
第一作者:姜云玲,李昊博
通讯作者:乔世璋,郑尧
通讯单位:阿德莱德大学
论文DOI:10.1021/acscatal.4c01516
酸性二氧化碳电还原反应(CO2RR)在碳利用效率方面具有优势,但在抑制析氢反应竞争和提高多碳产物选择性方面面临挑战。目前,研究发现Cu0/Cu+界面有助于C-C偶联过程,但在强还原条件和大电流电解中,铜的氧化态无法得到良好维持。在此,我们提出了一种在电解液中添加I2的策略,以保护铜的氧化态并促进酸性CO2RR中动态Cu0/Cu+界面的形成。通过这种策略,即使在低K+浓度(0.3 M)下,也可以在0.4−0.6 A cm−2的条件下实现高于70%的多碳产物法拉第效率,与已报道的高钾离子浓度体系性能相当。电解液中的低钾离子浓度显著避免了在CO2传输通道中的盐结晶现象,从而增强了反应体系的稳定性。结合理论计算说明了,向电解液中添加I2促进了CuI的形成,并且在电化学还原条件下CuI和金属Cu共存,存在一个Cu → CuI → Cu的氧化还原过程。该过程是构建动态Cu0/Cu+界面的关键,与*CO反应中间体的吸附紧密相关,并进一步促进了C-C偶联过程。
铜基催化剂是电催化二氧化碳还原产多碳产物的关键催化剂,其氧化态在*CO吸附和C-C偶联过程中起着关键作用。然而,CO2RR是一种电还原反应,实际还原电位高于Cu0/Cu+氧化还原的热力学平衡电位。因此,在反应中,原始Cu2+/Cu+的高氧化态不可避免地会被还原为金属Cu0。酸性CO2电还原(CO2RR)具有高碳利用效率,但在碳碳偶联方面面临挑战。高浓度的碱金属阳离子是已报道工作中的主要策略,但会引起盐结晶并阻塞CO2的传输通道。调节Cu氧化态是另一种可行策略,然而,在CO2RR过程中,Cu的氧化态无法得到很好地维持。因此,研究一种可行的策略,促进C-C偶联并在低盐浓度下实现较高多碳选择性的酸性CO2RR至关重要。
1)通过在电解液中添加过量的I2,实现了在CO2RR过程中动态Cu0/Cu+界面的构建,有利于*CO的吸附和C-C偶联过程。
2)在低钾离子浓度(0.3 M)的条件下,在0.4−0.6 A cm−2时,实现了约70%的多碳产物法拉第效率(FEC2+),与已报道的高钾离子浓度体系性能相当,避免了气体传输通道上的盐结晶。
3)由于碘离子可以在酸性环境中被溶解的氧气氧化成I2,因此电解质中的添加剂I2在反应中被还原后可以被部分恢复,有利于Cu0/Cu+界面的持续构成。
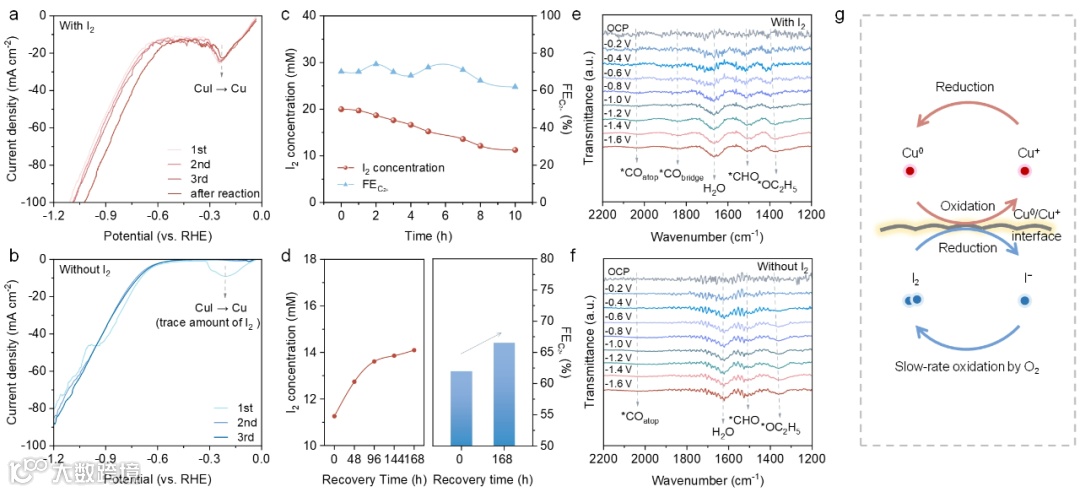
实验中使用的初始催化剂是商业化的50 nm的Cu纳米颗粒。XRD结果(图1a-b)表明,在没有I2的情况下,CO2RR后催化剂的主相为Cu金属,注入I2后,明显的CuI相暴露出来,并伴随着一部分经电还原后的Cu金属。拉曼光谱结果显示(图1c),在没有I2的对照组中位于120 cm−1处的Cu-I键的峰几乎可以忽略,但在添加I2后即使在CO2RR后,其大小也明显增大。Cu K-edge的XANES结果(见图1d)表明,与对照组中的催化剂相比,添加I2后可以观察到Cu的价态增加。此外,图1e中的Cu K-edge的FT-EXAFS结果显示,引入I2后,Cu-Cu配位强度降低。简而言之,上述分析表明,在流动I2的辅助下,CuI可以持续产生。结合还原电压,可以构建一个动态Cu0/Cu+表面。

在性能方面,如图2a-b所示,添加I2的体系在0.4−0.6 A cm−2下具有70%左右的FEC2+。作为对照组,纳米Cu和纯CuI在没有I2的情况下均保持低于60%的FEC2+。此外,C2+和CO的FE比率(图2c)表明,引入I2后,大部分CO被催化剂吸附并转化为C2+;没有I2时,CO更倾向于释放为气态产物或氢化为CH4。这种在低碱金属阳离子浓度(0.3 M)下添加I2的策略可实现与报道的高碱金属阳离子浓度体系(2−3 M)相媲美的性能(图2d)。从而可以减轻由高浓度碱金属离子引起的盐结晶对电极的影响,有利于CO2的传输。同时,基于所有二氧化碳还原产物,该体系在CO2流速为2.5 sccm时可以实现54%的SPCE(图2e)。同时,在0.5 A cm−2的电流密度下,可以连续8小时实现约65%的FEC2+(图2f)。

如图3a,在CO2RR过程中,可以在添加了I2的体系的LSV曲线中检测到一个位于−0.23 VRHE处的还原峰,即CuI还原为Cu,表明CuI可以连续再生,同时,生成的CuI可以电化学还原为Cu。因此,形成了一个Cu → CuI → Cu的循环,促进了Cu0/Cu+界面的形成。然而,如果没有I2,CuI峰只会出现在初次LSV曲线中(图3b),且CuI的峰将在随后的曲线中消失,表明微量的I2不能支持CuI在CO2RR过程中连续生成。如图3c所示,在0.5 A cm−2的电流密度下,随着反应时间的增长,I2的浓度逐渐降低,其浓度在13 mM以上时,FEC2+可以保持在约70%。当I2进一步减少时,FEC2+逐渐降至61%。巧妙地,I−可以在酸性条件下由溶解的O2缓慢氧化为I2,因此,在CO2RR后,电解液中的I2经过静置得以部分恢复(图3d)。同时,FEC2+在I2恢复后可以部分恢复到67%。此外,原位ATR-IR结果表明(图3e-f),在低K+浓度下,Cu0/Cu+界面的构建促进了CO2RR中间体的吸附。

图4. 密度泛函理论计算
DFT计算表明,随着碘化学势的增加,最稳定的表面结构从Cu终端变为I终端,反映了I2在该体系中的强氧化性质,导致表面I含量和Cu的氧化态显著增加(图4a)。Pourbaix图(图4b)结合Bader电荷分析计算(图4c)表明,在实验条件下,催化剂表面形成了Cu0/Cu+界面,主要由Cu0主导。添加更多的I2促使OSCu向上移动,增加了Cu+的含量比例,使得Cu0/Cu+界面结构存在动态平衡。同时,图4d表明,适量的碘含量会促进*CHO偶联形成OHCCHO。
本工作采用了一种添加I2的策略,在酸性CO2RR过程中构建动态Cu0/Cu+界面,促进了C-C偶联并实现了在低碱金属阳离子浓度下的高FEC2+。理论计算和实验表征表明,引入I2有助于CuI的形成;与此同时,在CO2RR过程中,CuI将被还原为Cu,这一过程是连续的,确保了催化剂上动态Cu0/Cu+界面的构建,增强了*CO的吸附和进一步的C-C偶联过程。
Yunling Jiang, Haobo Li, Chaojie Chen, Yao Zheng*, and Shi-Zhang Qiao*, Dynamic Cu0/Cu+ Interface Promotes Acidic CO2 Electroreduction, ACS Catal. 2024.
https://doi.org/10.1021/acscatal.4c01516
乔世璋院士,现任澳大利亚阿德莱德大学化工学院纳米技术首席教授,能源与催化材料中心(Centre for Materials in Energy and Catalysis,CMEC)主任,主要从事新能源技术纳米材料领域的研究,包括电催化、光催化、电池等。作为通讯作者,在Nature、Nature Energy、Nature Nanotechnology、Nature Synthesis、Nature Communication、Journal of American Chemical Society、Angewandte Chemie-International Edition、Advanced Materials等国际顶级期刊发表学术论文超过550篇,引用次数超过12.8万次,h指数为183。乔世璋教授已获得多项重要奖励与荣誉,包括2023年澳大利亚研究理事会工业界桂冠学者(ARC Australian Industry Laureate Fellow),2021年南澳大利亚州年度科学家,2019年首届阿德莱德大学校长研究卓越奖、2017年澳大利亚研究理事会桂冠学者(ARC Australian Laureate Fellow)、2016年埃克森美孚奖、2013年美国化学学会能源与燃料部新兴研究者奖以及澳大利亚研究理事会杰出研究者奖(DORA)。乔教授是国际化学工程师学会会士、澳大利亚皇家化学会会士、英国皇家化学会会士等。同时,他担任国际刊物英国皇家化学会杂志EES Catalysis的主编,也是科睿唯安(Clarivate Analytics)/汤姆森路透(Thomson Reuters)化学、材料科学和环境与生态三个领域的高被引科学家。
郑尧教授,2014年博士毕业于昆士兰大学,目前为阿德莱德大学化工学院教授。主要研究方向为电化学能源转化,包括电炼化(electrocatalytic refinery),水裂解,二氧化碳还原等。目前作为第一作者和通讯作者已在Nature Energy, Nature Communication, Journal of American Chemical Society、Angewandte Chemie-International Edition、Advanced Materials等国际顶级期刊上发表论文170余篇,引用次数超过44,000次,h指数为84。获得澳大利亚研究理事会(ARC)包括Future Fellowship,Discovery Project,DECRA项目共计270余万澳元的资助。他也是科睿唯安(Clarivate Analytics)化学领域的高被引科学家。
欢迎关注我们,订阅更多最新消息
“邃瞳科学云”推出专业的自然科学直播服务啦!不仅直播团队专业,直播画面出色,而且传播渠道多,宣传效果佳。
“邃瞳科学云"平台正在收集、整理各类学术会议信息,欢迎学会、期刊、会议组织方择优在邃瞳平台上进行线上直播,希望藉此帮助广大科研人员跨越时空的限制,实现自由、畅通地交流互动。欢迎老师同学们提供会议信息(会有礼品赠送),学会、期刊、会议组织方商谈合作,均请联系潘经理:18612651915(微信同)。
投稿、荐稿、爆料:Editor@scisight.cn