度发生,导致中高温区N2O持续排放。
图4. NO2与14NH3/15NH3反应过程中的质谱信号,反应条件:[NH3] = [NO2] = 500 ppm,[H2O] = 5%,N2平衡,GHSV= 80,000 h-1。
图5. Cu-SSZ-13中NO2氧化NH3的反应路径:(a)吉布斯自由能曲线;(b)所有基本反应步骤中反应物、过渡态(TS)和产物的优化几何构型。
图6. Cu-SSZ-13中NH3被O2氧化反应路径:(a)吉布斯自由能曲线;(b)所有基本反应步骤中反应物、过渡态(TS)及产物的优化几何构型。
5、N2O生成控制策略
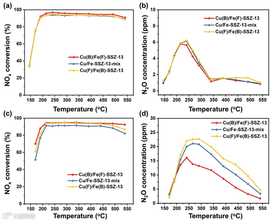
基于Fe基分子筛高N2选择性与N2O分解活性,设计Cu/Fe-SSZ-13复合催化剂并优化其制备与构型。首先筛选0.6-2.5%Fe负载量负载的Fe-SSZ-13,1.1%Fe负载样(Fe1.1-SSZ-13)表现出优异中高温NOx转化活性(350℃以上转化率>80%)与全温度区间高N2选择性(N2O<1.5ppm)。随后优化Cu-SSZ-13/Fe-SSZ-13混合比例:Fe占比20%时,在抑制N2O生成(高温区几乎无N2O检出)的同时,对低温活性影响较小。最后优化组合方式:标准SCR条件下,Fe上游(Cu(B)/Fe(F)-SSZ-13)、物理混合(Cu/Fe-SSZ-13-mix)、Fe下游(Cu(F)/Fe(B)-SSZ-13)三种构型对NOx转化率与N2O生成影响无显著差异;快速SCR条件下,Fe上游构型表现最优,低温NOx转化率更高(Fe-SSZ-13优异快速SCR活性可高效利用NO2),且中高温区N2O生成量显著降低(Fe-SSZ-13消耗NO2,避免其在Cu-SSZ-13上转化为N2O)。水热老化后,Cu(B)/Fe(F)-SSZ-13-HTA仍保持优异性能:200-550℃下NOx转化率>90%,全温度区间N2O<20 ppm,显著优于纯Cu-SSZ-13老化样。
图7. 不同构型的Cu/Fe催化剂在以下条件下的表现:(a)标准SCR气氛中的NOx转化率;(b)标准SCR气氛中的N2O生成率;(c)快速SCR气氛中的NOx转化率;(d)快速SCR气氛中的N2O生成率。
本研究探讨了在NO2存在下,Cu-SSZ-13催化剂表面NH3-SCR反应过程中N2O的生成机制。结果表明,引入NO2会导致整个温度范围内N2O排放量显著升高。经750℃水热老化16小时后,Cu-SSZ-13催化剂发生[Cu(OH)]+-Z物种向Cu2+-2Z的转化,同时布伦斯特酸位点数量减少。这些结构与化学变化使老化催化剂更易产生N2O,尤其在中高温区域表现显著。原位DRIFTS和TPD实验揭示:低温下N2O形成主要源于NH4NO3的积累与分解,且NO2加速了该过程。此外,不同气氛下的NH3氧化实验结合同位素标记研究表明,高温条件下NO2驱动的NH3氧化是N2O生成增强的关键机制。在此过程中,NO2不仅作为氧化剂,同时也是N2O的N源之一。基于这些发现,研究采用Cu/Fe耦合沸石催化剂作为抑制N2O排放的策略。实验表明,在快速SCR条件下,将少量Fe-SSZ-13置于Cu-SSZ-13上游,既能有效降低N2O释放,又能保持低温高NOx转化率。总体而言,本研究揭示了NO2在柴油尾气后处理系统中N2O形成的关键作用,为合理设计降低温室气体排放的新一代SCR催化剂提供了重要指导。
Du, J., Liu, J., Zhang, Y., Shan, Y., Han, S., Yu, Y., & Shan, W. (2025). Mechanism and control strategies of N2O formation induced by NO2 during the NH3-SCR reaction over Cu-SSZ-13 zeolites. Applied Catalysis B: Environment and Energy, 126196.
https://doi.org/10.1016/j.apcatb.2025.126196
中国科学院城市环境研究所贺泓院士/单文坡研究员团队长期从事大气污染控制与环境催化等方向研究。课题组聚焦环境催化、分子筛合成、表面科学、计算化学及应用示范项目等研究工作。现因科研需要,招聘特别研究助理和博士后数名,要求博士毕业不超过3年、35岁以下,身体健康,具备独立科研能力、责任心与团队合作精神,科研写作能力强,并在本领域国际主流期刊发表2篇以上SCI论文;需具备物理化学、催化化学、计算化学、材料化学、环境催化、环境工程、环境科学等相关专业背景。工资及福利待遇按中国科学院城市环境研究所和国家博后办有关规定执行。入职城市环境研究所宁波站的博士后,可在正常薪酬基础上另外叠加获得宁波市及北仑区最高60万元生活补贴。欢迎有意向者联系单文坡研究员:wpshan@iue.ac.cn,并发送详细个人简历(包括个人基本信息、学习工作经历、参与科研项目情况及科研成果)和自荐信各1份,及2-3篇代表性论文。期待您的加入!
声明

