第一作者:程敬招,王往,张建军
通讯作者:曹少文研究员
通讯单位:武汉理工大学材料复合新技术国家重点实验室
论文DOI:10.1002/anie.202406310
光催化氧化还原水和O2制备H2O2是替代传统蒽醌氧化反应的可行方法。本工作通过C−H芳基化和Knoevenagel逐步聚合反应制备了共价键连接的给、受体型分子异质结光催化剂并用于可见光和无牺牲剂下H2O2的产生。研究表明缺电子的苯二噻吩-4,8-二酮与富电子的联苯和对苯二乙腈共聚后不仅拓展了π共轭体系,并且增大了偶极矩,这在很大程度上促进了载流子分离和传输。飞秒瞬态吸收光谱和理论计算也进一步表明异质结构中的C=C可作为电子快速转移的通道,促进更多的电子转移至还原中心,从而提高了光催化O2还原产生H2O2的活性。结合原位DRIFTS光谱表明,H2O2是由两步单电子氧还原过程产生的,并且C=O和C-OH之间的相互转换能进一步锚定H+,为后续质子耦合电子产生H2O2提供了充足的条件。
光催化产双氧水(H2O2)是一项具有重要意义的技术,因其环境友好性和较低的成本而备受关注。近年来,有机聚合物半导体被认为是光催化产H2O2最具前景的候选材料之一。相比于传统的无机半导体,有机聚合物半导体中多样的化学结构为调控能带结构和光学性质提供了充足条件,大量基于有机聚合物的研究包括共轭微孔聚合物、共价有机框架等广泛应用于太阳能驱动的光催化H2O2的制备。然而,由于有机半导体中激子结合能大的限制,大多数聚合物光催化剂的H2O2产率仍然较低。为了进一步提高光催化产H2O2的活性,采取新的分子设计和合成策略是非常必要的。在自然光合作用中,通过在半导体间构建异质结能极大地促进光生载流子分离,这也为提高人工光能转化效率提供了潜在方案。与无机异质结相比,有机异质结的设计更为灵活,可通过在分子结构中引入不同的供体或受体单元,更容易地调控聚合物的电子结构,实现更高效的光催化产H2O2活性。
1. 本工作以缺电子的苯并[1,2-B:4,5-B']二噻吩-4,8-二酮(BTD)和富电子的4,4'-二溴联苯(B)及对苯二乙腈(CN)进行逐步聚合反应,不仅拓展了共轭体系,提高光的利用效率,并且增加了分子偶极矩,促进光生载流子的分离和转移。
2. 本文通过飞秒瞬态吸收光谱和理论计算结果表明异质结构连接处的C=C可作为电子的快速传输通道,从而提高光催化反应效率。原位DRIFTS 表明了C=O和C-OH之间的相互转换能进一步锚定H+,为后续质子耦合电子产生H2O2提供了充足的条件。
3. 分子异质结BTDB-CN0.2在可见光和空气条件下可以高效催化产生H2O2。
图1 通过C-H基化和Knoevenagel逐步聚合反应制备BTDB-CNx分子异质结构示意图。
研究人员以缺电子的苯并[1,2-B:4,5-B']二噻吩-4,8-二酮(BTD)和富电子的4,4'-二溴联苯(B)及对苯二乙腈(CN)通过C-H芳基化和Knoevenagel逐步聚合反应制备了给、受体型分子异质结构的共轭聚合物BTDB-CNx(x为CN与BTD的摩尔比)。

图2 a) BTDB、BTDB-CN0.2和BTDCN的固体13C NMR图;b) BTDB、BTDB-CN0.1、BTDB-CN0.2、BTDB-CN0.3和BTDCN的紫外可见光谱图;c) hν-(αhν)1/2图;d) BTDB和BTDCN的HOMO和LUMO能级平面图。
所有样品的固体13C NMR谱表现出相似的共振峰。此外,在BTDCN和BTDB-CN0.2中检测到~ 120ppm的峰,证实了亚乙烯的形成和C≡N的存在,这表明成功制备了分子异质结。利用紫外-可见漫反射光谱和循环伏安法进一步研究了光催化剂的能带结构。结果表明,所有样品的LUMO能级均高于O2还原的平衡电位,这保证了O2还原过程中电子的有效传递,在热力学上有利于O2还原成H2O2。

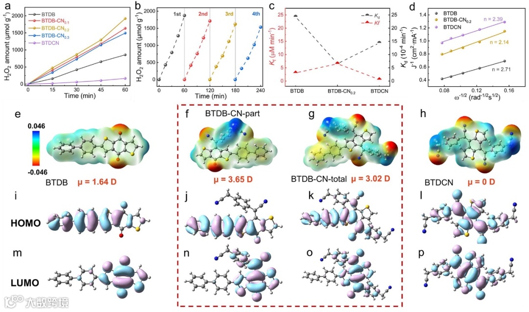
图3 a) 在无牺牲剂的纯水条件下,BTDB、BTDB-CN0.1、BTDB-CN0.2、BTDB-CN0.3和BTDCN的光催化H2O2产率随时间变化(λ >420 nm);b) BTDB-CN0.2光催化产生H2O2的循环实验;c) BTDB、BTDB-CN0.2和BTDCN的生成和分解H2O2速率常数;d) BTDB、BTDB-CN0.2和BTDCN在0.1 M Na2HPO4/NaH2PO4溶液中,通过旋转圆盘电极法计算得到的Koutecky-Levich图;e) BTDB, f) BTDB-CN-part, g) BTDB-CN-total和h) BTDCN的静电势图;i~p) BTDB、BTDB-CN-part、BTDB-CN-total和BTDCN的前线分子轨道分布图。
此外,研究人员还进一步探究了BTDB、BTDB-CNx和BTDCN在可见光照射下产双氧水过程中的催化性能差异。通过碘量法测定双氧水的产量,结果如图3a所示。BTDB-CN0.2光催化产H2O2性能最佳,其产率为1920 μmol g-1 h-1,分别是BTDB和BTDCN的2.2和11.6倍。当CN与BTD的摩尔比超过0.3时,过量的CN反应消耗了BTD链上的C=O,改变了整个骨架的电子结构,最终导致产H2O2的性能下降。旋转圆盘测试结果显示BTDB-CN0.2上的ORR倾向于氧气的双电子还原。理论计算表明在分子异质结中,其偶极矩较单链聚合物显著增大,这有利于光生电荷的转移。

图4 a) BTDB, b) BTDB-CN0.2和c) BTDCN的表面形貌和相应的KPFM图像;d) BTDB、e) BTDB-CN0.2和f) BTDCN在黑暗条件和420 nm单色光照射下的表面电势;g) KPFM原理示意图。
随后,开尔文探针测试结果显示,黑暗条件下BTDCN的接触电位差(CPD)高于BTDB,表明在分子异质结中形成了由BTDCN指向BTDB分子内电场。光照后的电子-空穴对在电场中被分离,导致样品表面的能带向下弯曲,因此光照后所有样品的CPD均呈下降趋势。此外, BTDB-CN0.2在光照前后表现出最大的∆CPD,证明了在分子异质结构中具有最高的电荷分离效率。

图5 a) BTDB, b) BTDB-CN0.2和c) BTDCN的TA二维映射图;d) BTDB, e) BTDB-CN0.2和f) BTDCN在400 nm激发下的TA光谱,以及g) BTDB, h) BTDB-CN0.2, i) BTDCN在672 nm的相应动力学衰减曲线;j) BTDB、BTDB-CN0.2和BTDCN中光生电子的衰减路径示意图。
Fs-TA光谱测试结果显示,聚合物在560~700 nm均显示出宽泛的正吸收信号,这归因于电子从第一激发态S1向高能激发态Sn跃迁产生的激发态吸收(SA)的信号。在泵浦光激发下,BTDB和BTDCN的SA信号在1 ps后就开始衰减,而BTDB- CN0.2的SA信号衰减时间要缓慢的多。从SA信号衰减拟合的数据也可以计算出BTDB-CN0.2的平均寿命从BTDB的54.16 ps或BTDCN的42.36 ps显著延长至125.96 ps,这也间接证明了BTDB和BTDCN链间的强相互作用,促进更多的光生电子从链间(C=C)转移和传输,从而提高了光催化产H2O2的活性。

图6 a) 以DMPO为捕获剂的EPR捕获实验图;b)原位二维映射DRIFTS光谱图和c) 光照射60 分钟(间隔时间为4 分钟)下BTDB-CN0.2对应的吸收峰强度变化;d) BTDB和BTDB-CN的O2还原吉布斯自由能图;e) 可见光照射下共价键连接的异质结BTDB-CN0.2光催化生成H2O2的示意图。
此外,EPR结果也表明BTDB-CN0.2能产生更多的•O2-,这有利于H2O2的产生。原位DRIFTS光谱检测到C-O 和C-OH的振动峰随时间增加而增强,表明在H2O2形成过程中存在C=O和C-OH的转换,该转换过程中能有效地锚定H+,为后续质子耦合电子提供充足的条件。最后,DFT计算也进一步证明了形成分子异质结后会降低H2O2产生的能垒。
本工作成功制备了一种共价键连接的给、受体型分子异质结共聚物用于可见光和无任何牺牲剂下H2O2的产生。在该共聚合物中,其偶极矩显著增大,并拓展了π共轭体系,促进光生载流子的分离和转移并且提高了光的利用效率。Fs-TA光谱测试结果表明,在分子异质结连接处的共价键(C=C)为光生电子的快速转移提供了通道,最终提高了H2O2的产率。此外,原位DRIFTS光谱表明,C=O和C-OH之间的相互转换能进一步锚定H+,为后续质子耦合电子产生H2O2提供充足的条件。这项工作证明了分子异质结在提高光能转换效率上具有巨大潜力。
曹少文,武汉理工大学材料复合新技术国家重点实验研究员、博士生导师。2005年本科毕业于中国科学技术大学,2010年博士毕业于中国科学院上海硅酸盐研究所,2010年-2014年在新加坡南洋理工大学从事博士后研究,2014年至今在武汉理工大学材料复合新技术国家重点实验室任研究员,并于2018年-2020年在德国马普胶体与界面研究所从事访学合作研究。获得国家优青资助(2019)、入选科睿唯安“全球高被引研究人员”榜单(2018-2023)、爱思唯尔“中国高被引学者”榜单(2021-2023)。担任中国感光学会青年理事、光催化专业委员会委员,《Interdisciplinary Materials》学术编辑,《催化学报》、《中国科学.材料》、《InfoMat》、《Transactions of Tianjin University》和《Chinese Journal of Structural Chemistry》青年编委。已在 Adv. Mater., Joule, Angew. Chem. Int. Ed. 等国内外高质量期刊上发表论文140余篇,个人引文 H 指数为 66,他引20000 余次。
课题组主页http://smse.whut.edu.cn/yjspy/dsdw/202311/t20231126_969437.shtml
欢迎关注我们,订阅更多最新消息
“邃瞳科学云”推出专业的自然科学直播服务啦!不仅直播团队专业,直播画面出色,而且传播渠道多,宣传效果佳。
“邃瞳科学云"平台正在收集、整理各类学术会议信息,欢迎学会、期刊、会议组织方择优在邃瞳平台上进行线上直播,希望藉此帮助广大科研人员跨越时空的限制,实现自由、畅通地交流互动。欢迎老师同学们提供会议信息(会有礼品赠送),学会、期刊、会议组织方商谈合作,均请联系潘经理:18612651915(微信同)。
投稿、荐稿、爆料:Editor@scisight.cn