
第一作者:种亚楠
通讯作者:陈光需教授,丘勇才教授
通讯单位:华南理工大学环境与能源学院
论文DOI:10.1021/acscatal.4c01425
增强Pt基催化剂催化氧化VOC活性的关键在于提高催化剂上氧气和VOC分子的吸附和活化程度。本研究利用两步淬火法对铁锈进行回收改性,将Pt物种沉积在Sn掺杂的Fe2O3样品上得到催化剂Ptq/Snq:Fe2O3。实验和理论计算显示,两步淬火策略和Sn掺杂剂会促进材料表面氧空位的产生,从而提升Ptq/Snq:Fe2O3上氧物种的吸附和迁移能力。此外,Sn掺杂剂的引入能增强Fe2O3载体和Pt物种之间的相互作用,调节Pt的电子结构,促进甲苯吸附和CO产物解吸。因此,设计的Ptq/Snq:Fe2O3显示出增强的甲苯/丙酮氧化活性,分别在215 °C和228 °C达到了甲苯和丙酮的90%的矿化率。原位漫反射红外傅立叶变换光谱表明在Ptq/Snq:Fe2O3催化剂上,其表面氧空位和改性后的Pt物种共同增强了丙酮/甲苯的活化,加速了甲苯环芳烃的断裂和丙酮的完全氧化。该研究为调节催化过程中活性位点的结构提供了潜在途径。
Pt金属因其在VOCs催化氧化反应中独特的内在活性而受到广泛研究。设计合成经济高效的Pt基催化剂是至关重要且具有挑战性的,而Pt基催化剂的成本主要是由所负载的Pt量决定的。研究人员采取各种措施调节Pt的电子结构以提高Pt基催化剂的催化活性,通过改性氧化物载体与贵金属Pt之间的相互作用可显著改善催化剂的催化氧化活性。也就是说,调节载体的物化特性可改变催化剂中Pt的电子结构,进一步增强其催化活性。以前的研究表明铁氧化物的甲苯氧化能力低于Mn、Co和Ce基氧化物。同样地,与CeO2和Co3O4等负载的Pt基催化剂相比,FeOx负载的Pt基催化剂的甲苯催化氧化活性更差。因此,在甲苯氧化反应中,很少有研究关注FeOx负载的Pt基催化剂。但是,铁氧化物化学稳定性好,地壳含量丰富而且作为环境友好型催化剂,其作为载体负载Pt的催化剂用于甲苯催化氧化的活性应进一步提升,并对其机理进行深入研究。氧化物载体的物理化学性质对于氧化反应也起到重要的作用。淬火策略已被证明可有效改善氧化物催化剂的近表面区域。在潮湿的环境中,铁材料上会不可避免地形成了铁锈,其年产量接近总铁产量的四分之一。因此,对铁锈进行回收资源化,将其转变为Fe2O3氧化物载体是对环境有意义的。同时,通过异质原子掺杂和构筑氧空位可以对铁锈衍生的Fe2O3的表界面结构进行调控。
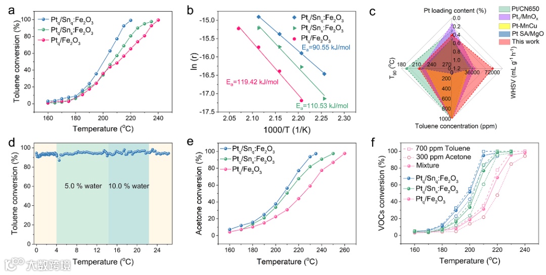
1. 采用了一种简便的两步淬火方法来改性铁锈,得到Sn掺杂的Fe2O3负载Pt物种的催化剂(Ptq/Snq:Fe2O3)。在甲苯浓度为1000 ppm和WHSV为72000 mL g-1 h-1的条件下,与Ptq/Fe2O3(T90 = 235 °C)和Ptq/Sns:Fe2O3(T90 = 225 °C)相比,设计合成的0.4 wt% Ptq/Snq:Fe2O3显示出更高的甲苯催化活性(T90 = 215 °C)。
2. 实验证明和理论计算结果表明,Ptq/Snq:Fe2O3样品上增加的氧空位和改性的Pt电子结构提升了其催化氧化活性。Sn掺杂剂和两步淬火方法有助于样品氧空位的产生,提高了氧物种在Ptq/Snq:Fe2O3上的吸附和迁移能力。Sn掺杂剂也会增强载体和Pt之间的相互作用,调节Pt的电子结构,促进甲苯和CO在催化剂上的吸附和脱附。
3. 此外,还对催化剂催化氧化丙酮和混合VOC的性能进行了研究,以证明这种改性策略的普适性。与Ptq/Fe2O3(T90 = 253 °C)和Ptq/Sns:Fe2O3(240 °C)相比,Ptq/Snq:Fe2O3显示出更高的丙酮和混合VOC氧化活性(T90 = 228°C)。
本文通过两步淬火方法对铁锈材料进行改性得到Ptq/Snq:Fe2O3催化剂(图1a),通过球差电镜表征可以看出Sn、Pt原子在Fe2O3表面的晶格掺杂和所负载的Pt团簇(图1b-d)。

图1 Ptq/Snq:Fe2O3的合成示意图和形貌表征
通过O 1s XPS图谱(图2a)和EPR图谱(图2c)可推出两步淬火所制得的Ptq/Snq:Fe2O3催化剂具有最高的氧空位浓度,这可归因于Sn掺杂剂的引入和两步淬火方法的使用。同时,通过分析图2d所示的Sn 3d XPS图谱,可以看出负载Pt物种后样品的Sn 3d峰有所偏移,说明Pt和Sn物种之间的电子转移。图2g的Pt L边的XANES谱图表示Sn掺杂Fe2O3的载体所负载的Pt物种具有更高的白线强度,也说明Pt和Sn物种之间的电子转移。同时Sn掺杂剂的引入导致Pt物种拥有更多的5d未占据轨道,这也可归因于Pt与Sn掺杂Fe2O3更强的金属载体相互作用。

图2 催化剂的光谱表征
通过分析甲苯氧化的Light-off曲线(图3a)、丙酮氧化的Light-off曲线(图3e)以及混合VOCs氧化的Light-off曲线(图3f),发现Ptq/Snq:Fe2O3在其中均显示出更优异的氧化活性。同时,Ptq/Snq:Fe2O3显示出可观的抗水稳定性(图3d)。

图3 催化剂的VOCs性能结果
根据O2-TPD(图4b)和甲苯-TPD(图4c)中峰位置和峰面积可推测出Ptq/Snq:Fe2O3拥有更高的O2和甲苯吸附容量。同时,Ptq/Snq:Fe2O3与反应物甲苯之间的吸附强度更强,这可归因于Sn掺杂剂和氧空位使得所负载的Pt d带中心上移(图4d)。

图4 催化剂的反应物吸附表征
通过对催化剂上甲苯、丙酮和混合VOCs氧化的原位红外结果分析,可以得出Ptq/Snq:Fe2O3样品上氧空位浓度的增加以及改性后的Pt物种协同增强了丙酮和甲苯的活化,加速了甲苯环的断裂和丙酮的深度氧化。

为了开发高效的Pt基催化剂用于VOCs催化氧化,我们采用了两步淬火方法来回收铁锈并在Sn4+掺杂的Fe2O3上沉积Pt物种。与Ptq/Fe2O3和Ptq/Sns:Fe2O3样品相比,Ptq/Snq:Fe2O3由于Sn4+掺杂和多步淬火过程而具有更多的氧空位。同时,Sn与Pt之间的电子转移增加了Pt物种在Ptq/Snq:Fe2O3上的氧化态,并增强了金属-载体相互作用,有利于CO的脱附。此外,Ptq/Snq:Fe2O3上更强的金属-载体相互作用和增加的氧空位浓度提升了其还原能力和对O2的吸附能力。Fe2O3上的Sn掺杂剂和氧空位还使得Ptq/Snq:Fe2O3上Pt物种的d带中心上移,增强了其对甲苯的吸附。因此,Ptq/Snq:Fe2O3在甲苯、丙酮和混合VOC的氧化反应中表现出更高的性能。原位DRIFTS光谱进一步证明了Ptq/Snq:Fe2O3上的氧空位和改性Pt物种共同促进了丙酮/甲苯的活化,并加速了甲苯的环裂解和丙酮的深度氧化。
种亚楠:华南理工大学陈光需丘勇才课题组博士研究生,研究方向为设计合成铁基催化剂用于挥发性有机污染物的催化降解。
陈光需:华南理工大学教授、博士生导师,博士毕业于厦门大学。研究方向为功能纳米材料的表界面精准调控。以第一/通讯作者在Science、Nature materials、ACS nano等SCI期刊上发表论文60余篇。
丘勇才:华南理工大学教授、博士生导师。研究方向为大气污染控制催化净化材料与装备。以第一/通讯作者在JACS、EES、EST等SCI期刊上发表论文100余篇,h因子60。
欢迎关注我们,订阅更多最新消息
“邃瞳科学云”推出专业的自然科学直播服务啦!不仅直播团队专业,直播画面出色,而且传播渠道多,宣传效果佳。
“邃瞳科学云"平台正在收集、整理各类学术会议信息,欢迎学会、期刊、会议组织方择优在邃瞳平台上进行线上直播,希望藉此帮助广大科研人员跨越时空的限制,实现自由、畅通地交流互动。欢迎老师同学们提供会议信息(会有礼品赠送),学会、期刊、会议组织方商谈合作,均请联系潘经理:18612651915(微信同)。
投稿、荐稿、爆料:Editor@scisight.cn