
第一作者:臧泽毫
通讯作者:张兴华,刘辉
通讯单位:河北工业大学,天津大学
论文DOI:10.1016/j.apcatb.2024.123912
可再生能源驱动的电解水产氢是实现碳中和的重要途径。析氢反应(HER)是电化学水裂解制氢的核心反应,但设计高效的过渡金属纳米催化剂仍然充满挑战。本工作通过简单的电沉积方法,在泡沫镍上设计了不饱和配位Co−M(M = P, S, Se, Te)键修饰的金属Co(M-Co/NF)催化剂。构建的Co−M键不仅改变了局部配位环境和电子结构,而且提供了电子转移通道,显著提高了本征催化活性。代表性的P-Co/NF在10 mA cm−2处的过电位仅为23 mV,并且具有优异的耐久性。X射线吸收光谱证实了不饱和Co−P配位键的形成。密度泛函理论计算表明,不饱和配位Co−P键优化了催化剂对H2O和H的吸附。这项工作为局域配位环境对活性的影响以及高效过渡金属纳米催化剂的合理设计提供了新的见解。
可再生能源驱动的析氢反应(HER)可以将水转化为绿氢,为实现碳中和提供了重要途径。金属Co是取代贵金属材料的潜在HER催化剂,但Co−H键结合过强,对H2O分子吸附和活化不足,导致金属Co在中等电流密度下的HER性能较差。过渡金属基化合物由于具有丰富、可调节的化学组成而表现出良好的HER活性。然而,过渡金属基化合物的导电性较差,在还原电位下高价态的金属物质会被还原为低价态金属,导致其在大电流密度下的耐久性较差。寻求过渡金属与化合物之间的平衡对于设计大电流密度下高活性和稳定性的HER催化剂具有重要意义。在金属Co中引入非金属元素形成Co−M(M:非金属元素)配位键作为电子转移通道,可能是调节表面电荷状态和优化催化活性的有效策略。然而,由于容易形成相应的化合物,非金属化学键修饰过渡金属催化剂很难实现。此外,引入非金属元素通常需要一个复杂的合成过程,伴随着程序化的温度控制和有害气体如NH3、H2S或PH3的释放。如何以简单、温和、可扩展的途径实现非金属化学键修饰过渡金属催化剂具有重要意义。
1. 本工作采用一种简单、可扩展的电沉积合成策略,巧妙地利用离子在沉积电位下的迁移和还原,将非金属元素引入金属Co中,同时避免形成相应的化合物。该方法简化了合成过程,避免了有毒气体的释放,也为催化剂的快速、大面积制备提供了可能。
2. 本工作提出了一种不饱和配位Co−M键修饰策略,通过构建Co−M键作为电荷转移通道来调节局部配位环境。该策略利用非金属元素和金属元素固有性质的差异来增强表面电子离域,从而实现局部电荷分布和表面电荷状态的调控。
3. 得益于局部电荷分布和表面电荷状态的优化,M-Co/NF表现出显著增强的本征催化活性。具有代表性的P-Co/NF在10 mA cm−2时的过电位仅为23 mV,在500 mA cm−2的大电流密度下能稳定运行720 h。非金属的引入能够优化Co对H2O和H的吸附,说明非金属元素调控策略在增强过渡金属催化剂的HER催化性能方面具有一定的普适性。
采用简单、巧妙的一步电沉积法制备了具有不饱和Co−P配位键的金属P-Co/NF催化剂(图1a)。SEM与TEM证明,获得的P-Co/NF为颗粒相互堆叠的表面呈光滑的膜状结构,且微区内元素分布均匀(图1c-h)。

图1 (a)P-Co/NF催化剂的合成示意图;(b)Co2P、P-Co和纯Co的XRD图谱;P-Co/NF的(c)低倍和(d)高倍SEM图像;P-Co的(e)TEM图像;(f,g)HRTEM图像及傅里叶变换(FFT)图像;(h)像差矫正的HAADF-STEM图以及EDS元素映射图
由XPS谱(图2a-c)可知,P的引入使得Co的价态升高,d带中心上移,这有利于增强P-Co对H2O的吸附。采用XAFS对P-Co的局域电子结构进行分析,证实P-Co中Co原子的价态升高以及Co−P键的形成,其中Co−P的平均配位数为0.4(图2d-f)。小波变换结果表明P-Co中没有形成磷化钴(图2g-i)。结合XPS以及XAFS结果,P引入到金属Co后,通过与Co原子形成不饱和的Co−P配位键,从而诱导电子通过Co−P键从Co转移到P上,改善了Co−P键附近Co原子的局域配位环境和电子结构,从而有利于提升电催化性能。

图2 不同样品的(a)Co 2p谱;(b)P 2p谱;(c)价带谱;Co箔、Co2P和P-Co的Co K边(d)XANES图谱;(e)EXAFS傅里叶变换图谱以及(f)在R空间的拟合曲线;(g)Co2P、(h)P-Co和(i)Co箔的k3加权的Co K边EXAFS小波变换等值线图谱
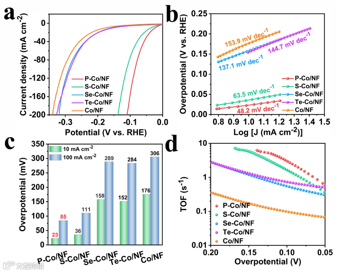
图3为不同M-Co/NF(M=P, S, Se, Te)催化剂的HER性能测试结果,M-Co/NF在10 mA cm−2处的过电位和Tafel斜率都优于纯Co/NF,表明Co−M键的形成可以提高M-Co/NF的HER性能和反应动力学(图3a-c)。此外,不饱和Co−M配位键的形成极大地增强了M-Co/NF的本征催化活性(图3d)。更重要的是,P-Co/NF表现出最低的过电位和Tafel斜率,在0.10 V时TOF值最高,表明P-Co/NF具有优异的HER性能。

图3 M-Co/NF和Co/NF的(a)LSV曲线;(b)Tafel斜率;(c)10和100 mA cm−2处的过电位;(d)TOF曲线
为探究不饱和Co−P键对P-Co的HER催化性能影响,在1.0 M KOH溶液中测试了不同样品的LSV极化曲线。P-Co/NF在10 mA cm−2和100 mA cm−2处的过电位最低,分别为23和85 mV,优于纯Co/NF、Co2P/NF和Pt/C/NF的性能(图4a-e)。此外,P-Co/NF在0.5 A cm−2的大电流密度下,能稳定运行720 h,表明P-Co/NF具有优异的HER耐久性(图4f)。

图4 不同催化剂在1.0 M KOH中的HER催化性能:(a)LSV曲线;(b)Tafel斜率;(c)10和100 mA cm−2处的过电位;(d)EIS曲线;(e)Cdl值的评估;(f)P-Co/NF在0.5 A cm−2反应720 h的i-t曲线;(g)P-Co/NF与最近报道的Co基催化剂HER过电位比较
通过差分电荷密度以及P-Co的电荷密度分布等高线图,证实电子从Co向P转移。由于部分电子从Co转移到P上,使得Co上能转移到H*中间体的电子减少,导致H*中间体在Co原子上的吸附减弱(图5a-c)。通过H2O吸附能的计算,发现P的引入增强了P-Co对H2O分子的吸附,并且H2O分子中O−H键长有所增加,P原子可以通过吸引H2O分子中的H原子而使得O−H键被拉长,这有利于H2O分子的解离过程(图5d,e)。此外,P的引入还削弱了H在Co位点上的吸附自由能,并且P位点也作为新的H吸附位点,从而显著增强了P-Co的HER催化活性(图5f)。更重要的是,S、Se、Te的引入同样能优化金属Co对H2O和H中间体的吸附能力(图6),进一步说明非金属元素调控策略具有一定的普适性。

图5(a,b)P-Co的差分电荷密度图;(c)P-Co的电荷密度分布等高线图;(d)H2O在Co和P-Co上的吸附能值;(e)结构优化后的H2O吸附模型中O−H键键长;(f)H在Co和P-Co上不同位点吸附的ΔGH*值;蓝色:Co;灰色:P;红色:O;白色:H;黄色和青色等值面分别代表电子积累和电子耗尽

图6(a)S-Co、(b)Se-Co和(c)Te-Co的差分电荷密度图;Co、S-Co、Se-Co和Te-Co的(d)H2O吸附能以及(e)H吸附自由能
本工作采用一种简单、可扩展的电沉积策略合成了一系列不饱和Co−M键修饰的金属M-Co/NF(M = P, S, Se, Te)作为高效碱性HER催化剂。加入的非金属原子不仅调节了M-Co/NF的局部配位环境,而且形成了Co−M电荷转移通道,促进了电荷的再分配。精确的局部键合结构优化了H2O的吸附和活化以及H中间体的吸附,从而增强了M-Co/NF的本征HER活性。本工作报道了制备表面不饱和非金属化学键修饰金属Co催化剂的通用策略,并为局部配位环境对活性的影响和高效非贵过渡金属催化剂的合理设计提供了新的见解。
Constructing unsaturated coordination Co−M (M=P, S, Se, Te) bonds modified metallic Co for efficient alkaline hydrogen evolution
https://www.sciencedirect.com/science/article/abs/pii/S0926337324002261
刘辉教授简介:天津大学英才教授,博士生导师,国家自然科学基金优秀青年基金获得者,先后主持国家自然科学基金青年科学基金、国家自然科学基金面上项目、国家自然科学基金优秀青年基金项目。2013年于天津大学取得博士学位,长期致力于脉冲激光制备亚稳材料及其电催化性能研究。以第一作者或通讯作者在Nature catalysis、PANS、Nature Communications、Angew、Adv. Energy Mater.、Adv. Funct. Mater.、ACS Energy Lett、Appl. Catal. B: Environ、Acta Materialia、Small、J. Mater. Chem. A等期刊发表SCI论文50余篇。
张兴华教授简介:河北工业大学元光学者,博士生导师,河北省三三三人才。研究方向为光/电/磁功能材料的可控制备、性能调控和应用研究;主持在研/完成国家级项目2项、省部级项目6项;发表Appl. Catal. B: Environ、Chem. Eng. J.、J. Colloid Interface Sci.、Chem. Mater.、J. Mater. Chem. A/C、ACS Appl. Mater. Inter.等高水平论文50余篇,授权发明专利10余项。
欢迎关注我们,订阅更多最新消息
“邃瞳科学云”推出专业的自然科学直播服务啦!不仅直播团队专业,直播画面出色,而且传播渠道多,宣传效果佳。
“邃瞳科学云"平台正在收集、整理各类学术会议信息,欢迎学会、期刊、会议组织方择优在邃瞳平台上进行线上直播,希望藉此帮助广大科研人员跨越时空的限制,实现自由、畅通地交流互动。欢迎老师同学们提供会议信息(会有礼品赠送),学会、期刊、会议组织方商谈合作,均请联系王女士:18612651915(微信同)。
投稿、荐稿、爆料:Editor@scisight.cn