Pt/α-MoC催化剂在水煤气变换反应中表现出优异的催化性能。在“双碳”目标推动下,新兴应用场景(如车载/便携式制氢装置、分布式能源系统等)对反应器小型化与高空速操作提出更高要求,亟需催化剂兼具优良的低温活性和机械强度。近期,针对传统本体结构Pt/α-MoC机械强度不足及Pt-Mo界面活性位数量有限的问题,浙江大学姚思宇研究员、高晓峰副研究员、浙江工业大学林丽利教授、北京大学马丁教授合作,通过设计负载型Pt/α-MoC催化剂,实现了该催化剂体系在结构与性能方面的显著突破,相关成果分别发表于化工TOP期刊《Chemical Engineering Journal》(doi.org/10.1016/j.cej.2025.169793)和化工三大刊之一《Industrial & Engineering Chemistry Research》(doi.org/10.1021/acs.iecr.5c03827),浙江大学硕士研究生周雯婷作为第一作者。
立方结构的α-MoC负载金属Pt催化剂(Pt/α-MoC)在水煤气变换反应中表现出优异的低温活性,在燃料电池应用中的氢气加工和纯化方面具有巨大潜力。需要指出的是,由于α-MoC相对较低的比表面积和较差的机械强度,限制了Pt/α-MoC粉末的成型应用,使得其在目前小型、高空速反应器应用中产生许多限制。而第三组分(如高比表面的SiO2或分子筛)的引入可以有效分散活性组分,提高催化剂整体机械强度。
通过引入第三组分高比表面载体(SiO2/ZSM-5/全硅S-1分子筛)构建“Pt/α-MoC/载体”三元催化剂,采用电位置换策略,成功将活性组分Pt/α-MoC分散于高比表面载体。基底中Si组分对α-MoC结构产生影响,形成稳定的“Mo-Si”特殊界面层,分散的同时改变了活性组分Pt/α-MoC的电子性能,形成丰富的Pt-Mo活性位点;动力学实验证实CO中毒减弱及水解离的增强。进一步设计的Si/Al比可连续调变的分子筛(ZSM-5/全硅S-1分子筛)作为载体的催化剂体系(Pt/α-MoC/MFI)验证了载体中Si组分的占比对于性能及结构的梯度调控作用。最终成功开发了在WGSR中呈现优异催化性能的“Pt/α-MoC/载体”催化剂体系。该研究为提高MoC基催化剂在LT-WGSR中的性能提供了新策略。
1. 电位置换策略指导下合成的三元Pt/α-MoC/SiO2-GR催化剂的WGSR性能及电子特性
图1. 电位置换法合成Pt/α-MoC/SiO2-GR催化剂的流程示意图
我们通过正价Pt和未钝化的α-MoC表面间的静电吸附作用合成了电位置换催化剂:Pt/α-MoC/SiO2-GR,实现了Pt在α-MoC表面的精准落位和有效锚定。
图2. (a) Pt/α-MoC/SiO2-RM,(b) Pt/α-MoC/SiO2-CM,(c) Pt/α-MoC/SiO2-GR和(d) Pt/α-MoC/SiO2-PM催化剂的TEM图像和EDS图。
针对Pt/α-MoC和SiO2间不同的组合模式,我们还设计了另外三种对比样:随机负载法RM样品、团簇法CM样品、物理混合PM样品。电镜结果证实,电位置换法是四种方法中唯一实现高度分散,Pt和α-MoC有机精确组合的方法。
图3. (a)不同催化剂温度-CO转化率图;(b) 不同催化剂的单位性能(Conv.CO<15%,已除去α-MoC的贡献);(c)催化剂的选择性结果;(d) 不同催化剂在无产物气体下的表观活化能Ea:MoC/SiO2、Pt/α-MoC/SiO2-CM、Pt/α-MoC/SiO2-PM和Pt/α-MoC/SiO2-GR(10%CO/20%H2O/70%N2,Conv.CO<15%)。GR催化剂和典型WGS催化剂的WGS性能: 典型金属/氧化物催化剂、金属/β-Mo2C催化剂(灰点)、Au/α-MoC催化剂(黄点)、0.2 wt%Pt1/α-MoC(深绿色点)和2 wt%(Pt1-Ptn)/α-MoC(浅蓝色点)催化剂的(e) 摩尔比活度和(f) 质量比活度的总结。
进而,我们针对电位置换法合成Pt/α-MoC/SiO2-GR催化剂以及三种对比样品的WGSR性能做了对比。研究发现,电位置换法GR样品具备最高的转化率以及单位性能,达到9.9 molCO/molPt/s,在摩尔比和质量比活性方面均超过了Science报道的Au/α-MoC体系以及Nature 报道的Pt/α-MoC体系,达Pt/α-MoC体系(6.08 molCO/molPt/s)的1.6倍之多,这是在性能上首次实现大幅超越近年来热门研究对象“金属/碳化钼”体系的研究。
图4. 四种催化剂的程序升温表面反应(TPSR)质谱图像,包括(a) 常温吸附水的解离和(b) CO-TPSR。(c) 四个样品在CO-TPSR阶段的H2信号峰的分峰拟合结果。
图5. 催化剂(a) Pt/α-MoC,(b) Pt/α-MoC/SiO2-PM,(c) α-MoC/SiO2和(d) Pt/α-MoC/SiO2-GR的WGS速率与CO、H2O、H2及CO2分压之间的关系;(e) 四种催化剂的反应级数统计图;(f) Pt/α-MoC/SiO2-GR催化剂表面反应物分子转化过程示意图。
机理研究发现 ,电位置换催化剂中基底SiO2对α-MoC产生影响,形成的Mo-Si特殊界面层在催化剂结构和电子性能方面均有调控作用,这是活性提升的主要原因。TPSR表征证明具有最高的低温产氢峰,低温产氢优势显著;而动力学实验证明Mo-Si界面层影响了CO和水的反应路径,CO反应级数由负转变为正,水的级数减小,表明在电位置换GR催化剂表面实现了CO活化和水解离性能的提升。
2. 基于负载型三元体系的构建设计了Si/Al比可以连续调变的高比表面分子筛体系:Pt/α-MoC/MFI,用于WGSR
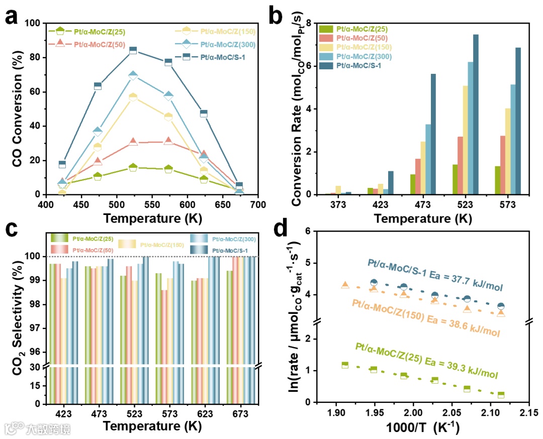
图6. (a) 催化剂的温度-CO转化率图;(b) 催化剂的单位性能(Conv.CO<15%,基于ICP的Pt体相含量计算);(c) 催化剂的温度-选择性图;(d) 在无产物条件下测定的表观活化能(Ea)(10%CO/20%H2O/70%N2,Conv.CO<15%)。
鉴于氧化物基底对于Pt/α-MoC/载体的性能提升有重要作用,我们基于负载型三元体系的构建设计了Si/Al比可以连续调变的高比表面分子筛体系:Pt/α-MoC/MFI,其中的MFI型分子筛采用SiO2/Al2O3= 25,50,150,300的系列ZSM-5分子筛以及全硅型S-1分子筛,发现催化性能与Si/Al比呈现正相关趋势,在全硅S-1分子筛作载体时性能达到最优(7.4 molCO/molPt/s),证实基底中Si的占比强烈影响并调控着WGSR性能。
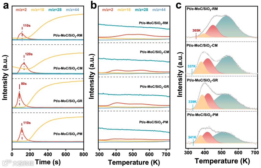
图7. 四个Pt/α-MoC/MFI催化剂的程序升温表面反应(TPSR)质谱图像,包括(a) 常温水解离和(b) CO-TPSR阶段H2信号分峰结果。(c) 常温水解离阶段模型图;(d) CO-TPSR模型图。
结合XRD及XPS的统计计算结果,发现基底的Si/Al比影响着碳化钼的结晶过程,调变使Si/Al比升高时,碳含量及优势200晶面含量分别呈现降低和提高的趋势;当全硅S-1 分子筛作基底时CO-TPSR阶段也具有更高的低温产氢峰,这是其活性表现突出的原因。
我们在电位置换策略指导下合成了一系列Pt/α-MoC/载体三元催化剂,不定型SiO2和全硅型的S-1分子筛作载体时实现了在WGSR中的高性能表现。与本体Pt/α-MoC催化剂相比,第三组分载体的引入可显著提高WGSR活性,优化体系结构及电子性能,并进一步提升催化剂的机械强度。我们的研究填补了Pt/α-MoC基负载型催化剂在WGSR三元领域的空白。该工作将为相关三元催化剂的设计合成及碳化钼基催化剂性能再优化提供新的借鉴,并且有望为Pt/α-MoC基催化剂应用于工业化场景开辟体系新思路。
声明

