
第一作者:张袁斌
通讯作者:张袁斌, 汪玲瑶, 陈邦林教授
通讯单位:浙江师范大学
论文DOI:10.1021/jacs.4c03442
高纯度C2H2是生产当代商品化学品的基本原料,从C2H2/CO2或 C2H2/CO2/CH4 混合物中获得高纯度 C2H2 (>99%)至关重要。本文报道了一种由无机含氟阴离子孔分割的新型MOF (ZNU-12),用于高效分离 C2H2/CO2 和 C2H2/CO2/CH4。该框架中,由氟化 SiF62- 阴离子分割成三个不同的笼,能够同时实现高的C2H2吸附容量 (298 K, 1 bar下为176.5 cm3/g)和优异的C2H2/CO2 (13.4)和C2H2/CH4 (233.5)选择性。值得注意的是,我们通过循环的吸附解析穿透实验实现了创纪录的C2H2产率以及高的回收率,在C2H2/CO2 (v/v=50/50)和C2H2/CO2/CH4 (v/v = 1/1/1、1/1/2 或 1/1/8)中分别得到132.7、105.9、98.8、80.0 L/kg的C2H2产率,且纯度达到99.5%。理论计算表明,在小笼里 C2H2 和两个SiF62-阴离子之间存在“2 + 2”的协同氢键。
C2H2对于许多商业化学品至关重要,通常是来自CH4氧化或碳氢化合物热裂解,该过程伴随CO2等杂质的产生。从二元C2H2/CO2和三元C2H2/CO2/CH4混合物中分离C2H2对于达到所需的高纯度(>99%)适用于现代化工生产是至关重要的。金属有机框架(MOF)由于其高孔隙率、孔尺寸可调等优点已广泛应用于气体分离领域。在气体分离体系中,由于C2H2和CO2的动力学分子大小相似(3.3 Å),其分离非常具有挑战性。目前为止,已开发设计许多MOF用于C2H2/CO2分离。其中孔隙空间分配(PSP)策略已作为一种有效的方法用于基准的C2H2/CO2分离,实现高C2H2吸附容量和C2H2/CO2的选择性是有效分离C2H2/CO2的关键。在孔分割MOF中,具有小孔的MOF显示出较高的C2H2/CO2选择性,然而相对较低的孔容造成限制,使得C2H2吸附容量小于135 cm3g−1。具有中等孔容和比表面积的MOF通常显示更高的C2H2吸附容量,但分离选择性不高。为了解决吸附容量和选择性之间的限制,本文提出使用含氟阴离子为孔分割剂使得框架具有超微孔和中等孔,增强C2H2和CO2的吸附容量之间的差异,实现高效的C2H2/CO2分离。

方案1 不同于传统孔分割的新策略提出
1. 本工作使用含氟阴离子为孔分割剂使得框架具有超微孔和中等孔,增强C2H2和CO2的吸附容量之间的差异,实现高效的C2H2/CO2分离。
2. ZNU-12能够同时实现高的C2H2吸附容量 (298 K,1 bar下为176.5 cm3/g)以及优异的C2H2/CO2 (13.4)和C2H2/CH4 (233.5)选择性。
3. 动态穿透解析实验中,在C2H2/CO2 (v/v=50/50)和C2H2/CO2/CH4 (v/v = 1/1/1、1/1/2 或 1/1/8)中分别得到132.7、105.9、98.8、80.0 L/kg的创纪录的C2H2产率,且纯度达到99.5%。
4. 本文发现强化阴离子导向孔分割策略能提高气体的分离与储存性能,结合一系列实验表征与理论计算结果证明,利用阴离子孔分割的ZNU-12能用于实现高效的C2H2/CO2和C2H2/CO2/CH4分离。
ZNU-12是由Cu2+、四齿配体、SiF62-为分割剂构筑的金属有机框架(图1a, 1b)。该框架含有三个不同的笼(1c),其中四面体小笼的尺寸约4 Å,两个阴离子的F原子能与C2H2(3.3 Å)中的H原子形成“2 + 2”协同氢键将C2H2牢牢捕获(图1d)。在中笼中,C2H2分子可以通过 “1 + 1 "氢键协同作用,以端对端构型吸附在其中(图1e)。且在大笼中,由于SiF62-的存在,也为C2H2提供充足的吸附位点(图1f)。与传统的仅含有无机单元作为结合位点的孔分割MOF相比,ZNU-12具有多个无机氟化结合位点和多种笼状孔,有望实现更高的C2H2吸附容量和高C2H2/CO2选择性。

图1 ZNU-12的单晶结构
77 K下N2吸附等温线呈现出典型的I型曲线,表征了ZNU-12的微孔行为,孔尺寸分布从6.5到12 Å,说明其具有超微孔和微孔。计算得到的BET比表面积为1437 m2g−1并且孔容为0.535 cm3g−1。在298 K和100 kPa下,C2H2吸附容量为176.5 cm3g−1,是CO2 (97.0cm3g−1)的1.82倍, CH4(14.4 cm3g−1)的12.3倍。还测定了ZNU-12对C2H2和CO2的动力学吸附曲线。利用微孔扩散模型对数据进行分析,得出动力学选择性为2.9,这有利于进一步促进C2H2/CO2的分离。计算的C2H2的动力学扩散常数为0.0132 s-1。在298 K和1.0 bar下,ZNU-12对C2H2/CO2 (50/50,v/v)的选择性为13.4,C2H2/CH4(50/50,v/v)的选择性为233.5。计算ZNU-12对C2H2、CO2、CH4的Qst分别为36.1、31.9和17.4 kJ·mol-1。这种适中的Qst值可确保优先吸附C2H2,并易于ZNU-12在环境条件下再生。

图2 ZNU-12的气体吸附行为研究
比较了ZNU-12和其他孔分割MOF以及其他基准材料的C2H2/CO2选择性和吸附性能(图3a, 3b), ZNU-12是目前唯一一个吸附剂实现C2H2吸附容量在298 K下超过170 cm3 g−1和C2H2/CO2选择性超过12的材料。此外,ZNU-12的C2H2/CH4选择性也超过大多数报道的基准材料(图3c)。

图3 ZNU-12与不同材料的吸附性能对比
为了观察C2H2在框架中的结合位点,本文进行了DFT计算。理论计算揭示了C2H2分子在框架中有三个结合位点,且优先结合位点位于小笼中,C2H2被“2 + 2”协同氢键捕获,结合能为-72.2 kJ mol-1 (图4a)。第二个位点位于中笼中,C2H2分子与两个SiF62-通过氢键相互作用(图4b),在大笼中也存在C2H2的作用位点(图4c)。对于CO2和CH4来说,也存在三个不同的结合位点。在小笼中,CO2与SiF62-通过静电作用力相互作用 (图4d),结合能为-49.4 kJ mol-1。对CH4来说,展示了更长的F···H距离,结合能为-23.1 kJ mol-1。为了对比,作者还总结了三种气体在三个不同结合位点的结合能 (图4e)。可以发现,不论是在哪个笼中,结合能都遵循C2H2> CO2 > CH4的趋势。小笼主要是提高C2H2选择性,其他的大笼则是增强了C2H2吸附容量。

图4 ZNU-12的DFT模拟计算
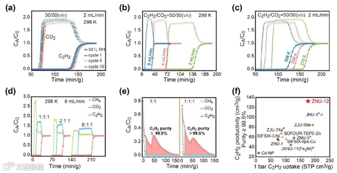
为了验证ZNU-12对C2H2/CO2和C2H2/CO2/CH4的实际分离性能,进行了动态穿透实验。图5a是ZNU-12对C2H2/CO2(v/v = 50/50)混合物的12次循环穿透测试,其中10次是干燥条件下,2次是在湿度条件下进行的。计算出的C2H2平均动态容量为146.3 cm3 g−1。此外,还进行了不同流速(图5b)和不同温度下的动态穿透实验(图5c),所有实验都揭示了ZNU-12有高效的C2H2/CO2实际分离性能。此外,ZNU-12也展示了其能在不同比例下从三元混合物C2H2/CO2/CH4分离C2H2(图5d),计算得到的C2H2的动态捕获容量分别为125.8 (1:1:1)、116.0 (1:1:2)和88.9 (1:1:8) cm3 g−1。由于在C2H2/CO2和C2H2/CO2/CH4分离体系中,C2H2作为目标组分存在,所以需要在固定床中通过变压吸附过程回收C2H2。我们通过穿透解析曲线计算了C2H2的回收量以及纯度。在C2H2/CO2中,我们能回收132.7 cm3 g−1的C2H2,且纯度大于99.5%,此回收量是大于所报道的多孔材料(图5f)。在C2H2/CO2/CH4(1/1/1, 1/1/2和1/1/8)混合物中,大于99.5%纯度的C2H2动态捕获容量为105.9、98.8, 和80.0 cm3 g−1。其中回收率为 84.2%、 85.2%和90.0%。

图5 ZNU-12的动态穿透实验
本工作报道了一种由阴离子孔分割的金属有机框架材料用于实现高效的C2H2/CO2和C2H2/CO2/CH4分离。ZNU-12还是唯一在室温条件下实现C2H2吸附容量超过170 cm3 g−1且C2H2/CO2选择性超过12的MOF材料,为克服吸附容量和选择性的博弈效应提供了重大意义。该工作发现强化阴离子导向孔分割策略能提高气体的分离与储存性能。
张袁斌,浙江师范大学化材学院“双龙学者”特聘教授,博士生导师。主要从事离子功能化多孔晶态框架材料的设计合成及其在吸附分离领域的相关应用。迄今为止,以第一/通讯作者在化学、化工、材料领域权威杂志共发表学术论文40余篇,包括J. Am. Chem. Soc.、Angew. Chem. Int. Ed.(6)、Nat. Commun.、Adv. Mater.、Adv. Funct. Mater.、Chem. Sci.(2)等。申请发明专利8件,已授权4件;主持国家自然科学基金委面上项目、青年项目(已结题)等项目6项。任Chinese Journal of Structural Chemistry青年编委、浙江省药学会第一届制药工程专业委员会青年分委委员、中国化学会、中国化工学会、中国晶体学会、中国微米纳米技术学会会员以及ACS、RSC、Elsevier、Spring Nature等出版社几十种期刊独立审稿人。获英国皇家化学会无机化学前沿新锐科学家。
课题组主页https://www.x-mol.com/groups/zhang_yuanbin
欢迎关注我们,订阅更多最新消息
“邃瞳科学云”推出专业的自然科学直播服务啦!不仅直播团队专业,直播画面出色,而且传播渠道多,宣传效果佳。
“邃瞳科学云"平台正在收集、整理各类学术会议信息,欢迎学会、期刊、会议组织方择优在邃瞳平台上进行线上直播,希望藉此帮助广大科研人员跨越时空的限制,实现自由、畅通地交流互动。欢迎老师同学们提供会议信息(会有礼品赠送),学会、期刊、会议组织方商谈合作,均请联系潘经理:18612651915(微信同)。
投稿、荐稿、爆料:Editor@scisight.cn