
第一作者:黄沐佳
通讯作者:盛闻超教授
通讯单位:同济大学环境科学与工程学院,污染控制与资源化研究国家重点实验室,上海市污染控制与生态安全研究所
论文DOI:10.1021/acscatal.3c05362
开发能够进行选择性两电子氧还原反应(2e− ORR)的电催化剂已成为电化学合成H2O2的一大障碍。同济大学盛闻超教授团队采用化学气相沉积法合成了一系列不同S含量的硫化铂催化剂(PtSx/C, x为S与Pt的原子比)。该催化剂在酸性电解质中的2e− ORR性能与S含量呈“火山”型关系。S含量最佳的PtS1.38/C (39.5 wt%)催化剂具有晶体PtS核和无定形PtS2壳层的结构,在接近零过电位下发生2e− ORR,选择性达到92%,质量活性为70.5 A gPt−1 (0.65 V vs RHE)。PtS1.38/C催化剂具有突出2e− ORR选择性和活性源于S的引入改变了Pt表面的d带结构,进而改变了含氧物种(OOH*)的结合能。PtS1.38/C催化剂能够在H-Cell中稳定地批量电合成H2O2,具有高达992 mmolH2O2g−1cat h−1 (0.2 V vs RHE)的生产率,稳定运行48小时,具有巨大的实际应用潜力。
过氧化氢(H2O2)的生产依赖于高能耗的集中式蒽醌法,而绿色的分布式电催化两电子氧还原反应(2e− ORR)法可以合成过氧化氢(H2O2)。然而,其应用却受到了四电子氧还原反应(4e− ORR)的竞争阻碍。尽管目前铂族金属汞合金在2e−ORR方面取得了一定成就,但汞本身的毒性阻碍了含汞电催化剂的进一步发展。此外,很少有研究关注如何有效抑制H2O2的分解。调控活性位点的电子结构和分散的活性位点是有效提升2e− ORR选择性的有效策略。此外,贵金属活性位点的氧化态可以有效抑制H2O2的分解。因此,我们推测具有强电负性的S与Pt的键合形成硫化铂催化剂有望显著调控Pt的ORR路径,并抑制H2O2的分解实现高的H2O2产率。
1. 采用简单的一步法精确调控制备了不同硫含量的PtSx/C(x=0.34、0.93、1.38、1.64和1.91)催化剂。根据物化表征分析的结果,气化的S原子扩散到铂纳米粒子中,形成了PtS纳米晶体(PtS0.34/C, PtS0.93/C),随着S含量的增加,PtS纳米晶体的表面开始转变为无定形的PtS2,形成结晶PtS内核和无定形PtS2外壳结构(PtS1.38/C)。当S原子不断渗入纳米结构中时,PtS内核尺寸缩小,PtS2外壳层变厚,最终颗粒转变为无定形PtS2(PtS1.64/C、PtS1.91/C)。
2. 价带光谱研究和密度泛函理论计算相结合表明,Pt-S键的引入极大地改变了铂的d带电子结构,进而改变了OOH*吸附的吉布斯自由能(ΔGOOH∗)。Pt-S键对Pt电子结构的修饰使得具有适当ΔGOOH∗的PtS1.38/C具有很高的2e− ORR活性和选择性,在接近零的过电位下,选择性达到92%。
3. PtSx化合物的形成将铂牢牢固定在其晶格结构中,使Pt难以渗出。因此,PtSx催化剂比Pt-Hg和某些非贵金属催化剂更加稳定。
4. S的强电负性使Pt保持在氧化状态,这可能会抑制H2O2的分解,从而使PtS1.38/C催化剂在H-Cell中稳定地批量电合成H2O2(48小时),具有极佳的稳定性和H2O2产率(992 mmolH2O2 g−1cat h−1,0.2 V vs. RHE,6 h),累计H2O2浓度达到2549 ppm。
本研究通过化学气相沉积法制备了一系列不同硫含量的PtSx/C(x=0.34、0.93、1.38、1.64和1.91,S含量由电感耦合等离子体质谱法测得)催化剂(图1a)。X射线衍射仪(XRD)分析表明(图1b),随着S含量的增加,原本的Pt晶体先变为Pt晶体和PtS晶体的两相混合,后全部为PtS晶体。高分辨率透射电子显微镜(HRTEM)图像显示PtSx/C催化剂呈球形均匀地分布在碳载体上(图1c-h)。PtS0.34/C催化剂同时含有Pt和PtS纳米晶体,在PtS0.93/C和PtS1.38/C催化剂上只观察到PtS纳米晶体,PtS1.38/C呈核壳结构,球差电镜结果明显显示出结晶的PtS内核和无定形的壳层(图1f)。PtS1.64/C和PtS1.91/C样品很难找到具有清晰晶格条纹的颗粒,几乎所有颗粒都是无定形的(图1g-h)。只有在少数大颗粒(约25 nm)上观察到结晶核心/无定形外壳结构(图2),无定形外壳的厚度约为3.4 nm。

图1(a)化学气相沉积法示意图;(b)XRD谱图;(c)Pt/C、(d)PtS0.34/C、(e)PtS0.93/C、(f)PtS1.38/C(插图为球差扫描透射电镜图)、(g)PtS1.64/C和(h)PtS1.91/C的HRTEM图像;(i)与图c-h相对应的结构演变示意图,银白小球为Pt0,绿小球为Pt2+,灰小球为Pt4+,黄小球为S2−

图2(a)PtS1.64/C和(b)PtS1.91/C催化剂上少数大粒径纳米颗粒的高分辨晶体衍射图
高分辨率X射线光电子能谱(XPS)测量确定S的引入使Pt变为PtS和Pt的两相混合,逐渐完全变为PtS,且随着S含量的进一步增加开始出现XRD和TEM未观察到的新PtS2特征峰。结合所有的物化表征结果,强烈表明PtS2以无定形形式存在。图1i展示了PtSx/C催化剂的结构演变过程。

图3(a)Pt 4f 峰的XPS;(b)S 2p峰的XPS
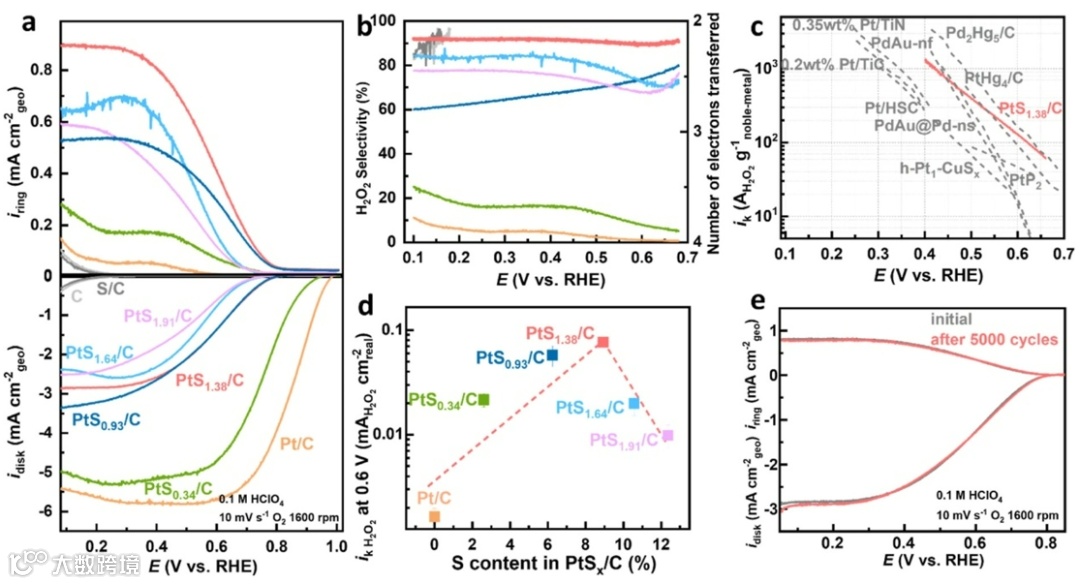
旋转环盘电极测试表明,PtS1.38/C催化剂在0.75 V的起始电位下发生2e− ORR,选择性高达92%,与PtHg4/C催化剂的质量活性相当,且在经过5000个循环的稳定性测试后,2e− ORR没有明显电流衰减。PtSx/C催化剂的2e− ORR性能与S含量密切相关,2e− ORR的活性与S含量呈“火山”型关系,S含量过高或过低都不利于Pt的2e− ORR活性。

图4(a)O2饱和的0.1 M HClO4中的ORR极化曲线;(b)H2O2选择性和转移电子数;(c)质量活性;(d)生产H2O2的动力学电流密度与S含量的关系图;(e)PtS1.38/C在稳定性测试前后的极化曲线
密度泛函理论计算(DFT)和X射线价带光谱(VBS)实验结果均表明随着S含量的增加,d带中心从费米能级向下移动。图5b-d清楚地显示了计算出的d带中心与S含量之间的单调相关性,催化剂表面的d带中心随着S含量的增加而减小。PtSx催化剂吸附OOH*的吉布斯自由能(ΔGOOH∗)、极限反应电位(UL)和在恒定电位下产生H2O2的动力学电流密度与相应ΔGOOH∗之间典型的“火山”关系,均显示出PtS1.38/C催化剂具有最佳的2e− ORR催化反应性能。

图5(a)密度泛函理论计算的催化剂d带态密度;(b) 密度泛函理论计算出的d带中心与S含量的关系;(c) X射线光电子能谱测量的d带态密度;(d) 测量出的d带中心与S含量的关系;(e) 催化剂2e− ORR生成H2O2的自由能图;(f)催化剂极限电位(UL)与OOH∗吸附能的关系;(g) 催化剂实验生成H2O2的动力学电流密度与OOH∗吸附能的关系
将PtS1.38/C在酸性电解质中的浸出现象与已有研究中的催化剂相比较,PtS1.38/C的Pt浸出速率比目前报道的一些Pt-Hg、PtP2和一些非贵催化剂相比要低2-3个数量级。

S在Pt/C催化剂中的引入使得H2O2歧化分解反应受到了明显抑制。

图6 催化剂对H2O2分解反应活性
在PtS1.38/C催化剂的H-Cell测试中,累积H2O2浓度可达2549 ppm,H2O2的平均选择性和法拉第效率分别保持在76%和60%左右(0.2 V vs. RHE,6 h),H2O2产率高达992 mmolH2O2 g−1cat h−1(0.2 V vs. RHE,6 h),约3.5 mA cm−2电流密度下稳定运行48小时,是迄今为止同类型H-Cell测试中得出的最高H2O2产率的催化剂之一。

图7(a)PtS1.38/C在H-Cell中生产H2O2随时间变化的关系(a1)、H2O2选择性和法拉第效率(a2)以及H2O2产率(a3);(b) 在H-Cell中催化剂H2O2产率比较;(c) PtS1.38/C在H-Cell中稳定性测试;(d) PtS1.38/C在不同反应时间下的H2O2产率比较
本研究强调了S含量和PtSx/C之间在调控Pt的电子结构以切换ORR路径方面的重要性,并证明了PtS1.38/C是一种高效稳定的2e−ORR催化剂,为2e− ORR生产H2O2的发展奠定了基础并提供一种新的策略。
盛闻超,同济大学教授、博士生导师,博士毕业于美国麻省理工学院化学系,先后在特拉华大学,哥伦比亚大学从事博士后研究工作,并任职associate research scientist。研究方向为界面电化学、电催化、电化学能源储存与转化、燃料电池;高附加值化学品的电化学合成;纳米尺度材料与结构的合成与表征及其在清洁能源中的应用等。
文章标题 Switching the Oxygen Reduction Route on Pt Using S through d–p Hybridization
原文链接:https://doi.org/10.1021/acscatal.3c05362
本文仅用于学术分享,不做盈利使用,如有侵权,请联系后台小编删除
欢迎关注我们,订阅更多最新消息
“邃瞳科学云”推出专业的自然科学直播服务啦!不仅直播团队专业,直播画面出色,而且传播渠道多,宣传效果佳。
“邃瞳科学云"平台正在收集、整理各类学术会议信息,欢迎学会、期刊、会议组织方择优在邃瞳平台上进行线上直播,希望藉此帮助广大科研人员跨越时空的限制,实现自由、畅通地交流互动。欢迎老师同学们提供会议信息(会有礼品赠送),学会、期刊、会议组织方商谈合作,均请联系王女士:18612651915(微信同)。
投稿、荐稿、爆料:Editor@scisight.cn