
第一作者:刘婷,熊锦绮
通讯作者:毛善俊,王勇
通讯单位:浙江大学
论文DOI:10.1021/acscatal.3c05466
大乙烯流下痕量乙炔半加氢反应是一个重要的工业过程,铜基催化剂是实现该过程中贵金属Pd催化剂替代或减量的最重要的选项之一。然而,该催化剂一直面临严重的聚合和加氢副反应导致的活性、选择性和稳定性问题。在此,本工作从反应微区过程强化角度出发,提出疏水改性的表面富集策略,使用十六烷基三甲氧基硅烷对Cu2O催化剂进行表面修饰,富集气流中剩余的微量乙炔,从而避免了在完全转化条件下由于传质受限而需要的额外温升。反应温度的降低和Cu表面固载疏水链的空间位阻共同作用使加氢和偶联副反应降低66%,从而在未对Cu催化剂的活性组分进行优化的前提下,就实现了乙炔完全转化时84%的选择性(80%转化率时选择性93%)和>120 h的稳定性。
气相大乙烯流下痕量乙炔的选择性加氢对于乙烯下游聚合产品的生产具有重要意义。传统的Pd催化剂由于对氢气的活化能力较强,很容易会将进料的乙烯原料气深度加氢成乙烷造成损失,同时其在反应过程中也存在大量的偶联副反应,产生“绿油”覆盖在催化剂表面降低其活性与稳定性。工业界常用的解决方案是掺入Ag、Zn等惰性金属来分隔连续的Pd位点,同时通过电子结构调控削弱乙烯的吸附,但由于受到能量线性标度关系的限制,这同时会显著降低Pd对乙炔的加氢活性。非贵金属Cu基催化剂具有乙烯加氢能力弱的天然优势,受到众多研究人员的青睐。但Cu基催化剂由于加氢活性较弱、较高的反应温度和Cu位点优异的C-C偶联活性使其面临着严重的聚合偶联副反应,积碳严重,稳定性差。因此,如何抑制聚合偶联副反应是解决该问题的核心。在极低乙炔浓度条件下,活性位点周围反应微区的有限扩散对催化性能的影响往往被忽视。针对该反应扩散受限的特点,研究团队认为,通过强化反应微区传质消除额外温升并构建表面碳物种的迁移位阻降低偶联几率,有望解决Cu基催化剂面临的聚合偶联副反应难题,为气相大乙烯流下痕量乙炔高效半加氢催化剂的设计提供一种通用策略。
1. 本工作通过在Cu2O表面修饰有机硅烷链,设计合成了疏水Cu2O-C16催化剂。基于相似相容原理,在活性位点反应微区富集乙炔分子,提高乙炔在催化剂上的局部浓度,强化微区反应传质,消除额外温升,提升加氢反应活性,降低反应温度。
2. 有机硅烷疏水链同时充当栅栏,打断催化剂表面连续Cu位点,构建迁移位阻,抑制表面碳物种偶联几率,提高催化剂的选择性与稳定性。
3. 证明表面碳化铜物种是氢气活化的主要位点,解离氢可以溢流至铜表面进行加氢,并通过乙炔/氢气混合气进行预处理优化Cu2O-C16催化剂的加氢活性。
在极低乙炔浓度条件下,金属表面周围反应微区的有限扩散对催化性能的影响往往被忽视。在高乙炔转化率条件下,很容易形成乙炔耗尽的反应微区。通常,人们倾向于提高反应温度以加速布朗运动,从而补偿由于活性位点表面和气相本体之间较低的浓度差而降低的扩散速率,如示意图1a所示。然而,较高的反应温度将不可避免地增强C-C偶联副反应,降低Cu催化剂的稳定性。克服这一问题的关键是扭转铜表面周围反应微区中乙炔的浓度梯度。本工作通过在Cu2O表面接枝长烷基链来引入疏水环境。基于相似相容原理实现长烷基链对乙炔的富集,增加了Cu2O表面附近乙炔的局部浓度,打破了扩散层中乙炔浓度差的限制,降低了完全转化所需的温升,从而降低了C-C偶联副反应的速率(示意图1b)。此外,长烷基链的接枝破坏了Cu位点的连续性,引入了迁移位阻,有望进一步抑制偶联副反应。

示意图1 反应过程中痕量乙炔在(a)未改性铜催化剂和(b)疏水链改性铜催化剂表面附近的浓度分布。
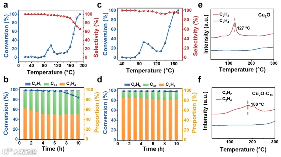
图1a为用水合肼还原合成Cu2O纳米颗粒的过程,所得到的Cu2O纳米颗粒表现出近似立方体的形态,尺寸约为100 nm(图1b)。高分辨率透射电子显微镜(HRTEM)显示其晶格间距为0.245 nm,对应于Cu2O的(111)面切面(图1c)。随后,用十六烷基三甲氧基硅烷(HDTMS)将烷基链接枝到Cu2O表面,产生疏水铜氧化物(Cu2O-C16)。X射线衍射(XRD)分析证实,与纯Cu2O相比,Cu2O-C16的晶相没有变化,表明烷基链主要影响催化剂的表面(图1d)。经过改性后,催化剂表面由于烷基链的存在而形成了~2 nm的无定形层(图1e)。水接触角(CA)测量证实了烷基链接枝的成功(图1f)。为了评价表面烷基链在反应条件下的稳定性,进行了热重分析(TG)。结果表明,表面改性的催化剂所适用的反应温度不超过200℃(图1g)。

图1 Cu2O和Cu2O-C16的结构表征。
图2a-d显示了Cu2O和Cu2O-C16在大乙烯流中乙炔选择性加氢过程中催化性能的比较分析。结果表明,改性后的C16烷基链大幅降低了C4+的含量,提高了乙烯选择性和半加氢活性。乙炔和乙烯的程序升温脱附(TPD)结果表明乙炔在Cu2O-C16表面的吸附得到增强(图2e-f),说明烷基链可选择性富集乙炔,增加其在Cu2O-C16表面的局部浓度,强化了反应传质,从而提高了乙炔的加氢反应活性。

图2 Cu2O(a, b, e)和Cu2O-C16 (c, d, f)的催化性能。
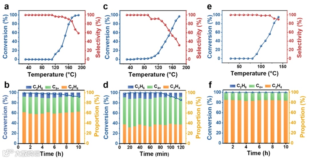
此外作者选择了极性氨基功能化硅烷作为对比催化剂,探讨了具有不同极性的改性链对Cu2O催化性能的影响(图3a)以及Cu2O-C16在不同H2/C2H2比例下的催化性能(图3b)。如图所示,选择性在较宽的H2/C2H2范围内保持较好,表明选择性对氢分压不敏感。当H2/C2H2比值为10:1时,Cu2O-C16对乙烯的最佳选择性约为84%。图3c-d为Cu2O-C16在完全转化(100%)和降低转化(80%)时乙炔半氢化过程中的扩展稳定性。这强调了表面改性在抑制焦炭形成方面的关键作用。

图3 应用扩展和催化剂稳定性。
为阐明图2a-b所示的两条动力学曲线中的现象,作者在乙炔和氢气的混合气体气氛下以及纯乙炔气氛下进行了氢化反应。结果表明,低温时催化剂表面的Cu+位点和乙炔反应形成乙炔铜(Cu2C2),随后在氢气氛中加热形成碳化铜(CuCx)。然后对Cu2O-C16催化剂进行了第二次套用,以研究CuCx的形成对催化性能的影响。如图4a所示,乙炔消耗在100 ℃附近的峰值消失,表明Cu+与乙炔完全反应得到CuCx(图4b)。对反应后的Cu2O-C16进行表征,CA测量结果(图4c)显示,反应前后催化剂的接触角没有明显变化。透射电镜分析显示Cu2O-C16的粒径从最初的100 nm减少到约20nm(图4d)。HRTEM图像显示了金属Cu和CuCx的晶格条纹(图4e)。EDX图谱(图4f)显示,Cu2O-C16中氧信号和碳信号显著降低。XRD分析(图4g)进一步证实了Cu2O向Cu和CuCx的转换。利用x射线光电子能谱(XPS)研究了Cu2O-C16反应后的电子结构变化(图4h、4i)。表明反应后催化剂表面Cu元素主要以Cu+/Cu0的形式存在,进一步分析其俄歇谱可以发现其组成主要为Cu+。

图4 Cu2O-C16的催化性能和结构表征。
在不同的气氛下进行了一系列的预处理实验,确定了乙炔半加氢的真实活性相。当预处理气氛改变为氢和乙炔的混合物时,所得到的Cu2O-C16-H2/C2H2催化剂显示出增强的活性,表明CuCx在加氢过程中起到了关键作用。

图5 Cu2O-C16在预处理后的催化性能。H2(a、b)、C2H2(c、d)H2/C2H2(e、f)。
基于上述发现,提出了一个合理的机制:在Cu2O-C16的加氢过程中,乙炔与表面Cu+相互作用生成Cu2C2,随后在氢气氛中发生歧化为CuCx和Cu。如图6所示,活化的H*从CuCx迁移到Cu位点,参与乙炔的半加氢。此外,烷基链作为一个“疏水屏障”,产生空间位阻,在催化表面分离连续的Cu位点。这种效应减少了偶联反应,从而提高了对乙烯的稳定性和选择性。

图6 Cu2O-C16上炔的半加氢反应示意图。
综上所述,作者提出了一种提高Cu基催化剂在过量的乙烯中乙炔半加氢反应性能的普适性策略。通过在Cu2O表面固载疏水烷基链,有效富集了催化剂表面活性位点反应微区的乙炔,提高了局部浓度,强化了反应传质,降低了反应温度,抑制了偶联副反应。此外,这种表面改性策略还通过构建空间位阻进一步降低了偶联副反应速率,提高了催化剂的长期稳定性。表征结果表明,催化剂在加氢过程中由Cu2O转变为Cu和CuCx。CuCx负责H2的解离,而金属Cu作为乙炔加氢的活性位点。混合H2/C2H2预处理的Cu2O-C16催化剂在140 ℃下可完全转化乙炔,乙烯选择性84%,稳定性超过120小时。本文提出的疏水修饰策略有望进一步提高现有报道Cu基催化剂的乙炔半加氢性能。
Liu, T.; Xiong, J.; Luo, Q.; Mao, S.; Wang, Y. Hydrophobic Surface Modification of Cu-Based Catalysts for Enhanced Semihydrogenation of Acetylene in Excess Ethylene. ACS Catal. 2024, 14, 5838–5846.
刘婷,浙江大学化学系王勇教授课题组硕士研究生,研究方向为催化加氢。
熊锦绮,浙江大学化学系王勇教授课题组硕士,研究方向为催化加氢。
王勇,浙江大学化学系求是特聘教授,博士生导师,催化研究所所长。国家重点研发计划项目首席科学家,中组部“万人计划”青年拔尖人才、国家优秀青年基金及杰出青年基金获得者。荣获第九届中国催化青年奖、侯德榜化工科技-创新奖等荣誉。王勇教授课题组致力于工业催化剂的研发,特别是基于多孔炭及金属氧化物的负载型纳米金属催化剂的开发及相关反应机理的研究,所研发的多个催化剂在工业上得到应用,产生了显著的经济和社会效益。在Chem, J. Am. Chem. Soc., Nat. Commun等期刊上发表SCI论文170余篇,被引用2.3万余次,H-index 66。获授权国家发明专利50余件。研究成果荣获中国专利金奖、中国石油与化学工业联合会“发明特等奖”、浙江省科学技术奖“发明一等奖”及“自然科学一等奖”等奖项。
毛善俊,浙江大学化学系副研究员。从事多相催化的实验与理论计算研究,聚焦选择性加氢、氢甲酰化以及塑料回收利用等方面的过程控制、构效关系研究以及新路线开发。目前已在Ind. Eng. Chem. Res., Chem, J. Am. Chem. Soc., Angew. Chem. Int. Ed., Nat. Commun.等期刊发表论文50余篇,被引3700余次,获授权发明专利15件,H-index 32。承担和参与国家和省部级项4项。申请人参与开发的高效加氢催化剂成功实现无铅、无有机助剂炔醇半加氢工业应用。研究成果荣获浙江省科学技术奖“发明一等奖”(2/6)及“自然科学一等奖”(5/5)、中国石油与化学工业联合会“发明特等奖”(4/30)、中国专利金奖(5/9)、浙江省首届知识产权奖“专利一等奖”(2/3)等奖励。
课题组主页:http://www.chemwy.cn/index.php
欢迎关注我们,订阅更多最新消息
“邃瞳科学云”推出专业的自然科学直播服务啦!不仅直播团队专业,直播画面出色,而且传播渠道多,宣传效果佳。
“邃瞳科学云"平台正在收集、整理各类学术会议信息,欢迎学会、期刊、会议组织方择优在邃瞳平台上进行线上直播,希望藉此帮助广大科研人员跨越时空的限制,实现自由、畅通地交流互动。欢迎老师同学们提供会议信息(会有礼品赠送),学会、期刊、会议组织方商谈合作,均请联系潘经理:18612651915(微信同)。
投稿、荐稿、爆料:Editor@scisight.cn