埃伦费斯特对量子力学的贡献
埃伦费斯特是奥地利物理学家,他在维也纳理工学院攻读大学,但是他去维也纳大学听了玻尔兹曼的热力学课程,从此成为经典热力学忠实拥趸者。埃伦费斯特不是蓬勃发展的量子理论的崇拜者,但不妨碍他为量子力学做出了重要的贡献。

Paul Ehrenfest (1880-1933)
1. 量子理论的绝热不变量
1911年索尔维会议中著名物理学家洛伦兹就提出一个问题,如果一个量子钟摆的长度可以无限缓慢的变短,它的量子化的能量是否依然量子化。爱因斯坦毫不犹豫的回答:“如果钟摆的长度可以无限缓慢的变化,若其量子化的能量为hυ,仍然为hυ。”洛伦兹和爱因斯坦的问答其实就是量子系统的绝热不变量的问题。埃伦费斯特也注意到斯特藩-玻尔兹曼公式和维恩位移定律的推导完全是经典的,而普朗克奥黑体辐射谱就必须引入量子化,他很是担忧其中的矛盾。这些大物理学家思考方式值得我们学习,能提出这样问题的人才是真正的学者,大概你也能理解英国物理学家Michael Berry怎么会考虑绝热过程相位问题这样古怪的问题。
1913年,埃伦费斯特基于对经典气体绝热膨胀过程的深刻理解,在经典热力学中存在以下绝热不变量
他马上意识到黑体辐射中E/υ是辐射气体的绝热不变量,将量子化规则应用于绝热不变量马上得到
因此从T2到T1的绝热膨胀过程中保留了量子化的规则。1916年埃伦费斯特将绝热不变性的概念引入更为普适和抽象定义,即在正则系统中的可逆绝热不变量。
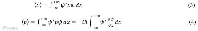
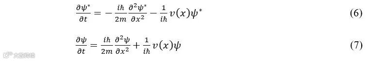
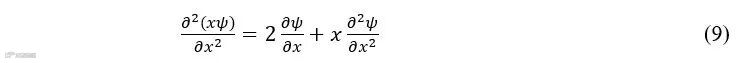
下面我们来证明埃伦费斯特定理,考虑一维随时间演化的薛定谔方程及复共轭形式




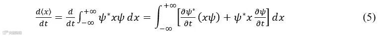
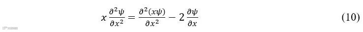
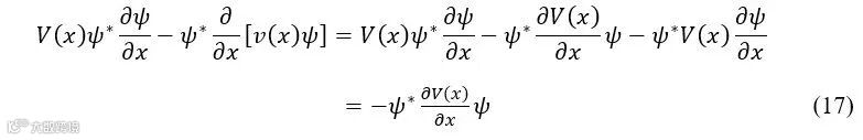
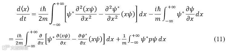
将(6)式和(7)式代入(5)式,
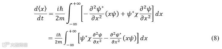
项相消,此时



将(10)式代入(8)式,另外动量算符
, 因此
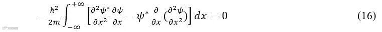
(11)式中ψ* 和 ψ在-∞和+∞处为零,因此式子中第一项为零,因此

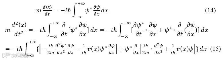
进一步对
求二次微分



因此
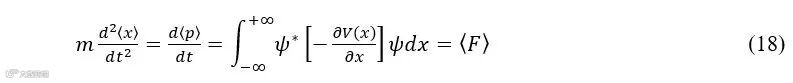
就等价于势能梯度的期望值,也就是力的期望值

由埃伦费斯特定理可知,动量期望值的变化率等于作用力的期望值。这与牛顿第二定律完全相同,但是完全是量子力学的规则推导出来的。还需特别注意埃伦费斯特定理中普朗克常数消失了,这一定理为物理学家提供了力作用量的量子描述与的经典物理世界的自然连续性。在很多量子力学的教材中对埃伦费斯特对量子力学的贡献介绍的不足。

参考文献:
[1] P. Ehrenfest, A mechanical theorem of Boltzmann and its relation to the theory of energy quanta KNAW Proceedings, 16 II, 1913-1914: 591-597
[2] Paul Ehrenfest, Bemerkung über die angenäherte Gültigkeit der klassischen Mechanik innerhalb der Quantenmechanik Zeitschrift für Physik 1927 45: 455-457
欢迎关注我们,订阅更多最新消息
“邃瞳科学云”推出专业的自然科学直播服务啦!不仅直播团队专业,直播画面出色,而且传播渠道多,宣传效果佳。
“邃瞳科学云"平台正在收集、整理各类学术会议信息,欢迎学会、期刊、会议组织方择优在邃瞳平台上进行线上直播,希望藉此帮助广大科研人员跨越时空的限制,实现自由、畅通地交流互动。欢迎老师同学们提供会议信息(会有礼品赠送),学会、期刊、会议组织方商谈合作,均请联系潘经理:18612651915(微信同)。
投稿、荐稿、爆料:Editor@scisight.cn