

近期,中科大宋礼教授联合中科院赣江创新研究院陈庆军课题组借助焦耳加热的方法巧妙地设计了一类具有多种不对称活性单元的高熵金属硒化物(HEMS),有效地克服了多种金属元素之间的互不混溶特性。结合同步辐射吸收光谱、Operando红外光谱以及DFT计算验证了高熵金属硒化物中的不对称活性单元激活水氧化反应的机制。令人印象深刻的是,使用HEMS||Pt/C作为阳极||阴极催化剂组装的AEMWE在2.4 V电压下达到了1.5 A·cm-2的高电流密度,并且在0.5 A·cm-2以及60℃下工作超过100小时,表现出卓越的长期耐用性,进一步证明了其在电解水领域的巨大应用潜力。相关研究结果以“Asymmetric active sites originate from high entropy metal selenides by joule heating to boost electrocatalytic water oxidation”为题发表于期刊Joule上。

高熵材料(HEMs)作为析氧反应(OER)催化剂,在电催化水氧化反应中展示出巨大的潜力,这得益于它们多活性中心和非凡的结构耐久性。然而,由于高熵纳米催化剂中多种金属元素的互不混溶特性以及复杂的原子构型和具有相似电子结构的元素存在导致其在精准合成以及真实活性位点鉴别方面存在巨大的挑战,这严重阻碍了进一步将HEMs作为OER催化剂的全面探索和精细设计的进程。基于此,宋礼教授课题组长期开展同步辐射技术及应用研究,积极发展多谱学联用手段(SR-FTIR光谱、SRPES深度探测和Δ-XAFS分析等)用于监测高熵催化剂在实际服役过程中的真实状态,旨在为理性设计高效耐久的高熵催化剂提供理论依据和实验支持。

图2. 高熵纳米催化剂的合成以及微观结构表征。
利用快速焦耳加热法一步制备了纳米级的高熵金属硒化。借助X射线衍射(XRD)以及像差矫正环形暗场扫描透射电子显微镜(HAADF-STEM)等表征手段揭示了高熵金属硒化物具有单一的六方相结构。

图3. 高熵金属硒化物的同步辐射X射线吸收光谱。
随后,对高熵金属硒化物中的多种金属的K边进行分析,结果表明,高熵硒化物催化剂中的金属呈现高于金属态,低于对应金属氧化物的价态,且其配位环境明显不同于金属或者氧化物。后续的FT-EXAFS拟合结果表明,高熵金属硒化物中的金属均只存在金属-硒的配位环境,进一步证明了高熵金属硒化物的成功制备。

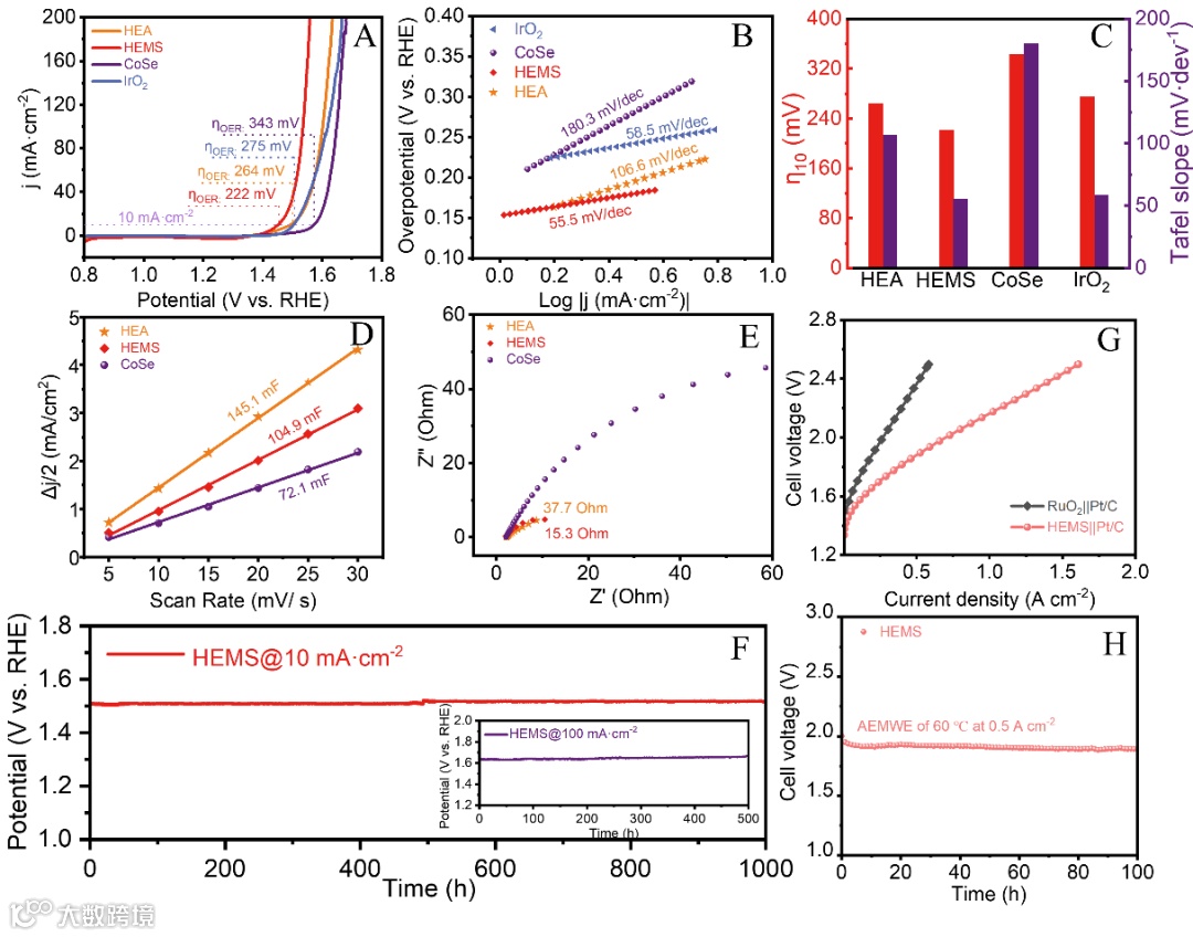
图4. 碱性OER三电极及电解槽性能评估。
与单一的CoSe相比,高熵金属硒化物表现出更优的OER本征活性以及长期的稳定性。进一步将HEMS||Pt/C作为阳极||阴极催化剂组装的AEMWE在2.4 V电压下达到了1.5 A·cm-2的高电流密度,并且在0.5 A·cm-2以及60℃下工作超过100小时,表现出卓越的长期耐用性,进一步证明了其在电解水领域的巨大应用潜力。

图5. HEMS的OER稳定性机制研究。
借助透射电子显微镜以及软X射线光谱表明了HEMS催化剂在稳定性测试之后催化剂的显微形貌以及结构变化不大,DFT计算的结果进一步表明高熵化之后金属的溶出变得更为困难,为催化剂提供了强健的晶体结构。

图6. 高熵纳米催化剂在OER过程的原位以及准原位表征。
系统的光谱和电化学分析已经证实了HEMS的高熵结构具有更好的OER性能。为了阐明HEMS在OER中的机制,进一步设计了准原位的XAFS和原位衰减全反射红外光谱(ATR-IR)实验。准原位XAFS的结果表明,在OER过程中,Co、Ni、Cu位点的局部配位结构发生了重新排列,这是由于氧物种在金属位点上的吸附所致。此外,这些金属K边的XAFS光谱上没有严重的变化进一步揭示了结构的耐久性。根据原位红外光谱的结果,对于HEMS和CoSe,在OER过程中,O*吸附物种迅速积累,而*OOH被大量消耗,这是由于在OER反应过程中*OOH形成缓慢,而O*的形成是一个有利的过程。

图7. OER过程的理论计算分析。
为了进一步鉴定HEMS中的真实活性位点以及多元素混合引起的协同效应对催化活性的促进作用,我们对HEMS和CoSe催化剂的不同金属活性位点进行了DFT计算。如图7A所示,在CoSe中,Co-Co-Co位点在引入高熵原子后遭受了不同程度的畸变。这种现象表明活性位点之间的电子重新分布。如图7B所示,*OH和*O的形成是一个自发的过程,并且随后形成*OOH是一个放热反应。此外,*OOH的形成显示出最大的自由能变化,表明*OOH的生成是OER过程的速率决定步骤(RDS)。由于引入高熵原子到CoSe晶格中,尤其是在Ni-Co-Cu非对称活性位点上,HEMS结构的RDS能垒显著降低。图7C和7D描述了CoSe和HEMS都显示出金属特征,这是由于费米能级附近存在丰富的电子。HEMS中的投影态密度(PDOS)证实了Se原子的p轨道和TM原子的d轨道之间的强相互作用,这有利于提高HEMS结构的稳定性。基于d带中心理论,中间体的p轨道与金属活性位点的d轨道之间的相互作用是通过吸附物靠近材料表面的方式被电子驱动的,从而导致能级分裂。吸附物与催化剂之间的相互作用是由能级分裂引起的反键轨道位置决定的。在HEMS中,混合金属之间的电负性差异触发了明显的电子转移并调节了d带能级。较少的吸附物反键态被拉到费米能级以下,证实了吸附物和金属原子之间的弱相互作用(图7E)。因此,引入高熵原子有利于调节OER过程中的中间体吸附。为了深入探索由活性单元的不对称性驱动的OER过程的潜在反应机制,我们研究了不对称单元的键长与OER过程决速步能垒(ηOER)或O物种吸附自由能(ΔGO)之间的关系。如图7F所示,根据OER过程中的自由能变化(图7B),得出了ηOER和ΔGO之间的线性关系,表明通过调控吸附物和催化剂之间的相互作用可以实现增强的OER性能。不对称单元的键长与ΔGO、ηOER之间的火山关系(图7G和7H)表明,与对称单元相比,不对称单元更靠近火山曲线的顶部。通过调节不对称单元的键长,可以调节含氧中间体与催化剂表面之间的相互作用,进一步降低反应能垒并加速反应动力学。这些结果证明了活性单元的配位结构的合理设计可以控制中间体物种与催化剂之间的相互作用,并进一步实现非凡的OER活性。
该研究利用焦耳加热的方法通过一步法制备了一系列具有单一相结构的高熵金属硒化物纳米催化剂。HEMS催化剂在2.4 V下达到了1.5 A·cm-2的高电流密度,并在0.5 A·cm-2的电流密度60 ℃下在AEMWE中运行了100小时。多种(准)原位技术以及密度泛函理论DFT计算表明,通过优化高熵纳米催化剂中不对称活性单元的键长可以调节催化剂与反应中间体之间的相互作用,进而优化OER性能。该研究发现拓宽了提高OER催化活性和AEMWEs实用性能的途径,而新的原位方法应用则为解决能源催化反应领域相关问题提供了多种可能性。
宋礼教授课题组主页: https://faculty.ustc.edu.cn/songli/en/index.htm
陈庆军,中国科学院赣江创新研究院研究员,博士生导师,国家重点研发计划首席科学家、中国科学院引才计划入选者、江西省杰出青年科学基金获得者、江西省双千计划创新领军人才(青年)。2012年于华东理工大学获得博士学位。毕业后于中国科学院上海高等研究院担任助理研究员。2013年至2021年,先后在日本富山大学、挪威科技大学、中国科学院过程工程研究所从事博士后和研究员工作。2021年加入中国科学院赣江创新研究院。研究方向为氢能和燃料电池关键材料与应用,主持国家重点研发计划、国家自然科学基金、中国科学院、北京市、江西省等国家和省部级科研项目二十余个,在Joule, Angew. Chem. Int. Ed., Energy Environ. Sci., Adv. Sci., ACS Catal.等期刊发表论文60余篇。
彭立山,中国科学院赣江创新研究院副研究员,入选中国科学院青年促进会会员和江西省双千计划创新领军人才(青年)。2019年于重庆大学获得博士学位,后在西湖大学、新西兰奥克兰大学和中国科学院理化技术研究所从事博士后研究工作。主要研究方向为水分解、氢燃料电池、金属空气电池等用于能量存储和转化的先进电催化剂的设计和理论研究,主持国家自然科学基金、中国科学院等项目多项,在Angew. Chem., Adv. Mater., Adv. Energy Mater., ACS Catal.,Adv. Sci.等期刊发表论文70余篇,h指数为33,总被引4000余次。
声明
“邃瞳科学云”直播服务
扫描二维码下载
邃瞳科学云APP

