
第一作者:庄春强
通讯作者:康振辉,高峻峰,李世杰
通讯单位:苏州大学,大连理工大学,浙江海洋大学
DOI:https://doi.org/10.1039/D3TA07951A
单原子催化剂的催化性能非常依赖于金属位点与载体之间的相互作用,而催化活性与金属位点的局部配位环境密切相关。本文设计了具有Ga-N4、Ga-N5、Ga-N6不同配位环境的Ga单原子催化剂。研究发现Ga-N4配位的催化剂光催化产H2的选择性高达96.4%,而Ga-N6配位的催化剂光催化产H2O2的选择性则为100%。原位红外谱学手段研究发现Ga-N4的催化剂活性位中心为Ga位点,而Ga-N6配位的催化剂活性位中心为N位点。因此通过调控掺杂比例,来调控单原子的配位环境,从而改变催化剂的选择性和活性位中心,为设计新型的单原子催化剂提供新思路。
单原子催化剂以其可调的电子结构和最大化利用孤立的金属原子,因此单原子催化受到了广泛的关注。单原子主导的催化剂具有较高的活性、优异的选择性以及稳定性。已经报道的单原子催化剂,通常是金属原子作为活性位点,但是单原子催化剂的挑战之处在于如何理解金属位点与局域配位环境之间的关联问题。
本文发现通过调控单原子的掺杂浓度,可以调控单原子的配位环境,不同的单原子配位环境有不同的光催化的选择性,同时不同的光催化选择性对应于不同的活性位中心。
图1. 单原子Ga掺杂的g-C3N4光催化剂的制备路线图以及利用透射电子显微镜和球差校正透射电镜表征单原子光催化剂,利用HAADF-STEM研究单原子光催化剂的元素组分分布。

图2. 利用同步辐射研究单原子Ga的局部配位环境。发现不同的Ga掺杂浓度对应不同的配位环境。

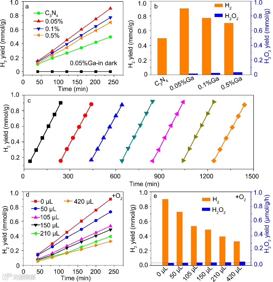
图3. 光催化产氢的性能测试,同时进行光催化产H2O2性能测试。发现Ga-N4配位的光催化剂 (0.05%Ga) 在非氧环境中具有光催化产氢的选择性。

图4. 在氧气环境中,Ga-N6配位的单原子光催化剂具有接近100%选择性的H2O2产物。同时与报道过的基于g-C3N4光催化剂产H2O2的文献进行对比,发现Ga-N6配位的光催化剂具有优异的光催化产H2O2性能。

图5. 第一性原理理论计算光催化反应路径及光催化机制。同时,利用第一性原理计算不同配位环境的单原子Ga催化剂具有不同光催化选择性的微观机制。
本文通过研究单原子催化剂不同的掺杂浓度对光催化活性和选择性影响,发现单原子的掺杂浓度会导致单原子配位环境的变化,单原子配位环境的变化会导致光催化选择性的不同,而且不同的光催化选择性对应于不同的活性位中心,也就是说,通过调控单原子的掺入浓度,可以导致反应的活性位点的变化,而活性位点的变化可以导致不同的光催化的选择性,这一结论在光催化领域具有普适性,可以解释为什么不同的单原子光催化剂的光催化产氢性能非常好,而光催化CRR和 NRR等性能不好的原因,因此调控单原子配位的微环境可以调控光催化的选择性和活性,对于设计新型的单原子光催化剂具有指导意义。
庄春强,北京工业大学副研究员,博士生导师。北京市高层次人才,北京市特聘专家。主持国家自然科学基金面上项目,青年项目,北京市自然科学基金面上项目。参与北京市卓越青年科学家计划项目,国家111创新引智基地建设项目,国家重大仪器项目,国家重点研发项目。发表包括Nature Communications, Angewandte Chemie International Edition, Advanced Materials, ACS Nano等在内的SCI学术论文60余篇,ESI高被引3篇,授权美国专利1项。
主要研究领域:原位电子显微学(原位通气、原位液体、原位加电、原位加力、原位加热等),光催化、电催化材料设计。课题组经费充足,国际交流频繁,实验平台国际一流,欢迎有梦想、有理想、有追求、动手能力强的研究生和博士生加入。
邮箱:chunqiang.zhuang@bjut.edu.cn
本文仅用于学术分享,不做盈利使用,如有侵权,请联系后台小编删除
欢迎关注我们,订阅更多最新消息
“邃瞳科学云”推出专业的自然科学直播服务啦!不仅直播团队专业,直播画面出色,而且传播渠道多,宣传效果佳。
“邃瞳科学云"平台正在收集、整理各类学术会议信息,欢迎学会、期刊、会议组织方择优在邃瞳平台上进行线上直播,希望藉此帮助广大科研人员跨越时空的限制,实现自由、畅通地交流互动。欢迎老师同学们提供会议信息(会有礼品赠送),学会、期刊、会议组织方商谈合作,均请联系王女士:18612651915(微信同)。
投稿、荐稿、爆料:Editor@scisight.cn