
第一作者:江宏宇
通讯作者:宋卫华教授、燕姝雯副教授
通讯单位:复旦大学
论文DOI:https://doi.org/10.1021/acs.est.3c07216
本文研究了溶解黑碳(DBC)光化学生成的氧化有机自由基(POORs),并与溶解有机质(DOM)光化学生成的POORs进行了比较。在DBC溶液中生成的POORs的单电子还原电位值(1.38 ~ 1.56 V)高于DOM溶液(1.22 ~ 1.38 V)。我们发现,随着溶解氧的增加,DBC的POORs的光生成增强,而DOM溶液对POORs的光生成具有抑制作用。我们采用单电子还原物质(DBC•−/DOM•−)的行为来解释这一现象。实验结果表明,DO浓度对DBC•−的影响大于DOM•−。低DO水平导致DBC•−的稳态浓度大幅增加,从而通过逆向电子转移反应淬灭POORs。此外,我们还估计了POORs对日光暴露的DBC和DOM溶液中对19种新兴有机污染物(EOCs)的降解贡献。研究结果表明,POORs在EOCs的光降解中发挥着重要作用,之前已知EOCs与三联体反应,特别是在DBC溶液中。与DOM解决方案相比,POOR对EOC衰减的贡献较小,但相当大。本研究通过突出DBC在光化学污染物降解中的作用,并提供涉及POORs的污染物转化机制的见解,增强了对水生环境中污染物命运的理解。
黑碳(BC)是由化石燃料或生物质的不完全燃烧产生的,全球排放量估计为每年5000 - 2.7亿吨。因此,BC在全球碳循环中起着重要作用,并可能影响气候变化。溶解黑碳(DBC)是BC的水溶性部分,DBC主要由融合的芳香环核和亲水取代基(如羟基和酸基)组成。因此,DBC的化学成分与DOM的化学成分有很大不同,从而导致不同的光化学性质。
在光生成的反应中间体(PPRI)中,人们广泛研究了由光照DBC溶液生成的1O2和3DBC*,并将其与DOM溶液生成的1O2和3DBC*进行了比较。然而,以前没有研究过DBC中POOR的产生情况。POOR包括苯氧基自由基(PhO•)、烷氧基自由基(RO•)和有机过氧基自由基(ROO•),也可能源于DOM的不完全氧化。Canonica和同事进行了一系列的研究来探索POORs在富电子酚的光敏衰变中发挥的重要作用,特别是当浓度为亚µM时,因此,有必要考虑POORs是否在EOC降解中发挥重要作用,特别是在EOC浓度较低的实际水生环境中。
本文首先关注了在DBC中是否存在不同浓度TMP一级降解速率区别明显的现象(图1 a,b)。观察结果显示速率差异在DBC中表现更为明显,因此我们进一步选用了不同氧化电势的酚来测定EF值,并根据不同酚的氧化电势得到了DBC和DOM中POOR的还原电势(DBC:1.38-1.56 V;DOM:1.22-1.38 V)(图1 c,d)。

本文根据前人的研究和二级反应速率常数推导了POOR对不同酚的一级降解速率,并根据量子产率计算公式,换算得到了量子产率系数的计算方法。通过不同酚的一级降解速率换算得到了POOR的量子产率系数(图2 a)和三线态的量子产率系数(图2 b)。实验结果表明,不管是POOR还是三线态,DBC的表现优于DOM,表现出更强的反应活性。

三线态会被氧气所淬灭,而POOR是三线态氧化有机质产生的中间体,因此POOR的产生会被氧气所影响。为此,本文在研究中探讨了两种氧气条件下不同酚的一级降解速率情况(图3 a,b,c,d)。研究发现,在DBC中,氧气会产生促进POOR的效果,而在DOM中氧气会产生抑制POOR的效果(图3 e,f),这是两种截然相反的现象。为了能够更好的解释这种现象,我们关注到在反应过程中会有单电子还原物质(DBC•−/DOM•−)产生,而氧气也会与其反应产生超氧根自由基。因此,有必要研究这个过程中单电子还原物质(DBC•−/DOM•−)的浓度变化。

前人的研究证明了3-AP可以作为特异探针来监测溶液中还原性物质(DBC•−/DOM•−)的变化。首先,在缺氧条件下用不同浓度的3-AP确定反应最大3-AP浓度(图4 a),并通过公式变形得到线性关系(图4 b)。确定最大3-AP浓度之后,固定3-AP浓度,在不同溶解氧的条件下,测定3-AP与还原性物质反应生成物的生成速率,得到生成速率比值的线性关系(图4 c)。在这里的线性关系中,截距和斜率都有其化学反应的意义。得到相关参数后,代入还原性物质的生成式中可以得到其稳态浓度的变化情况(图4 d)。

最终我们通过梳理溶液中的反应,得到相应物质的关系图如下。其中,红色部分为本次研究中的重点补充和主要关注对象。在部分有机质体系,如本文中的DBC中,BET反应也需要着重考虑,特别是在污染物浓度较低和溶解氧变化大的情况下。

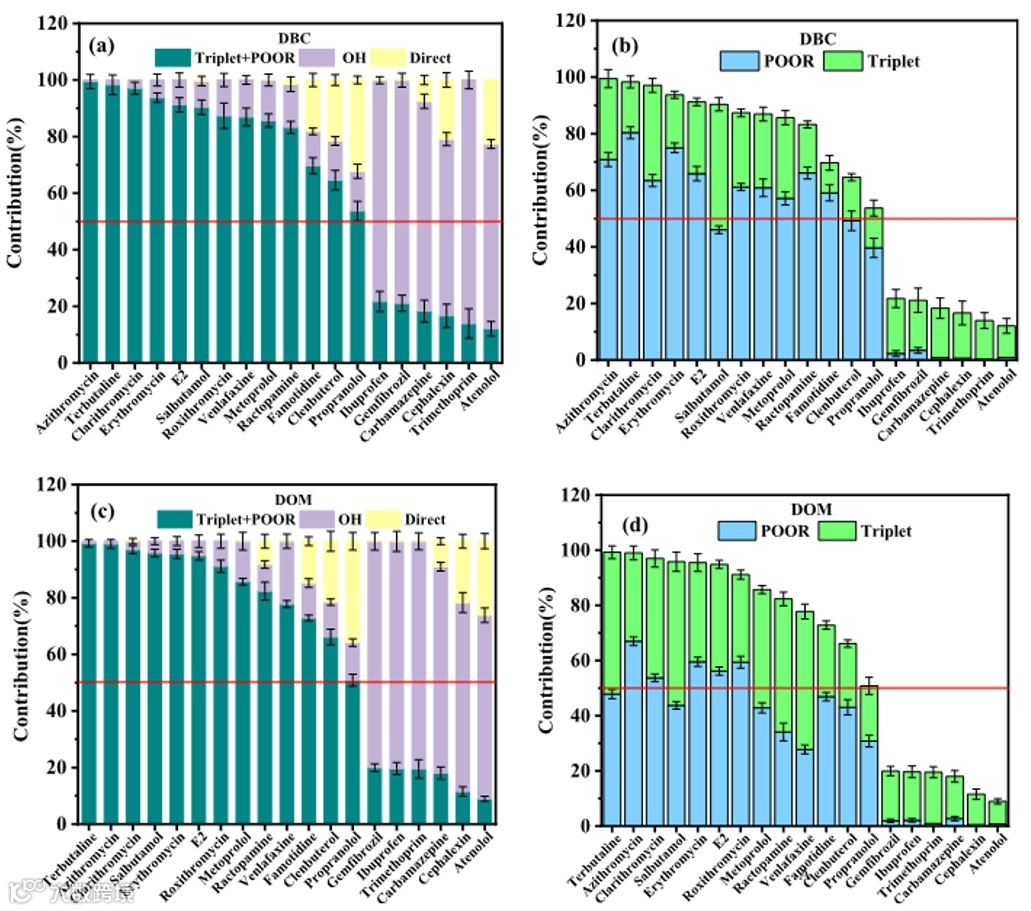
在之前的研究中,还不清楚POOR对污染物的降解有贡献,因此我们将所有的贡献都归于三线态。在污染物的降解过程中,不同自由基的贡献如图6 a,c所示。部分EOCs主要由三线态降解,而另一部分主要由羟基自由基降解,这与之前的研究结果一致。然而,在本研究中,我们发现POOR在污染物浓度很低时不能忽略其贡献,因此我们将三线态贡献进一步细化,得到图6 b,d。从图中可以看出,在三线态的贡献中,POOR占比是很大的,DBC中大部分都超过了50%以上,比DOM中的POOR表现也更优,这与本文一开始的研究现象也是相符的。
这项研究为DBC溶液辐照产生的POORs的作用提供了有价值的见解。应该对不同的有机质来源进行进一步的调查,以了解POOR的产生程度。此外,在自然光照和活性氧介导的水处理过程中,POORs对EOCs降解的影响值得探索。这种研究将有助于更全面地了解POOR在各种环境情况下的影响。
江宏宇,硕士研究生,就读于复旦大学环境科学与工程系。

宋卫华,复旦大学环境科学与工程系副教授,博士生导师,英国皇家化学会会士。获基金委“优秀青年基金”,上海市“东方学者”特聘教授,“浦江人才”计划资助,是英国化学会刊物Environ. Sci.: Processes & Impacts的Editorial Advisory Board和Editorial Board成员。在Environ Sci Technol、Water Res等杂志发表SCI论文110余篇,其中第一/通讯作者SCI论文51篇。研究方向:(1)环境光化学中的活性物种及其在新型污染物降解过程中的作用机制;(2)高级氧化技术降解新型污染物的基础研究。

燕姝雯,复旦大学环境科学与工程系副教授,博士生导师。在Environ Sci Technol、Water Res等杂志发表论文50余篇。主持国家自然科学基金、上海市科学技术委员会等多项研究课题。主要在碳酸根自由基、有机自由基的环境光化学归趋,新型藻毒素的筛查与测定,新污染物测定及其自由基控制技术方面开展研究。
通讯邮箱:yanshuwen@fudan.edu.cn
声明
“邃瞳科学云”直播服务
扫描二维码下载
邃瞳科学云APP

