第一作者:李铭洋
通讯作者:吴仕群、张金龙
通讯单位:华东理工大学
论文DOI:10.1021/jacs.4c04264
被誉为“人工光合作用”的光催化CO2还原反应,在催化学领域中被视为一个极具挑战的“圣杯”问题。这一反应只需太阳能和光催化剂的协助,便能将CO2和水转化为高附加值的碳氢燃料及工业原料,从而为缓解全球温室气体效应及实现碳中和目标提供了一个有效路径。
当前,大多数针对光催化CO2还原反应的研究集中于构建还原活性位点,而常忽略氧化半反应的关键作用。由于还原半反应与氧化半反应之间存在显著的反应动力学速率差异,这导致大量空穴的积累,进而加剧了光生载流子的复合,显著降低了CO2还原反应的效率。因此,构建有效的氧化活性位点对于提高CO2还原反应的效率至关重要。水氧化的活性位点与CO2还原位点在空间上近邻有利于质子氢之间的传递和转移,而空间近邻的氧化还原活性位点又面临着载流子易于复合的问题。
基于此张金龙教授团队将磁性元素Mn掺杂入Co3O4中,在构筑氧化位点的同时,成功诱导了e-的自旋极化效应。Mn位点选择性地对h+进行富集促进H2O氧化解离,而与其近邻的Co位点可捕获光生e-对CO2分子进行活化还原。通过DFT计算发现空间近邻的Mn和Co位点不仅促进了H+质子的有效传输,而且两个活性位点上发生的氧化半反应与还原半反应的协同作用显著降低了CO2的活化能。此外,Mn的掺杂诱导了催化剂系统的e-自旋极化,有效抑制了空间近邻的氧化位点与还原位点上的h+与e-发生复合。并且e-的自旋极化效应可通过施加外部磁场进一步放大。在空间近邻氧化还原位点协同效应以及e-自旋极化效应的共同作用下,Mn/Co3O4光催化CO2转化为CH4的产率可达到23.4 µmol g-1 h-1,相较于纯相Co3O4其效率提升了28.8倍。该研究首次引入自旋极化解决了空间近邻氧化还原位点的电荷复合问题,为协同氧化还原光催化系统的设计提供了新的见解。

图1 空间近邻的氧化还原位点协同自旋极化效应促进光催化CO2甲烷化转化示意图
光催化技术辅助的CO2资源化利用为促进碳中和,加速当下社会能源系统转型,脱离对化石燃料的依赖提供了一条绿色的可持续性策略。CH4是光催化CO2还原反应的优选产物之一,可作为很多化学品合成原料,具有较高的实用价值。尽管光催化CO2甲烷化对半导体CB电势要求不高,是一个热力学有利的过程,但是CH4的产率却受到了H+耦合e-转移缓慢的动力学过程限制。通常h+的迁移速率要比e-的迁移速率慢两到三个数量级,所以,光催化CO2还原反应过程中还原半反应与氧化半反应之间存在较大的反应动力学差异。缓慢的H2O氧化半反应速率造成大量h+的积累,使光生载流子更容易发生复合,从而导致较差的光催化CO2还原反应效率。此外,仅通过e-直接介导CO2分子还原生成*CO2-中间体,这一反应过程的发生较为困难,因为其需要克服较高的能垒(E = 1.9 V vs. NHE)。所以,CO2分子的活化还原往往还需要H+的辅助参与,将CO2转化为*COOH中间体,通过H+-e-偶联反应能够大大降低CO2还原过程的反应能垒,促进CO2活化。而参与CO2反应的H+只能通过H2O解离获取,因此,H2O氧化半反应的调控对于实现高效的光催化CO2还原反应十分关键,且对涉及到八个H+-e-偶联反应的CH4选择性生成尤为重要。
虽然氧化位点的构筑可以使光生载流子在从材料内部传输到表面的过程中发生定向迁移,但是氧化还原活性位点的空间关系与光生电荷复合存在矛盾关系。氧化还原活性位点在空间上距离较远不利于质子氢的转移,而近邻位点有利于质子氢的直接传递和转移,但这将加剧载流子在空间近邻活性位点处的复合。幸运的是,催化剂系统的e-自旋极化(SP)效应的调控已经被证明在抑制光生载流子的复合方面发挥着重要作用。在自旋极化系统中发生自旋翻转e-缺乏与其相应的h+复合,所以光生载流子的分离效率得到有效提升。调节催化剂的e-自旋极化有望解决空间近邻的氧化还原位点上的光生载流子易复合的问题。能够同时满足氧化半反应以及e-自旋极化调控的需求,是光催化剂的活性位点构筑所面临的巨大挑战。
1. 本工作通过简单的先共沉淀后煅烧的方法制备了具有六边形多孔片状结构的Mn 单原子(SAs)修饰的Co3O4光催化剂(Mn/Co3O4),构筑了空间近邻的氧化还原双活性位点,实现了高效光催化CO2甲烷化转化。
2. Mn作为氧化活性位点能够对h+进行有效富集,从而加速了H2O的氧化解离,而与其空间相邻的Co则作为还原活性位点促进CO2分子的吸附活化,所构建的空间相邻的Mn-O-Co氧化还原双活性位点不仅增强了CO2和H2O的协同吸附和活化,而且还引发了空间协同效应,显著降低了CO2光还原反应整体能量需求。
3. Mn诱导的e-自旋极化效应促进了光生载流子的分离,有效抑制了空间相邻的氧化还原位点上的h+与e-的复合,在外部磁场的作用下,自旋极化效应可以被进一步放大。
4. 本工作首次引入了自旋极化效应来解决空间相邻的氧化还原位点上电荷易发生复合问题,为设计具有协同效应的氧化还原光催化反应系统提供了新的思路。
通过先共沉淀再煅烧的两步合成工艺制备出了Mn掺杂的Co3O4纳米片。Mn/Co3O4样品中的Mn主要是通过取代CoO6八面体(CoOct)中心的Co3+进行掺杂。Mn/Co3O4的多孔结构可暴露更多的活性反应位点促进CO2光还原反应的发生。

图2 Co3O4以及Mn/Co3O4的合成以及基础表征
通过XAS测试对Mn的电子态以及局部配位环境进行分析,确认了Mn是以单原子形式取代CoOct中的Co3+掺杂入Co3O4中的。

图3 Co3O4和0.8-Mn/Co3O4样品的辐射测试以及MnOct取代CoOct的示意图
在不使用任何光敏剂以及牺牲剂的气-固体系中对所制备催化剂的CO2光还原反应活性进行评估。Mn 单原子的掺杂同时促进了CO2光还原反应活性以及CH4的选择性生成。磁性元素Mn的掺杂对半导体的e-自旋极化效应具有调制作用,能够促进e-的定向平行排列,通过施加外部磁场,Mn/Co3O4的自旋极化效应被进一步放大,其CO2光还原反应活性以及产物的CH4选择性得到进一步提升。空白对照实验以及13C同位素标记实验排除了碳污染的存在,循环活性测试证实了所制备的催化剂在CO2光还原反应中具有较高的光稳定性以及优异的持久性。

图4 Co3O4和Mn/Co3O4样品的CO2光还原活性测试图
Mn的掺杂打破了自旋向上和自旋向下电荷分布平衡,从而诱导了明显的e- 自旋极化效应。且通过磁圆二色性(MCD)光谱测试再次证实Mn的掺杂导致催化剂本征自旋极化带的分裂。由于塞曼效应,在施加外部磁场后,Mn/Co3O4样品的带分裂可进一步放大,MCD信号进一步增强,自旋极化效应相应得到放大。相应地,Mn/Co3O4样品在外部磁场的影响下,表现出更强的光电流密度,与CO2光还原活性测试结果规律一致。自旋极化效应导致电荷自旋向上和自旋向下数量发生失配,光生载流子的分离率得到显著提升,Mn/Co3O4系列样品的CO2光还原反应动力学得到加速。

图5 自旋极化效应表征图
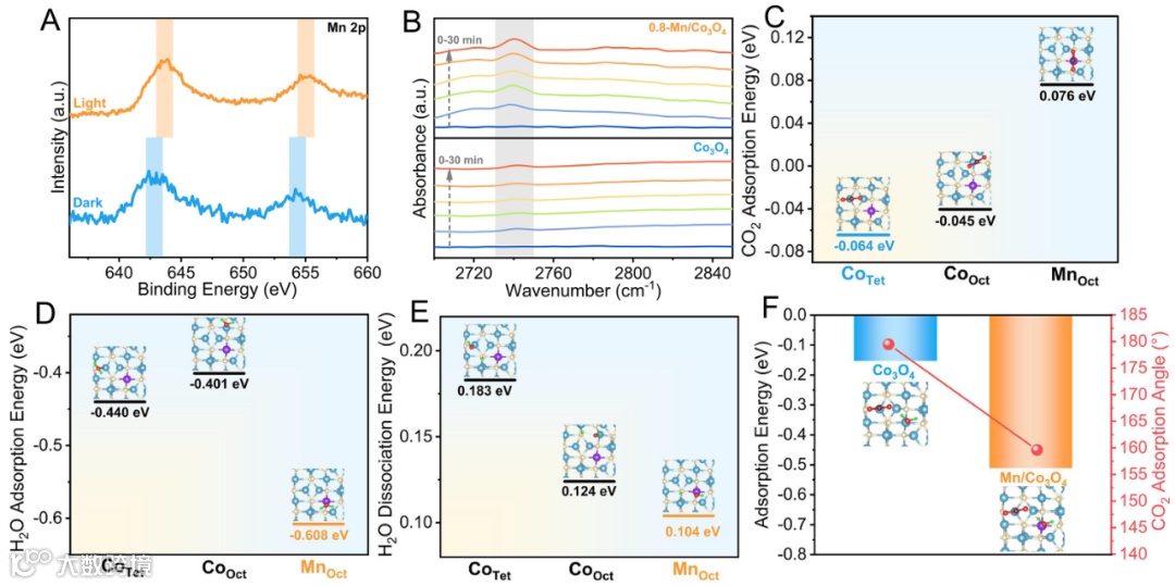
通过原位辐照XPS测试、D2O光解的原位FTIR测试以及一系列的DFT计算发现Co和Mn可分别作为还原活性位点以及氧化活性位点对CO2和H2O分子进行吸附活化。此外,Mn/Co3O4表面所吸附的H2O分子会对CO2分子的吸附活化产生显著影响,与Mn活性位点邻近的Co位点所吸附的CO2分子能够发生更大程度的活化。

图6 氧化活性位点的确定
通过DFT计算发现空间近邻的Mn和Co位点不仅促进了H+质子的有效传输,而且两个活性位点上发生的氧化半反应与还原半反应的协同作用显著降低了CO2的活化能,证明空间协同效应对CO2光还原反应的能量优化起到了积极作用。

图7 空间近邻氧化还原位点在CO2光还原反应中的协同效应
本工作通过简单的先共沉淀后煅烧的方法制备了具有六边形多孔片状结构的Mn 单原子掺杂的Co3O4光催化剂,构筑了空间相邻的氧化还原双活性位点,实现了高效光催化CO2甲烷化转化。Mn作为氧化活性位点能够对h+进行有效富集,从而加速了H2O的氧化解离,而与其空间相邻的Co则作为还原活性位点促进CO2分子的吸附活化,所构建的空间相邻的Mn-O-Co氧化还原双活性位点不仅增强了CO2和H2O的协同吸附和活化,而且还引发了空间协同效应,显著降低了CO2光还原反应整体能量需求。此外,Mn诱导的e- 自旋极化效应促进了光生载流子的分离,有效抑制了空间相邻的氧化还原位点上的h+与e-的复合,在外部磁场的作用下,自旋极化效应可以被进一步放大。本工作首次引入了自旋极化效应来解决空间相邻的氧化还原位点上电荷易发生复合问题,为设计具有协同效应的氧化还原光催化反应系统提供了新的思路。
原文链接:https://pubs.acs.org/doi/10.1021/jacs.4c04264
张金龙,2019年当选欧洲科学院院士(外籍);华东理工大学“汇贤学者”讲席教授、博士生导师。现任上海多介质环境催化与资源化工程技术研究中心主任;民盟第十三届中央委员、上海市第十六届人大代表、民盟华东理工大学委员会主委;张金龙教授于1985年和1993年在华东理工大学分别获得本科和博士学位,同年加入华东理工大学精细化工研究所。1996-2000年在日本大阪府立大学从事博士后研究(JSPS),并于2000年晋升为教授,博士生导师。主要研究领域为:(1) 高效光催化材料的设计与制备及在环境污染控制和能源领域中的应用;(2)有机功能染料的设计和合成;已在Chem. Rev.; Chem. Soc. Rev.; Nat. Comm.; Chem.; J. Am. Chem. Soc.; Angew Chem Int Ed; Nano Lett.等国际一流杂志上发表SCI论文550余篇,被引用46000余次,H因子为111 (Google)。连续9年入选Elsevier公布的2014-2023年度中国高被引学者,入选2018-2023年度科睿唯安“全球高被引科学家”(Highly Cited Researchers),国内全球学者库网站公布的“全球顶尖前10万科学家排名”中位列第3285位。获2017年度上海市自然科学奖一等奖;获2011年度工业和信息化部国防科学技术进步奖二等奖、2011年度中国核工业集团公司科学技术奖一等奖、 2008-2009 最高论文引用率奖、环境科学类杂志大陆最高引用率奖、并于2005年获得教育部提名国家科技二等奖,2005年度上海市科技进步三等奖。还获得了2001年度上海市第七届曙光学者称号,2004年度教育部新世纪优秀人才资助计划,2009年度上海市育才奖;2010年享受政府特殊津贴,2012年度上海市优秀学术带头人,2012年度获上海市领军人才称号,江苏省“双创人才”称号。参加和承担了国家973项目,863项目,国家自然科学基金,科技部国际合作项目和上海市纳米项目等。担任包括上海市稀土资源化利用重点实验室学术委员会主任,粒子输运与富集技术国防科技重点实验室第一届学术委员会委员,中国化工学会化工新材料专业委员会专家委员;日本大阪府立大学客座教授;国际杂志“Res. Chem. Intermed.”的副主编,“Scientific Reports”, “Applied Catalysis B: Enviromental”; “Dyes and Pigments”国际编委(2004-2011);“Inter. J. Photoenergy”客座主编;“J.Nanotechnology”客座编辑;“影像科学与光化学”编委。

吴仕群,华东理工大学特聘副研究员,研究方向为光催化材料的制备及其在气体小分子(CH4、CO2、N2)转化中的应用。目前以第一/共同通讯作者在J. Am. Chem. Soc., Chem, Adv. Mater., ACS Catal., Chem Catal.等国际期刊发表SCI论文20余篇,中科院一区论文11篇,1篇入选ESI高被引论文。入选全国博士后创新人才支持计划、2021年上海市超级博士后,获得全国博士后创新创业大赛优胜奖、2023中国国际大学生创新大赛国家级铜奖(第一指导教师)、第九届互联网+创新创业大赛上海市金奖(第一指导教师)。主持国家自然科学青年基金、博士后面上项目、上海市启明星培育“扬帆专项”项目。担任国际学术期刊Chemical Synthesis青年编辑部工作人员。
欢迎关注我们,订阅更多最新消息
“邃瞳科学云”推出专业的自然科学直播服务啦!不仅直播团队专业,直播画面出色,而且传播渠道多,宣传效果佳。
“邃瞳科学云"平台正在收集、整理各类学术会议信息,欢迎学会、期刊、会议组织方择优在邃瞳平台上进行线上直播,希望藉此帮助广大科研人员跨越时空的限制,实现自由、畅通地交流互动。欢迎老师同学们提供会议信息(会有礼品赠送),学会、期刊、会议组织方商谈合作,均请联系潘经理:18612651915(微信同)。
投稿、荐稿、爆料:Editor@scisight.cn