
第一作者:汪颖,李寒
通讯作者:龙金林研究员
通讯单位:福州大学化学学院
论文DOI:10.1021/acscatal.3c03051
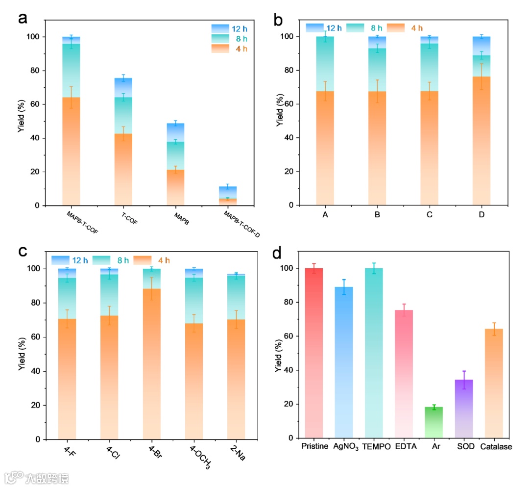
近期,龙金林研究员等人基于能带工程的设计理念,成功构建了一种S型异质结光催化剂MAPbBr3-TFPPy-TP-COF(MAPB-T-COF)。在蓝光LED的条件下,MAPB-T-COF在将4-甲基苯硫酚(4-MBT)转化为对甲苯基二硫醚(PTD)的反应中表现出优异的光催化性能,反应物的转化率和光量子效率分别达到了100%和12.76%,并且对类似结构的苯硫酚衍生物具有普适性。相关工作以“Nanoscale 0D/1D Heterojunction of MAPbBr3/COF Towards Efficient LED-Driven S‒S Coupling Reactions”为题发表在国际期刊ACS Catalysis上。
二硫键具有优越的可逆性、柔韧性和稳定性,在生命科学、蛋白质折叠、药学、材料科学和先进化学应用等领域发挥着重要的作用。因此,S−S键的精确合成对于基于二硫键的医疗和功能材料的规模化应用至关重要。目前,利用与各种基团的硫酚进行S−S键化学转化和偶联在现有技术中具有优越性。然而,现有的化学技术主要依赖于贵金属催化剂和强氧化剂,存在一些缺陷,如选择性差、试剂昂贵、可重复性差等。因此,高选择性的S−S键的人工合成应符合环境安全的战略,所以基于氧化偶联机制设计和定制的人工S−S键合成催化剂迫在眉睫。一般而言,单组分光催化剂要在实现高量子效率(QE)的同时获得强氧化还原电位是一项具有挑战性的任务,而S型异质结是最有效的能带管理工程。S型异质结由两个光系统构成,一侧具有强氧化性空穴,另一侧具有强还原性电子。这种结构不仅能有效促进载流子的转移和分离,还能在无牺牲剂和载流子转移介质的情况下优化光催化系统。研究表明,由低维COFs和MAPB QDs组装的S型异质结有望实现优异的光收集性能、出色的载流子分离效率和高量子效率,同时获得强氧化还原化学势,用于S−S键的人工光催化合成。
3. 通过电子自旋共振(EPR)等多种表征技术共同证实,新型MAPB-T-COF不仅在加速载流子分离和迁移方面表现出优势,而且在高光子量子效率和强化学氧化还原电位之间实现了完美的权衡。






本研究证明了能带工程管理在光催化有机合成中的出色应用。在能带工程管理的指导下,以MAPB量子点和T-COF NWs为光吸收体,成功设计和构建了纳米0D/1D S型异质结。原位自由基监测在内的多种表征技术共同证实了新型MAPB-T-COF不仅在加速载流子分离和迁移方面表现出优势,而且在高光子量子效率和强化学氧化还原电位之间实现了完美的权衡。蓝光LED驱动的MAPB-T-COF实现了100%的PTD产率,光子量子效率高达12.76%。这项研究不仅为设计纳米级异质结提供了一种从概念到验证的方法,而且为S−S偶联的自由基触发反应机理提供了见解。该研究有望激发和推动纳米级低维异质结光电相关的电子设备、光电转换器件、光电极和光催化剂的发展。

龙金林,研究员,博士生导师。2009年毕业于福州大学,获得物理化学专业博士学位,2011-2012年在新加坡南洋理工大学从事博士后研究,2015-2016年在美国埃默里大学化学系进行访学。现担任福州大学能源与环境光催化国家重点实验室副主任,主要从事光催化基础与应用研究。主要围绕可见光光催化剂的设计合成、反应过程强化和微观分子作用机理等开展研究工作。主持承担了多项国家自然科学基金,国家重点研发计划和和省部级科研项目。2022年获福建省自然科学一等奖(第一完成人)。在Nat. Energy, J. Am. Chem. Soc., Angew. Chem. Int. Ed., Nat. Commun., PNAS., Energy Environ. Sci.等国际重要SCI期刊发表学术论文150余篇,引用9700余次,h-index为57。受邀在国际国内重要学术会议和学术机构做邀请报告40余次。授权中国发明专利30余项。
声明
“邃瞳科学云”直播服务
扫描二维码下载
邃瞳科学云APP

