
第一作者:刘苗,何颖
通讯作者:罗群兴
通讯单位:西北大学
论文DOI:10.1021/acscatal.4c02893
葡萄糖差向异构是合成高值稀有单糖的重要反应路径。研究表明钼基催化剂在水相对葡萄糖→甘露糖差向异构反应具有非常高的活性和选择性,主流观点认为该反应机制是MoVI-O-MoVI双金属中心与葡萄糖分子形成四配位过渡态,从而诱导骨架上C-1和C-2原子重排生成甘露糖(Bílik机理)。此外,大量研究报道含Mo催化材料(均相和多相)在水相产生甘露糖的最大摩尔产率约为25-30%,接近热力学平衡组成。但是,关于互变异构催化反应网络、机理和Mo活性中心的溶液结构演变尚不明晰且存在争议,同时反应平衡热力学和动力学模型基础数据不够完备。为此,西北大学罗群兴课题组系统研究了水相Mo基催化剂上葡萄糖↔甘露糖↔果糖互变异构反应网络,建立了差向异构反应热力学平衡组成(Keq. 373K = 0.39)、性质(△rH298-423K = △rG298-423K = 3.0~3.5 KJ/mol)和动力学模型,提出多钼酸结构(MoVI-O-MoVI)中单一Mo原子与醛糖形成双齿配位模型,分别经过碳骨架重排和两次异构路径生成甘露糖。前者通过三元环过渡态(TSC)介导骨架C2-C3键断裂和C1-C3键形成,反应能垒为130.9 kJ/mol;后者经历两次负氢转移过渡态(TSH-1和TSH-2),速控步骤反应能垒为145.8 kJ/mol。该工作为深入理解水相Mo基催化剂上葡萄糖差向异构反应机制和本质奠定科学基础。相关成果以“Nature of Glucose Epimerization Catalyzed by Mo-Containing Bulk Catalysts in Aqueous Phase”为题发表在《ACS Catalysis》上,文章的第一作者是刘苗和何颖。
糖类化合物催化异构和差向异构反应涉及生物质资源利用、人类膳食、医疗和保健等重要民生问题。葡萄糖是自然界中储量最多且应用最广的一种单糖,其可通过异构或差向异构反应转化为其他酮糖或醛糖,如果糖、甘露糖、阿洛酮糖、阿洛糖、塔格糖、艾杜糖等,其中甘露糖可用于治疗Ⅱ型糖尿病和抑制肿瘤生长的药物或营养添加剂。Mo基材料是葡萄糖水相差向异构反应研究最多且最有效的催化活性组分,但由于Mo元素存在多价态、醛糖具有还原性、固体材料溶剂化和Mo离子水相缩聚等问题,导致在辨识真实催化剂活性中心结构和建立催化反应网络(机理)依然存在争议。
1)量化了葡萄糖→甘露糖差向异构反应热力学平衡组成和性质,厘清Mo基催化剂上葡萄糖↔甘露糖↔果糖互变异构反应网络和特征。
2)提出多钼酸结构(MoVI-O-MoVI)中单一Mo原子为催化反应本征活性中心,证实同时存在碳骨架重排和两次负氢转移反应路径。
3)发现水相中磷酸盐物种与葡萄糖分子存在相互作用,澄清Mo基催化剂失活的主要原因。
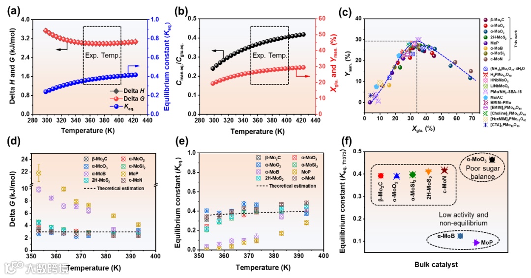
根据反应热力学平衡常数和Van’t Hoff等温方程(Eq. 1和2)计算得到葡萄糖差向异构反应热力学性质和平衡常数(图1)。结果表明在实验温度范围内的反应吉布斯自由能接近常数,平衡常数及转化率相差无几,说明温度对平衡组成影响甚微。我们选择373 K下的平衡常数与平衡转化率作为代表进行对比研究。不同实验温度下,由实验数据计算得到的不同本体型钼基催化剂的平衡常数,除α-MoB 和 MoP低于理论值外,其余均接近理论值(图1d, e),表明所研究的大多数Mo基催化剂均可达到热力学平衡,而α-MoB and MoP则存在内在活性较低或失活的可能性。

图1 不同温度下水相中葡萄糖差向异构的热力学估算和平衡组成,(a,b) 基于HSC计算的热力学函数及热力学平衡组成,(c)甘露糖产率与葡萄糖转化率的关系曲线,(d, e)不同温度下由实验值计算的平衡常数和反应吉布斯函数,(f) 373 K下平衡常数对比。
图2为水相中不同本体型Mo基催化剂上葡萄糖差向异构反应动力学行为。通过动力学实验条件和糖平衡控制(>95%),可以确定所有催化剂均服从一级反应动力学模型(Eq. 3和4),但拟合得到的速率常数、指前因子以及活化能参数却各有不同,表明水相中本体型钼基催化剂本征活性中心潜在的性质和物种演变可能不同。光谱表征(Uv-vis和XPS)结果(图3)表明本体型Mo基催化剂(除α-MoB和MoP)流失在溶液中的钼物种与均相钼酸(MA)和七钼酸铵(AHMT)分子催化剂的溶液结构相似,均为六价Mo缩聚形成的多钼酸盐结构(MoVI-O-MoVI)。α-MoB和MoP的钼物质演变与其配对原子(B和P)有关,暗示其活性物种有所不同。

图2 本体型钼基催化剂上葡萄糖差向异构反应动力学研究:(a) 反应网络(G, M, F, H分别代表葡萄糖,甘露糖,果糖以及腐殖质),(b-d) 动力学拟合,(f) Arrhenius关系。

图3 水溶液中钼物种的UV-vis谱图:(a) 不同浓度的钼酸溶液,(b) 不同浓度的七钼酸铵溶液,(c) 反应后本体型钼基催化剂的溶液,(d) 最大吸收波长随钼离子浓度的关系曲线,(e)钼物种分子结构。
同位素示踪和13C NMR核磁谱图显示反应后出现两组共振峰(71.2、70.7 ppm和94.1、93.7 ppm),分别归属于C-2-α-MP、C-2-β-MP和C-1-α-MP、C-1-β-MP(图4),表明葡萄糖→甘露糖差向异构存在两种反应路径,即1,2-碳骨架重排和两步异构。此外,另一组共振峰74.1和71.5 ppm的出现(C-2-α-GP和C-2-β-GP),证明生成的13C-2-甘露糖经可逆差向异构反应生成13C-2-葡萄糖。此外,在101.3、63.9、63.1、61.2 ppm等位置也出现共振信号峰,归属于C-2-β-FF、C-1-β-FP、C-1-α-FF 和 C-1-α-FP,说明发生醛糖异构生成酮糖(果糖)。总体而言,该结果说明反应体系中同时存在三种单糖之间的互变异构,其反应网络如图5(a)所示。

图4 水相不同本体型钼基催化剂上同位素标记葡萄糖的13C NMR谱图。
根据谱学和动力学结果,构建MoVI-O-MoVI团簇作为活性中心模型,采用DFT计算研究了葡萄糖差向异构反应的两种路径和机理(图5b)。结果表明该模型中一个Mo原子与葡萄糖C-1和C-2上的氧原子配位形成双齿配合物,然后分别经历碳骨架重排和两步异构路径。前者通过三元环过渡态(TSC)介导骨架C2-C3键断裂和C1-C3键形成,反应能垒为130.9 kJ/mol;后者经历两次负氢转移过渡态(TSH-1和TSH-2),速控步骤反应能垒为145.8 kJ/mol(图5c)。值得注意的是,碳骨架重排生成甘露糖所需能垒略低于两步异构机理,这与经碳骨架重排路径生成的甘露糖含量更高的实验现象吻合。

图5 葡萄糖差相异构反应网络(a),差向异构机理示意图(b),两种反应路径过渡态及能量(c)。
本工作从反应平衡热力学组成、热力学函数、动力学模型、产物分布和反应机理等方面系统地研究了Mo基催化剂上葡萄糖差向异构反应性质,建立了差向异构反应热力学平衡组成,重新描绘了该体系中互变异构反应网络,证实了存在两种差向异构路径和机理,提出MoVI-O-MoVI中单一Mo原子为水相中催化反应本征活性中心。此外,发现磷酸盐物种与葡萄糖分子存在相互作用,澄清了Mo基催化剂失活的主要原因。本工作所获得的新认识和新进展有助于理解水相Mo基催化剂上葡萄糖差向异构反应机制和本质,为定向合成稀有单糖的催化剂理性设计提供参考。
(1) Gonzalez, P. S.; O’Prey, J.; Cardaci, S.; Barthet, V. J. A.; Sakamaki, J.-i.; Beaumatin, F.; Roseweir, A.; Gay, D. M.; Mackay, G.; Malviya, G.; Kania, E.; Ritchie, S.; Baudot, A. D.; Zunino, B.; Mrowinska, A.; Nixon, C.; Ennis, D.; Hoyle, A.; Millan, D.; McNeish, I. A.; Sansom, O. J.; Edwards, J.; Ryan, K. M. Mannose impairs tumour growth and enhances chemotherapy. Nature 2018, 563 (7733), 719-723.
(2) Tin-containing zeolites are highly active catalysts for the isomerization of glucose in water. Proc. Nati. Acad. Sci. 2010,107 (14), 6164-6168.
(3 ) Molybdenum-Based Polyoxometalates as Highly Active and Selective Catalysts for the Epimerization of Aldoses. ACS Catal. 2014, 4 (5), 1358-1364.
罗群兴,西北大学化工学院,副教授。研究组主要围绕生物质、废弃塑料和低碳分子(烷烃、醇和COx)催化转化和高值利用,开发高端功能化学品/材料以及可持续制造工艺。擅长利用模型催化剂构筑、催化反应动力学、同位素示踪、(准)原位和动态现场原位光谱表征、量子化学和计算流体力学,从多尺度理解并揭示催化剂组成、结构与反应性能之间的构-效关系以及催化反应机理,指导催化剂理性设计和新反应过程开发。在J. Catal., ACS Catal., Chem. Eng. Sci. 等催化主流期刊发表论文30余篇,先后主持国家自然科学基金(面上、青年)、省部级、中石油以及其他企事业委托科研项目 10 余项,开发 2 套中试技术和系列功能助剂产品。·
欢迎关注我们,订阅更多最新消息
“邃瞳科学云”推出专业的自然科学直播服务啦!不仅直播团队专业,直播画面出色,而且传播渠道多,宣传效果佳。
“邃瞳科学云"平台正在收集、整理各类学术会议信息,欢迎学会、期刊、会议组织方择优在邃瞳平台上进行线上直播,希望藉此帮助广大科研人员跨越时空的限制,实现自由、畅通地交流互动。欢迎老师同学们提供会议信息(会有礼品赠送),学会、期刊、会议组织方商谈合作,均请联系18612651915(微信同)。
投稿、荐稿、爆料:Editor@scisight.cn