
一种用于低Pt质子交换膜燃料电池中的高吸湿性、弱吸附及过氧化物清除性离聚物
第一作者:朱福龙
通讯作者:陈胜利*
单位:武汉大学
质子交换膜燃料电池(PEMFC)具有行驶里程长、充电时间短、零污染物排放等优点,在重型车辆的动力系统中有着广阔的应用前景。目前,在质子交换膜燃料电池催化层(CL)中通常使用全氟磺酸(PFSA)离聚物作为粘结剂和质子导体。为了形成良好的质子传输通道,燃料电池必须充分加湿,促进侧链中的磺酸基中质子完全解离,并且使离聚物的亲水离子域彼此相互连通,以实现PEMFC输出更高的功率密度。然而,重型车辆中PEMFC的加湿过程增加了系统的复杂性、体积和成本。除此之外,PFSA离聚物在Pt表面的吸附作用使得离聚物在催化剂表面形成致密的结晶层,阻碍氧气的渗透,增大了局域氧传输阻抗。同时,长期耐久性一直是燃料电池面临的最重要的挑战。因此,我们开发了一种高保湿性、弱吸附及过氧化物清除性离聚物,其对于降低燃料电池成本、提升电池输出性能以及耐久性具有重要的意义。这项工作为燃料电池阴极催化层中离聚物材料的开发提供了一种新的研究视角。
近日,来自武汉大学的陈胜利教授在国际知名期刊Advanced Functional Materials上发表题为“A Highly Hygroscopic, Weakly Adsorbable, and Peroxide Scavenging Ionomer for Low-Pt Proton Exchange Membrane Fuel Cells”的文章。本文报道了一种由高亲水性杂多酸共价修饰在全氟树脂侧链上的策略,解决燃料电池在低湿度下的输出性能差和长期耐久性问题。该离聚物展现出优异的相分离结构,为质子提供传输通道。同时,离聚物在Pt表面的吸附较弱,释放了更多催化剂反应活性位点,提高了燃料电池输出性能。

图1. 阴极催化层中质子和氧气在多酸基离聚物中的传输机理示意图;以及离聚物在MEA中的燃料电池输出性能。
要点一:新型离聚物分子的设计
这项工作介绍了一种离聚物策略来解决低湿度下质子传导和氧气渗透的问题。多金属氧酸盐(POM)是一种亚纳米级的阴离子团簇,具有多个负电荷,且末端氧原子为质子提供跳跃位点。这种结构特征使它们不仅具有强酸性,携带更多易解离和高迁移性的质子,同时具有很强的吸湿性。因此,我们通过亲核取代反应将Anderson型多金属氧酸盐[MnMo6O18(OH)6]3−共价接枝到全氟聚合物的侧链上,取代磺酸基作为质子载体,实现离聚物的保湿特性,降低燃料电池的运行湿度。

图2. PFSN-MnMo6-D离聚物合成示意图以及分子结构表征。
要点二:Pt/离聚物界面结构
众所周知,传统Nafion离聚物中磺酸基与醚键会共吸附在Pt表面,占据催化剂的反应活性位点,降低氧还原反应活性。在这项工作中,我们通过离聚物修饰的多晶Pt盘电极在三电极体系中进行电化学测试,正如图3所示,从CV曲线中可以看出,Pt-Nafion电极在0.18V附近有一对可逆的吸-脱附峰,这归因于磺酸基在Pt表面的吸附。而Pt-PFSN-MnMo6-D电极没有发生额外的法拉第电流响应,表明了PFSN-MnMo6-D具有弱吸附性质。从ORR曲线中可以观察到,Pt-PFSN-MnMo6-D电极的极限电流密度和半波电位均高于Pt-Nafion电极,暗示了氧气更容易通过PFSN-MnMo6-D渗透到Pt表面发生氧还原反应,这是因为PFSN-MnMo6-D离聚物的弱吸附性质,使其不易Pt表面形成致密的结晶层,从而提高了氧气渗透能力。

图3. 在三电极体系中,Pt、Pt-Nafion和Pt-PFSN-MnMo6-D电极的CV曲线和ORR极化曲线。
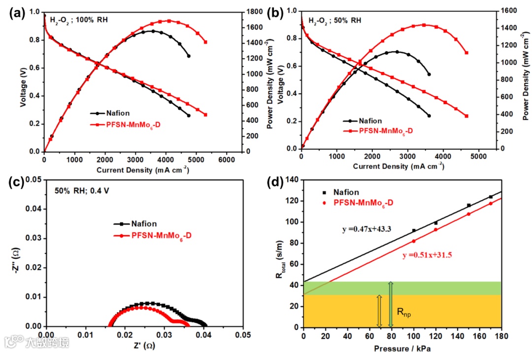
要点三:离聚物在MEA中的电化学性能
将离聚物作为阴极催化层粘结剂,组装成单电池进行电化学性能测试。正如图4所示,在100%RH下,由PFSN-MnMo6-D离聚物组装的MEA峰值功率密度接近1.7 W cm-1,高于Nafion离聚物MEA(约为1.55 W cm-1)。当相对湿度降低至50%RH时,由PFSN-MnMo6-D离聚物组装的MEA峰值功率密度远大于Nafion离聚物,且燃料电池的传质极化明显被改善。为了深入分析其原因,通过极限电流法测试了Rtotal与压强之间的关系曲线,其中与压强无关的阻抗被认为是局域传输阻抗(Rlocal)。从图4(d)中可以看出,PFSN-MnMo6-D离聚物MEA的Rlocal值为31.5 s m−1,低于Nafion离聚物(43.3 s m−1),这暗示着PFSN-MnMo6-D离聚物具有更高的氧气渗透性,为氧气渗透到催化剂表面提供有利条件。

图4. 含Nafion和PFSN-MnMo6-D离聚物MEA的燃料电池输出性能、电化学阻抗以及Rtotal与压强之间的关系曲线。
要点四:离聚物在MEA中的电化学稳定性
离聚物的电化学稳定性是燃料电池长期耐久性的一个重要因素。在燃料电池中,离聚物的降解是由自由基的进攻导致聚合物分子链的分解,其中自由基是由过渡金属Fe离子催化过氧化氢发生芬顿反应而形成。降低体系中过氧化氢浓度也是提高离聚物耐久性的一个关键因素。从图5(c)中可以看出,相比于Nafion离聚物,PFSN-MnMo6-D离聚物MEA在40 h后的电压衰减较小,这说明了PFSN-MnMo6-D离聚物具有更优异的电化学稳定性。为了探究PFSN-MnMo6-D离聚物电化学稳定性提高的机理,通过在三电极体系中的RRDE进行表征发现,PFSN-MnMo6-D@Pt/C电极的过氧化氢产率明显低于Nafion@Pt/C电极,这表明了PFSN-MnMo6-D离聚物中的MnMo6阴离子簇具有清除过氧化氢的能力,因此提高了PFSN-MnMo6-D离聚物的电化学稳定性。

图5. 含Nafion和PFSN-MnMo6-D离聚物MEA的燃料电池质子阻抗、ECSA值以及离聚物的电化学稳定性。
“A Highly Hygroscopic, Weakly Adsorbable, and Peroxide Scavenging Ionomer for Low-Pt Proton Exchange Membrane Fuel Cells”
https://onlinelibrary.wiley.com/doi/10.1002/adfm.202408118
陈胜利,武汉大学教授、博士生导师;分别于1991和1996年在武汉大学获学士和博士学位,随后在英国帝国理工学院化学系等从事博士后研究;长期从事能源电化学基础与材料研究,在 Nat. Catal.,J. Am. Chem. Soc.,Nat. Commun.,Adv. Mater.等期刊发表论文160余篇,作为主编之一出版《电催化》书籍;主持国家自然科学基金重点项目等;担任ACS Catalysis、ACS Electrochemistry、催化学报、电化学等期刊编委;获中国电化学青年奖。
欢迎关注我们,订阅更多最新消息
“邃瞳科学云”推出专业的自然科学直播服务啦!不仅直播团队专业,直播画面出色,而且传播渠道多,宣传效果佳。
“邃瞳科学云"平台正在收集、整理各类学术会议信息,欢迎学会、期刊、会议组织方择优在邃瞳平台上进行线上直播,希望藉此帮助广大科研人员跨越时空的限制,实现自由、畅通地交流互动。欢迎老师同学们提供会议信息(会有礼品赠送),学会、期刊、会议组织方商谈合作,均请联系潘经理:18612651915(微信同)。
投稿、荐稿、爆料:Editor@scisight.cn