第一作者:黄宁宇,李白
通讯作者:李磊,徐强
通讯单位:南方科技大学
论文DOI:10.1002/anie.202319177
通过光驱动CO2还原生成一氧化碳、甲烷、甲酸等是解决燃料生产,实现碳中和的有效途径。然而,目前的催化体系仍以生成C1产物为主(如CO和HCOOH),而较高价值的C2+产物则较为少见。考虑到CO2还原是一个多电子反应,这要求光催化剂整合多个催化位点,并协同作用以实现高效光催化CO2还原为C2烃类化合物。本工作通过晶体工程,设计并构建了金属有机框架衍生的Zr/Ti双金属氧化物固溶体作为载体。在负载金纳米颗粒后,该复合材料在光催化CO2还原制备合成气(H2和CO产率分别为271.6和260.6 μmol g-1 h-1)甚至C2烃类(C2H4和C2H6产率分别为6.80和4.05 μmol g-1 h-1)方面表现出优异性能。对照实验和理论计算表明,借助双金属氧化物固溶体载体与金纳米颗粒之间的强相互作用,CO2还原中间体能更好地与催化剂结合,利用多活性位点催化体系的协同作用,得到CO2的深度还原产物。
模仿自然光合作用过程的光驱动CO2转化为燃料和化学品,被认为是减少和利用大气CO2排放以缓解气候变化的最有前景的方法之一。与光催化CO2还原生成C1产物(如CO和甲酸)相比,生成具有更广泛用途和更高附加值的C2烃类的研究鲜少报道,主要是因为C-C偶合过程缓慢,以及多电子反应的复杂反应途径(C2H4需要12个电子,C2H6需要14个电子)。因此,开发多位点协同工作的光催化剂用于将CO2光催化还原为C2烃类具有重要意义。固溶体由几种不同的原子组成,这些原子共享一个晶格结构,因此固溶体可以自然地作为整合多种活性位点的理想平台。通过掺杂溶质离子,固溶体的晶格与原始材料相比可能发生畸变,改变了电子结构,并赋予了独特的物理和化学性质。
金属有机框架(MOF)作为一种新型多孔材料,由于其精确可设计的结构特点而引起了广泛关注。使用MOF作为前驱体,可进一步制备具有特定结构和性质的MOF衍生纳米材料,表现出良好的稳定性和独特的活性位点配位环境,拓展了原始MOF和传统纳米材料的应用场景。MOF中的掺杂金属团簇可看作氧化物固溶体的微缩模型,作为构建具有均匀分布的新型固溶体的理想前驱体。然而,目前大多数MOF衍生固溶体都来源于复杂的MOF复合材料或仅包含少量过渡金属元素(如Co、Ni、Fe、Cu)的常见MOF,这限制了所获得固溶体的范围及其进一步的应用。
金在光催化CO2还原领域已被广泛研究。与半导体结合,金纳米颗粒可以作为光电子储存库,触发表面光生电子的积累,用于多电子CO2还原。将金负载到多活性位点的载体上可以有效促进多个反应中间体和不同活性位点之间的相互作用,从而促进CO2还原和C2烃类的生成。
1. 通过对MOF结构的精确修饰和衍生,成功制备了一例Zr/Ti双金属氧化物固溶体,作为载体负载金纳米颗粒(Au/TZO),代表了MOF衍生催化剂在光催化应用中的新方向。
2. 在模拟太阳光照射下,该催化剂不仅能够实现高效的光催化CO2还原为合成气(CO/H2比为1:1),还能在无需额外光敏剂和辅助催化剂的情况下实现C2烃类的产生。
3. 理论结构模拟和自由能计算表明,固溶体载体与金纳米颗粒之间的协同作用可以增强对CO2还原关键中间体的结合能力,改变反应的决速步骤,从而提高了光催化CO2还原能力,得到深度还原的C2产物。
通过对经典UiO型MOF(UiO-bpy,bpy = 2,2'-联吡啶)进行设计修饰和衍生,多步合成制备了固溶体光催化剂。值得注意的是,在掺杂Ti离子的过程中,通过改变反应溶剂,可调控Ti离子均匀掺杂在Zr簇内或在Zr簇表面配位,从而影响后续衍生材料的结构。借助于联吡啶位点,可在MOF框架中引入Au离子,并以此为前驱体通过高温煅烧,制备出两例具有不同载体的催化剂,Au/TZO和Au/TiO2-ZrO2。

图1. Au/TZO和Au/TiO2-ZrO2的合成路线
TEM结果表明,Au/TZO中只能观察到ZrO2对应晶格条纹,而Au/TiO2-ZrO2可观察到TiO2和ZrO2两种晶格条纹,并有明显的界面特征,这与XRD结果吻合。证明Au/TZO中的载体为固溶体,而Au/TiO2-ZrO2为TiO2-ZrO2异质结结构。此外,XANES和EXAFS结果表明,两例催化剂中的Au均为Au纳米颗粒,且Zr离子配位环境相似。Au/TZO具有更短的Ti–O键长,这可以归结为掺杂在ZrO2晶格中的Ti原子的八面体配位几何形变,导致Ti–O键长度收缩,这也与理论建模结果吻合。

图2. (a-c)Au/TZO和(d-e)Au/TiO2-ZrO2的电镜表征

图3. Au/TZO和Au/TiO2-ZrO2的(a)Zr K-edge XANES、(b)Ti K-edge XANES、(c)Au L3-edge XANES和(d)EXAFS谱图;(e-g)Zr K-edge EXAFS谱图及其拟合结果;(h-j)Ti K-edge EXAFS谱图及其拟合结果。
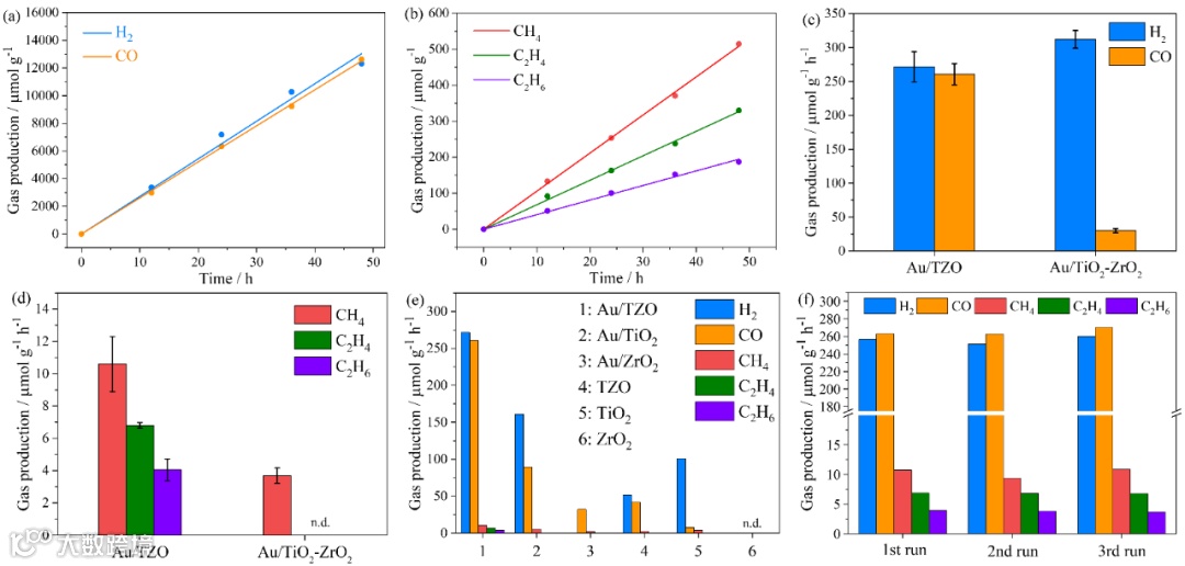
在模拟太阳光(AM 1.5G)照射条件下,Au/TZO表现出高效的光催化CO2还原性能,H2和CO产率分别为271.6和260.6 μmol g-1 h-1,体系中也检测到C2烃类化合物,C2H4和C2H6产率分别达到6.80和4.05 μmol g-1 h-1,这在MOF衍生光催化剂中是较为少见的。而Au/TiO2-ZrO2的CO生成速率则明显减少(30.2 μmol g-1 h-1),且没有检测到C2产物,CO2还原能力减弱。从光催化实验结果可以看出,固溶体基底对CO2还原至关重要。
图4. 光催化性能表征

图5. Au/TZO的紫外可见光谱、Mott-Schottky曲线、光电流测试和EIS谱图
通过结构模拟和理论计算发现,Au/TZO的催化活性主要来源于CO2还原的关键中间体*COOH与不饱和Ti活性位点之间的强相互作用,并与Au纳米颗粒协同作用,使得中间体可以被Au/TZO紧密结合,从而调控反应的决速步骤,显著降低了CO2还原的能垒,促使进一步还原反应的发生。

图6. 反应过程的理论计算及结构模拟
通过晶体工程策略,我们成功设计了具有多活性位点的MOF前驱体,通过衍生将其转化为Zr/Ti双金属氧化物固溶体,作为Au纳米颗粒的支撑物,并表现出强烈的相互作用。由于固溶体基底和Au纳米颗粒之间的协同效应,Au/TZO具备高效光催化CO2还原制备合成气和C2碳氢化合物的性能,其性能约比异质结载体高出9倍。我们通过理论计算进一步证实了Au/TZO的催化活性主要来源于CO2还原反应中间体与不饱和Ti活性位点之间的强相互作用,并通过与Au纳米颗粒的协同作用,降低了CO2还原的能垒,促使C2化合物的生成。本工作提供了一种思路,用于探索具有多活性位点的高效MOF衍生催化剂,满足多电子反应的需求,并开发其在光催化CO2还原领域的潜力。
黄宁宇,南方科技大学博士后/高级研究学者,本科和博士毕业于中山大学(导师:陈小明教授),2021-2023在南方科技大学从事博士后研究工作(合作导师:徐强教授),主要从事功能化金属有机框架(MOF)材料的设计合成及其光/电催化性能研究。目前,已在化学领域国际权威期刊发表学术论文21篇,共计引用1600余次,其中,以第一作者(含共同一作)和通讯作者在Chem. Soc. Rev.、J. Am. Chem. Soc.、Angew. Chem. Int. Ed.、Chem. Sci.、Coordin. Chem. Rev.、CCS Chem.、Nano Res.、Chem. Commun.发表论文14篇。主持或参与国家及省部级科研项目3项,包括博士后科学基金面上项目、国家自然科学基金青年科学基金项目等。
李磊,南方科技大学材料科学与工程系副教授、博士生导师,国家高层次青年人才。本科毕业于中国科学技术大学材料科学与工程系,博士毕业于美国内布拉斯加大学林肯分校化学系,2016-2020在美国德克萨斯大学奥斯汀分校从事博士后研究工作,于2020年加入南方科技大学,主要专注于催化反应机理研究、纳米材料动力学行为及计算方法开发方面的工作,开发了机器学习代码PyAMFF。相关研究成果发表于Nat. Commun., PNAS, JACS, Angew. Chem., JCTC, Nano Lett., Small., ACS Catalysis等国际权威期刊,获批国家自然科学基金面上项目1项、重大研究计划培育项目1项、科技部重点研发计划催化专项课题1 项。
徐强,南方科技大学讲席教授,日本工程院院士,印度国家科学院院士,欧洲科学院院士。曾先后任日本国立产业技术综合研究所(AIST)首席研究员,AIST-京都大学能源化学材料开放创新实验室主任,神户大学、京都大学教授(兼)。2014-2023年连续入选汤森路透-科睿唯安全球高被引学者,曾获汤森路透研究前沿奖、洪堡研究奖及市村地球环境学术奖等。担任《EnergyChem》主编,《Coord. Chem. Rev.》副主编,《Adv. Energy Mater.》、《Chem》、《Matter》、《Chem. Asian J.》等期刊编委。目前主要致力于金属有机框架 (MOF)及衍生物等材料的可控制备及其在催化、能源及环境等领域的应用。
徐强课题组高薪招聘多名博士后(化学/材料)
根据课题组发展需求,课题组拟招聘博士后若干,拟招聘研究方向:热/光/电催化、电池、传感、理论计算或透射电镜表征等。
1. 具有催化(热/光/电)、电池、传感、理论计算或透射电镜等相关专业领域博士学位;
2. 具有良好的英语写作和交流能力,并以第一作者在材料/化学领域国际高水平期刊上发表过2篇及以上学术论文;
3. 有责任心和团队合作精神,具有独立研究能力及较高执行力。
1. 博士后聘用期为两年,年薪33.5万元左右,含广东省生活补助15万元(税前)及深圳市生活补助6万元(税后),参照校内同级人员的标准缴纳养老保险、住房公积金以及发放相关福利;
2. 特别优秀候选人可以申请校长卓越博士后,年薪可达50万元(含广东省及深圳市补助);
3. 拥有优良的工作环境和境内外合作交流机会,博士后在站期间享受两年共计2.5万学术交流经费资助;
4. 课题组提供充足的科研支持,协助作为负责人申请中国博士后科学基金、国家自然科学基金及广东省、深圳市各级科研项目;
5. 课题组协助符合条件的博士后申请“广东省海外青年博士后引进项目”。即在世界排名前200名的高校(不含境内,排名以上一年度泰晤士、USNEWS、QS和上海交通大学的世界大学排行榜为准)获得博士学位,在广东省博士后设站单位从事博士后研究,并承诺在站2年以上的博士后,申请成功后省财政给予每名进站博士后资助60万元生活补贴(与广东省每年15万生活补助不同时享受,与深圳市每年6万元生活补助同时享受情况下以深圳市规定为准);
6. 对获得本项目资助,出站后与广东省用人单位签订工作协议或劳动合同,并承诺连续在粤工作3年以上的博士后,省财政给予每人40万元住房补贴(以最新的人才政策为准);
7. 博士后出站选择留深从事科研工作,且与本市企事业单位签订3年以上劳动(聘用)合同的,可以申请深圳市博士后留深来深科研资助。深圳市政府给予每人每年10万元科研资助,共资助3年(以最新的人才政策为准)。
招聘程序及联系方式
1)请将应聘材料发至:xuq@sustech.edu.cn;
2)邮件主题、附件命名请比照以下格式:博士后+姓名+毕业(或在学)院校;
3)电子邮件的正文应该简要介绍自身情况;邮件附件包含:详细的个人简历(包括个人基本情况、教育背景和工作经历、科研工作概述、论文发表情况等)。
欢迎关注我们,订阅更多最新消息
“邃瞳科学云”推出专业的自然科学直播服务啦!不仅直播团队专业,直播画面出色,而且传播渠道多,宣传效果佳。
“邃瞳科学云"平台正在收集、整理各类学术会议信息,欢迎学会、期刊、会议组织方择优在邃瞳平台上进行线上直播,希望藉此帮助广大科研人员跨越时空的限制,实现自由、畅通地交流互动。欢迎老师同学们提供会议信息(会有礼品赠送),学会、期刊、会议组织方商谈合作,均请联系王女士:18612651915(微信同)。
投稿、荐稿、爆料:Editor@scisight.cn