大数跨境
0
0

南京大学唐少春教授团队Inorganic Chemistry:设计三维网状氮掺杂碳纤维管内嵌双金属硒化物纳米珠促进钠电反应动力学

南京大学唐少春教授团队Inorganic Chemistry:设计三维网状氮掺杂碳纤维管内嵌双金属硒化物纳米珠促进钠电反应动力学 邃瞳科学云
2024-08-12
0
导读:全文速览南京大学唐少春教授团队设计制备了氮掺杂三维网状碳纤维管内嵌(NiCo)3Se4纳米结构,实现了钠离子电





全文速览
南京大学唐少春教授团队设计制备了氮掺杂三维网状碳纤维管内嵌(NiCo)3Se4纳米结构,实现了钠离子电池循环寿命的显著提升。三维网络状氮掺杂碳(N-C)具有高孔隙率和高电导率,碳纤维空心结构的限域作用使(NiCo)3Se4原位生长呈现珠状形貌、分布均匀,这不仅缩短了在(NiCo)3Se4表面发生电化学反应过程中离子的扩散路径,而且避免了其在充放电循环过程中的体积变化。动力学分析证实,这种独特结构的(NiCo)3Se4/N-C作为钠离子电池电极材料,Na+的赝电容存储机制占主导,电容贡献为总容量的89.2%,表现出较高的比容量(0.1 A g-1时为656.2 mAh g-1)和优异的倍率性能。相关成果以“In situ construction of (NiCo)3Se4 nanobeads embedded in N-doped carbon 3D interconnected networks for enhanced sodium storage”为题近日发表于国际知名期刊Inorganic Chemistry, 2024, DOI: 10.1021/acs.inorgchem.4c02052。南京大学现代工程与应用科学学院博士研究生周晓亚为论文第一作者,南京大学唐少春教授为该论文通讯作者。



背景介绍
电动/混合动力汽车的快速发展极大地推动了新能源技术的进步。锂资源的有限性使人们将目光投向了能够替代锂离子电池的储能方式。相比之下,钠离子电池(SIBs)因其丰富的钠储量和低成本而成为研究热点。然而,由于钠离子半径较大,动力学反应缓慢,导致钠离子电池的能量密度和循环寿命仍欠佳。因此,开发具有稳定框架结构实现Na+快速扩散的宿主材料具有重要的科学意义。

硒化物中金属-硒键在电化学转化过程中易断裂,有利于促进反应动力学,因此过渡金属硒化物被认为是一种有潜力的钠离子电极材料。然而,这类材料在循环过程中会发生体积膨胀,导致结构恶化,并降低循环稳定性和倍率性能。为了解决这些问题,改变成分和设计微纳米结构被认为是有效的策略。与单金属硒化物相比,双金属硒化物通过耦合和协同效应能够调节电子结构,从而展现出更高的电化学活性和良好的氧化还原可逆性。因此,开发具有独特微纳结构特征赋予其丰富活性位点、长效稳定电极材料是提升钠离子电池综合性能的关键。

针对以上问题,本研究提出利用高导电的3D互连网络结构碳纤维骨架为电子传输提供高速通道,并利用其丰富孔隙结构缩短Na+的扩散路径,尤其是,将高活性的纳米硒化物内嵌于3D网状碳纤维管内解决活性材料的分散及稳定性问题。该研究将为先进高性能钠离子电池负极材料的设计提供一种新的路径。



图文解析

图1. (NiCo)3Se4/N-C的制备流程及结构特征示意图。
如图1所示,通过静电纺丝获得包含Ni-Co前驱体的聚丙烯腈(PAN)纤维,然后在碳化形成氮掺杂碳空心纤维网状结构过程中,同步高温硒化原位生成的(NiCo)3Se4呈现珠状形态且均匀分布在碳纤维管的内部。这种独特结构的优势:碳材料三维导电网络缩短了电子和Na+的转移路径,加快了电子和离子的传输,使(NiCo)3Se4/N-C能够提供出众多活性位点,并有效避免了纳米活性颗粒的团聚,减轻了体积应力膨胀,增强了界面的能量存储能力。

图2. (a-d) (NiCo)3Se4/N-C的SEM、TEM、HRTEM、SAED图,(e)EDS-mapping元素分布成像图,(f)比表面积、孔体积及平均孔径分布统计以及对比情况。
通过扫描电子显微(SEM)分析,从图2a可以看出,产物为纳米纤维相互交连形成的三维网状结构,且空隙分布均匀。透射电子显微(TEM)分析结果(图2b),进一步揭示了每一根纳米纤维内部是空心的,且5-12 nm的纳米颗粒分布在空心腔内部,纤维直径和空心腔的尺寸不均匀,但纤维相互连接为一体。高度结晶的纳米粒子,其晶面间距为0.52 nm(图2c),这与晶体(NiCo)3Se4(200)晶面间距一致。元素mapping结果(图2e)表明,CoNiSeCN元素均匀分布在整个碳三维框架中。氮吸附-解吸等温线和比表面积分析结果表明(图2f),(NiCo)3Se4/N-C的比表面积高达205.56 m2 g-1,其远高于Co3Se4/N-CF的比表面积 (100.2 m2 g-1)和Ni3Se4/N-CF的比表面积 (109.36 m2 g-1)

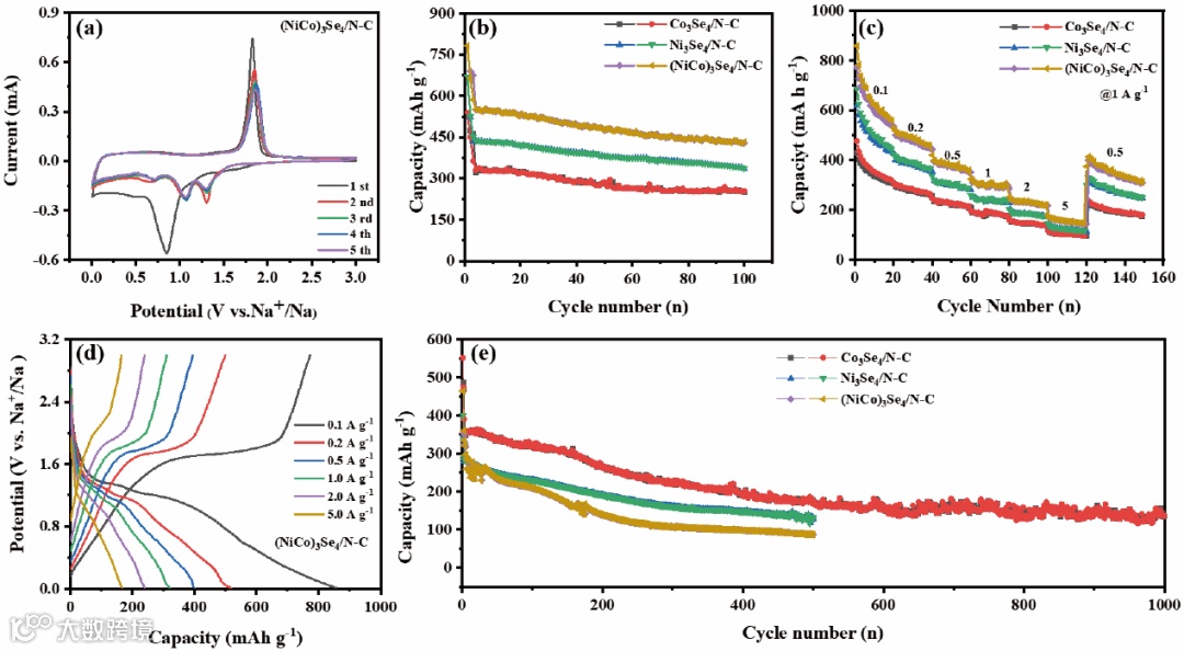
图3. (a) (NiCo)3Se4/N-C在0.1 mV s-1下的CV曲线, (b)0.2 A g-1下的循环性能和(c)速率性能, (d) NiCo3Se4/N-C的充放电曲线, (e)在1A g-1下的循环性能。
循环伏安(CV)测试结果(图3a)表明,初始循环中0.85 V处出现了一个明显的阴极峰,这是由于Na+嵌入到(NiCo)3Se4的晶格中并形成固体电解质界面(SEI)层。1.85 V处的阳极峰对应脱钠过程,从第三个循环开始CV曲线发生重叠。在0.2 A g-1电流密度下(图3b),(NiCo)3Se4/N-C经过100次充放电循环后的比容量为432.9 mAh g-1,表现出优异的循环稳定性。甚至在高电流密度1.0 A g-1下(图3e),(NiCo)3Se4/N-C经过1000次循环后可逆比容量仍为135.3 mAh g-1,进一步证实其良好的循环稳定性。这主要归因于,(NiCo)3Se4/N-C中纳米纤维的三维互连互通和碳纳米纤维中空腔对(NiCo)3Se4保护双重作用的结果。

图4. (a) Co3Se4/N-C, (b) Ni3Se4/N-C, (c) (NiCo)3Se4/N-C三种不同电极材料的循环伏安CV曲线, (d) v1/2 vs Ip曲线, (e)特征峰1(peak 1)对应的log i vs log v拟合线, (f)扩散控制过程和表面控制过程的贡献率, (g)不同扫描速率下赝电容贡献比。
4a-c为三种不同电极材料的循环伏安(CV)曲线。不同扫描速率下CV曲线形状相似,表明极化较小。与Co3Se4/N-C Ni3Se4/N-C相比,目标产物(NiCo)3Se4/N-CCV曲线包围面积最大,氧化还原特征峰最强。通过计算可知,(NiCo)3Se4/N-C的扩散系数最大(图4e),表明双金属硒化物组分间协同、三维多孔网络和碳限域结构促进了离子的扩散。随着扫描速率的增加,赝电容的贡献相应升高(图4g)。这是由于,随着离子迁移加速,离子通过扩散路径进入材料变得更困难,吸附行为变为主导。

图5. (a) Nyquist图, (b)三种样品的Rct比较, Nyquist图(d) Co3Se4/N-C, (e) Ni3Se4/N-C, (f) (NiCo)3Se4/N-C, (c, g) ω-1/2与Z的线性关系, (h)相对扩散系数对比。
Nyquist图展示了三种电极材料电阻的变化情况。其中,(NiCo)3Se4/N-C的电荷转移电阻值为266 Ω,低于纯Co3Se4/N-C500 Ω)和Ni3Se4/N-C605 Ω),如图5b所示,这表明电荷转移动力学得到了增强。Warburg阻抗是评价Na+扩散系数的关键参数,(NiCo)3Se4/N-C的扩散系数明显优于其它两种电极材料。即使在经过不同次数充放电循环后,该材料的扩散系数仍远高于其他两种(图5h)。



总结与展望
综上,本研究报道了一种氮掺杂三维网状碳纤维管内嵌(NiCo)3Se4纳米结构电极材料。三维导电空心纤维在促进离子/电子迁移和防止(NiCo)3Se4纳米颗粒聚集方面发挥了关键作用,有效减轻了Na+插入/提取过程中的体积膨胀。(NiCo)3Se4/N-C复合材料展现出优异的倍率性能和循环稳定性。该工作将高活性的纳米硒化物内嵌于3D网状碳纤维管内,有效解决了其分散和稳定性问题,对先进钠离子电池负极材料的设计、制备及应用具有重要指导意义和应用价值。



论文信息
Xiaoya Zhou, Xin Huang, Shufan He, Yezi Lu, Xiao Shen, and Shaochun Tang*, In Situ Construction of (NiCo)3Se4 Nanobeads Embedded in NDoped Carbon 3D Interconnected Networks for Enhanced Sodium Storage, Inorganic Chemistry, 2024,
DOI: 10.1021/acs.inorgchem.4c02052

声明

本文仅用于学术分享,如有侵权,请联系后台小编删除
欢迎关注我们,订阅更多最新消息

“邃瞳科学云”直播服务


“邃瞳科学云”推出专业的自然科学直播服务啦!不仅直播团队专业,直播画面出色,而且传播渠道多,宣传效果佳。
“邃瞳科学云"平台正在收集、整理各类学术会议信息,欢迎学会、期刊、会议组织方择优在邃瞳平台上进行线上直播,希望藉此帮助广大科研人员跨越时空的限制,实现自由、畅通地交流互动。欢迎老师同学们提供会议信息(会有礼品赠送),学会、期刊、会议组织方商谈合作,均请联系潘经理:18612651915(微信同)。


投稿、荐稿、爆料:Editor@scisight.cn

扫描二维码下载

邃瞳科学云APP

点分享
点收藏
点点赞
点在看

【声明】内容源于网络
0
0
邃瞳科学云
邃瞳科学云是一个百家争鸣的个性化学术传播平台。依托新媒体矩阵,小程序及APP等完整产品线,在开展专业性的学术活动的同时,还致力于科普教育和科学传播,更自由、重分享。 格物致知,光被遐荒。Meet Your Science!
内容 8582
粉丝 0
邃瞳科学云 邃瞳科学云是一个百家争鸣的个性化学术传播平台。依托新媒体矩阵,小程序及APP等完整产品线,在开展专业性的学术活动的同时,还致力于科普教育和科学传播,更自由、重分享。 格物致知,光被遐荒。Meet Your Science!
总阅读4.0k
粉丝0
内容8.6k