第一作者:吕艺舒、毕淑娴
通讯作者:束远、张鹏飞、罗正鸿
通讯单位:上海交通大学
论文DOI:10.1021/acscatal.5c05155
本文通过调控Pr3+在NiO晶格中的掺杂位置(体相 vs. 表面),发现体相掺杂能诱导更强的晶格畸变,从而显著提升晶格氧的迁移率。这种增强的氧迁移能力使得催化剂在一氧化碳燃烧反应中表现出更优异的活性和稳定性。
A. 掺杂工程:调控过渡金属氧化物催化性能的经典策略
过渡金属氧化物(TMOs)因其成本低廉和结构可调性,是一类广泛应用于催化、能量存储等领域的关键材料。为了进一步提升其本征催化活性,掺杂外来元素是一种行之有效的策略。传统的掺杂研究主要聚焦于掺杂剂的价态与离子半径这两个本征属性,通过引入杂质能级、制造晶格畸变或产生氧空位来优化宿主材料的性能。然而,在复杂的催化反应中,除了掺杂剂的“身份”,其“位置”同样可能扮演着决定性角色。遗憾的是,掺杂剂在晶格空间中的分布规律(体相掺杂 vs. 表面偏析) 及其对催化性能的深层影响,长期以来并未得到充分的关注与清晰的阐释。
B. 挑战:空间分布精准调控的困境
实现掺杂剂空间位置的精准调控是一项艰巨的挑战,尤其是在掺杂离子与宿主离子物理化学性质(如离子半径、溶解度积)差异显著的情况下。以将较大的三价Pr3+掺入较小的二价Ni2+形成的NiO晶格为例,二者巨大的离子半径差异和溶解度积差异使得传统共沉淀法只能得到相分离的PrOx/NiO混合物,而非原子级分散的掺杂结构。尽管在贵金属掺杂的钙钛矿中,可通过还原驱动策略调控空间分布,但对于稀土掺杂的TMOs,宿主阳离子通常比掺杂物种更易被还原,这使得类似的调控策略难以奏效。因此,如何在稀土掺杂的TMOs中精确控制掺杂剂的位置,并建立清晰的结构-性能关系,是该领域一个亟待解决的关键科学问题。
C. 本研究的出发点
基于上述挑战,本研究提出了一个核心科学问题:在掺杂型过渡金属氧化物中,掺杂剂的空间位置分布是否对催化性能具有决定性的影响?
为了回答这个问题,研究团队选择Pr3+掺杂NiO作为模型体系。团队设计了一种基于偏析能驱动的固相球磨-沉淀法,成功突破了离子半径与溶解度积差异的限制,率先合成了Pr原子级均匀掺杂的亚稳态NiO。更重要的是,团队利用此亚稳态的特性,通过简单的后续热处理,实现了对Pr3+从体相到表面空间位置的精准、可控调控。
此项工作系统地比较了不同空间分布对NiO电子结构、氧空位形成及晶格氧迁移行为的差异化影响,最终揭示了掺杂位置是比掺杂本身更为关键的活性描述符,为理性设计高性能掺杂催化剂提供了全新的视角和普适性策略。
本研究团队通过一种机械化学辅助的固相球磨-沉淀法,成功克服了Pr3+与Ni2+之间巨大的离子半径与溶解度积差异,合成出Pr原子级分散于NiO体相的亚稳态催化剂(Pr-NiO-300℃)。团队巧妙地利用此亚稳态在热处理过程中的不稳定性,通过控制煅烧温度(300℃ 至500℃),精准实现了Pr3+从体相均匀分布到表面偏析的可控演化。
首先,通过XRD与Raman光谱对材料的结构演变进行了追踪。如图1a所示,与未掺杂的NiO相比,Pr-NiO-300℃和Pr-NiO-400℃的衍射峰均发生明显的低角度偏移,表明晶格发生了膨胀,这直接证明了Pr3+成功掺入NiO晶格并引发了晶格畸变。与此同时,Raman光谱(图1b)中对应于Ni-O键伸缩振动的峰位,随着热处理温度升高从501.7 cm-1(Pr-NiO-300℃)蓝移至532.5 cm-1(Pr-NiO-500℃),说明Pr从体相偏析后,晶格应变得到释放,Ni-O键发生收缩。
图 1. Pr-NiO-T 样品的结构表征。(a)Pr-NiO-T样品的XRD图谱。(b)Pr-NiO-T样品的拉曼光谱。(c)Ni 2p的X射线光电子能谱(XPS)(d)Pr 3d的XPS,(e)Pr-NiO-300℃的Ni-O键的键长,(f)Pr-NiO-500℃的Ni-O键的键长。 (g)基于各种催化剂中Ni和Pr原子的Mulliken电荷。(h)亚稳态Pr-NiO-300℃的偏析能。
为了直接观察Pr元素的空间分布,研究者采用了高角环形暗场-扫描透射电子显微镜(HAADF-STEM)及EDS元素分析。如图2所示,在Pr-NiO-300℃中,Pr元素(图中亮斑)均匀地分布在NiO颗粒内部;而在Pr-NiO-500℃中,Pr元素则清晰地富集在颗粒的边缘和表面。EDS线扫描与面扫描分析(图2c, i)进一步定量证实,Pr-NiO-500℃表面的Pr/Ni原子比远高于其体相和Pr-NiO-300℃,为Pr3+的温度驱动型表面偏析提供了最直观的证据。
图2. Pr-NiO-300℃与Pr-NiO-500℃的ACTEM图像。(a) 5 nm分辨率下获得的Pr-NiO-300℃图像。(b) 1 nm分辨率下获得的Pr-NiO-300℃图像。(c) Pr-NiO-300℃样品中Ni(红色)与Pr(黄色)的EDS映射图像。(d) Pr-NiO-300℃样品中NiO晶格条纹的线型谱分析。(e) Pr-NiO-300℃样品中三个不同区域(区域#S1和#S2见图S8)的EDS元素分析平均Pr/Ni原子分数。(f)区域#1的EDS元素分析结果。(g) Pr-NiO-500℃样品在5 nm分辨率下获得的图像。(h) Pr-NiO-500℃样品在1 nm分辨率下获得的图像。(i) Pr-NiO-500℃样品中Ni(红色)和Pr(黄色)的EDS映射图像。(j) Pr-NiO-500℃样品中NiO晶格条纹的线谱分析。(k) Pr-NiO-500℃样品中三个不同区域(区域#S3和#S4见图S8)的EDS元素分析所得平均Pr/Ni原子分数。(l) 区域#2的EDS元素分析。
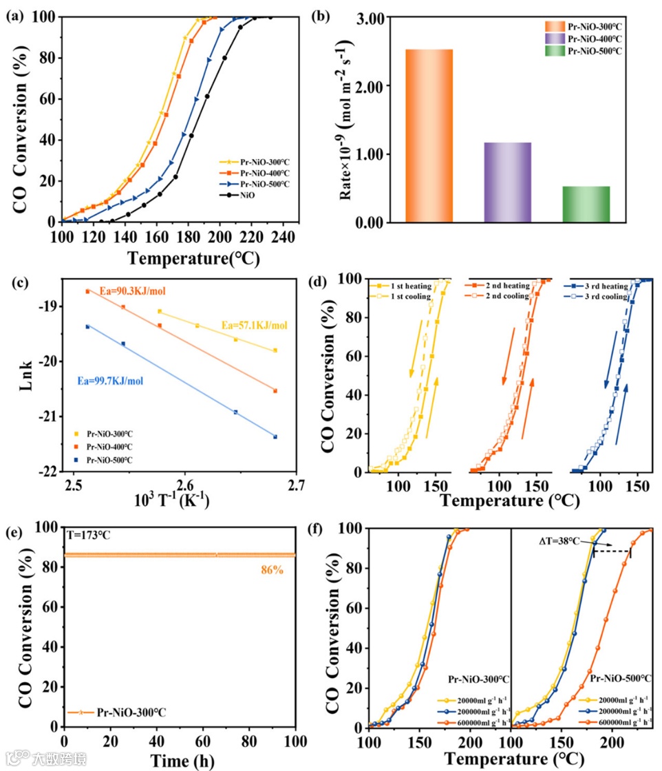
催化性能测试清晰地揭示了Pr掺杂位置对CO燃烧活性的决定性影响。如图3a所示,催化活性遵循以下顺序:Pr-NiO-300℃ > Pr-NiO-400℃ > Pr-NiO-500℃> NiO。其中,具有体相掺杂结构的Pr-NiO-300℃表现出最优的活性,其T90(90% CO转化率温度)比未掺杂NiO降低了31℃。
此外,如图3f所示,在高空速条件下,Pr-NiO-300℃的活性保持率远高于Pr-NiO-500℃,这证明了由体相掺杂所赋予的优异结构稳定性和反应耐久性。这些结果共同表明,Pr3+位于体相时对催化性能的提升作用远优于其偏析在表面。
图3. Pr-NiO-T催化剂在CO燃烧中的性能表现。(a) Pr-NiO-T样品上CO燃烧的点火曲线。(b) Pr-NiO-T催化剂的CO燃烧速率。(c) Pr-NiO-T催化剂的CO催化燃烧活化能。(d) Pr-NiO-300℃催化剂连续三次运行中的CO燃烧点火曲线。(e) Pr-NiO-300℃在173℃下的稳定性测试。所有反应均在WHSV=20,000 mL g-1h-1条件下进行。(f) Pr-NiO-300℃与Pr-NiO-500℃催化剂在WHSV=20,000、200,000及600,000 mL g-1 h-1条件下CO燃烧的点火曲线。
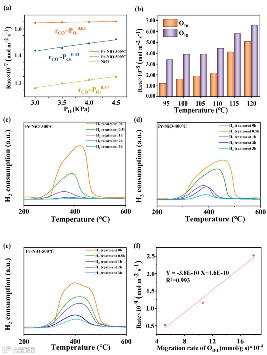
为了深入探究性能差异的根源,研究者进行了一系列精妙的机理实验。首先,通过测定反应动力学级数发现,Pr-NiO-300℃对O2的反应级数趋近于0(0.03),远低于Pr-NiO-500℃(0.33)。这表明,对于体相掺杂的催化剂,其反应速率不再依赖于气相O2的活化,而是由催化剂自身晶格氧的迁移和补充速率所控制。
图4. 晶格氧迁移速率表征。(a)在160℃下测得的CO反应速率,PO₂在3至4.5 kPa之间变化,PCO保持在5 kPa。(b) 在O16或O18存在下测得的Pr-NiO-300℃的CO燃烧反应速率。设计H2-TPR曲线:(c) Pr-NiO-300℃,(d) Pr-NiO-400℃,(e) Pr-NiO-500℃。(f) 晶格氧迁移速率与宏观反应速率的相关性。
随后,18O2同位素标记实验提供了更直接的证据。在Pr-NiO-300℃上,反应初期检测到了强烈的C16O18O信号,随后才转变为C16O2信号。这清晰地展示了体相中的16O迁移到表面,参与了CO氧化并生成C16O18O,而后表面的氧空位又被体相迁移来的16O快速补充的完整过程。而在Pr-NiO-500℃上,这一现象则非常微弱,证明其晶格氧迁移能力严重不足。
最后,专门设计的H2-TPR和CO脉冲滴定实验定量地证实了这一点。数据显示,Pr-NiO-300℃消耗晶格氧(尤其是体相晶格氧)的速率远快于其他样品,并且其消耗速率与宏观CO氧化反应速率呈正相关线性关系。这最终确立了本征的晶格氧迁移能力是决定该类催化剂性能的关键描述符。
图5. 晶格氧迁移在反应机理中的作用。(a) Pr-NiO-300 ℃上CO燃烧反应过程中C16O16O、C16O18O和C18O18O物种随时间变化的质谱。(b) Pr-NiO-500 ℃上CO燃烧反应过程中C16O16O、C16O18O和C18O18O物种随时间变化的质谱。(c) Pr-NiO-300 ℃和(d) Pr-NiO-500 ℃在180 ℃设计的CO探针滴定反应。
声明

