
第一作者:王海潮,李华敏
通讯作者:易莎莎,朱永法
通讯单位:郑州大学,清华大学
论文DOI:10.1002/adfm.202406545
在赤铁矿(Fe2O3)光阳极中构建内建电场(IEF)以促进电荷转移和分离,从而实现高效的水氧化性能仍然是一个重大的挑战。与传统通过引入另一种半导体材料进行异质结设计以产生IEF的方法不同,本文提出了一种新颖的策略,即利用梯度Zn2+掺杂策略在Fe2O3光阳极表面构建局域n-p同质结(记为Zn:Fe2O3光阳极)。通过这种方法,可以将Fe2O3的本征n型半导体特性局部转变为p型,并诱导产生具有强IEF的n-p同质结,从而实现更高效的电荷分离和转移。此外,梯度Zn2+掺杂伴随着氧空位的产生,进一步提高了电荷转移效率并加速了水氧化动力学。在模拟太阳光下,目标Zn:Fe2O3光阳极在1.23 V vs. RHE电压下的光电流密度约为Fe2O3的2.6倍。
Fe2O3是一种具有巨大应用潜力的PEC水分解光阳极材料,但其实际性能远低于理论预期,主要归因于体相载流子的严重复合问题。因此,提高电荷转移/分离效率成为提升PEC性能的关键科学问题。构建异质结所形成的IEF可以有效促进光生载流子分离和转移,其中p-n结为电荷的转移和分离提供更强驱动力。然而,在Fe2O3光阳极上构建p-n结通常需要引入其他p型半导体材料,这会产生异质界面并引入额外复合中心,不利于PEC性能。通过掺杂工程策略构建Fe2O3同质结既有利于界面电荷转移,也提高了载流子的迁移率和浓度,并有望实现高效电荷分离。值得注意的是,在表面缺陷工程策略下局域IEF的构建已成为光催化领域最新研究进展之一。然而,在通过掺杂局域调变Fe2O3的p/n半导体类型以构建具有强大IEF的局域n-p同质结方面仍未深入研究。先前研究表明Zn可作为Fe2O3中p型掺杂剂。因此,精确将Zn2+掺杂到Fe2O3光阳极中或许可以生成局部p型Fe2O3,并期望形成局域n-p同质结以增强载流子分离和转移,提高PEC性能。
1. 创新性地提出了梯度掺杂策略,以构建局域n-p同质结的新方法。
2. 通过Zn2+的梯度掺杂,使局部Fe2O3从n型转变为p型,形成了局域的n-p同质结,并诱导产生IEF;该电场方向由Fe2O3的体相指向表面,显著提高了光生载流子的分离和转移效率。
3. Zn2+的梯度掺杂伴随着氧空位(OV)的产生,进一步提高了Fe2O3光阳极的电荷转移效率,加速了水氧化动力学。
图1.梯度Zn2+掺杂Fe2O3光阳极(Zn:Fe2O3)的合成过程和形貌、组成表征:本文通过水热-煅烧法合成了Ti4+掺杂的Fe2O3纳米阵列(记为Fe2O3),并通过ZnCl2前驱体经气相阳离子交换的方法成功合成了Zn:Fe2O3。由HRTEM(图1b-d)可知,与Fe2O3相比,Zn:Fe2O3表面区域可见部分模糊的点状条纹(以虚线圈出),这是由于Fe2O3物相中产生缺陷所导致的晶格畸变。通过HAADF-EDX测试(图1e-f)可以观察到,在Fe2O3表面至体相处,Zn2+呈现梯度减少的趋势,而Ti4+则呈现不变的趋势,说明Zn2+在晶格中进行了梯度掺入而Ti4+则均匀地掺入了Fe2O3晶格。

图1. Zn:Fe2O3光阳极的合成过程和形貌、组成表征
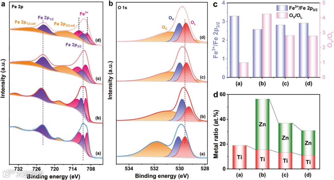
图2.梯度Zn2+掺杂诱导产生OV:根据Fe 2p的XPS图谱(图2a),可以观察到Zn:Fe2O3相较于Fe2O3向高结合能偏移,当经过Ar+等离子刻蚀后,结合能又回到起始位置。这表明在Zn:Fe2O3表面产生了界面电场(IEF)效应,使得电子从材料的体相流向表面。通过分析O 1s谱(图2b)可知,Zn:Fe2O3中OV含量增多,但经过刻蚀后OV含量下降。定量计算了Fe3+/Fe 2p3/2和OV/OL的比值,如图2c所示。结果显示,在掺杂了Zn2+的Fe2O3中,OV/OL比值增加,而经过Ar+等离子体蚀刻后,OV/OL逐渐降低。同时,Fe3+/Fe 2p3/2比值先下降再上升。样品中Fe3+含量减少以及OV含量的增加都证明Zn2+取代了Fe2O3中的Fe3+并产生了OV。对比金属含量的变化可以看出,在刻蚀后Zn2+的含量大幅度下降,而Ti4+则均匀地减少,这表明Zn2+的掺杂呈梯度分布,而Ti4+的掺杂则均匀分布。

图2. Fe2O3基光阳极的XPS分析。注:(a)Fe2O3;Zn:Fe2O3光阳极在Ar+等离子体的刻蚀深度分别为(b)0 nm、(c)5 nm和(d)10 nm
图3. Zn:Fe2O3光阳极表面的局域n-p同质结产生强大的内建电场:由导电原子力显微镜(c-AFM,图3a-b)测得的选区I-V曲线可知,Zn:Fe2O3呈现典型的整流特性,而Fe2O3表现为欧姆特性。这说明在Zn:Fe2O3中存在IEF,这可能是形成局域n-p同质结的原因。通过紫外光电子能谱(UPS)和DFT计算发现,Zn:Fe2O3的功函数(WFs)高于Fe2O3,电子将会从体相Fe2O3流向表面Zn:Fe2O3,形成局域n-p同质结。通过电子密度分布图(图3f)可知,电子主要聚集在Zn2+周围,导致了IEF的产生。瞬态光电压(TPV)和开路电位(OCP)也被认为是识别光阳极中存在IEF的有效技术手段。在Zn:Fe2O3中观察到TPV信号增强和较慢的衰减速度,表明IEF作用下改善了光生载流子的分离,并延长了其寿命。图3h展示了OCP曲线测试所得的光电压(Vph)图,Zn:Fe2O3的Vph高于Fe2O3,表明通过IEF实现的局部n-p同质结具有更强驱动力以促进载流子的分离。

图3. Zn:Fe2O3光阳极的内建电场表征
图4.局域n-p同质结驱动的高效电荷分离和转移:通过Mott-Schottky(M-S)曲线(图4a)可知,Zn2+掺杂显著提高了Zn:Fe2O3的载流子浓度(Nd)。利用OCP曲线计算得到的载流子寿命(τn)用于比较电极/电解质界面处的电荷复合率,结果显示Zn:Fe2O3的复合率明显低于Fe2O3,这表明在PEC水分解反应中,Zn:Fe2O3具有高效的电荷分离和快速转移动力学。由不同电压下的光电化学阻抗谱(PEIS,图4c-g)可知,相较于Fe2O3,Zn:Fe2O3具有更低的表面态的捕获电阻(Rtrap)和电极/电解液界面的电荷转移电阻(Rct)。Zn:Fe2O3的电荷转移效率从44.5%提升至58.9%(图4f),表明Zn:Fe2O3光阳极具有局域化的n-p同质结,有效地减少了光生载流子的体相复合。

图4. Zn:Fe2O3光阳极的载流子行为表征
图5. Zn:Fe2O3光阳极增强PEC水氧化性能:在1.23 VRHE下,与Fe2O3(1.04 mA cm−2)相比,Zn:Fe2O3的光电流密度显著增强,达到2.67 mA cm−2。Zn:Fe2O3在400 nm处表现出显著较高的IPCE值83.4%,是Fe2O3的2.6倍(图5b)。同时,Zn:Fe2O3光阳极表现出优越的电荷分离能力。图5e展示了Fe2O3基光阳极PEC水氧化的机理图,由于严重的体相电荷复合和缓慢的水氧化动力学,Fe2O3光阳极表现出较低的PEC水氧化性能。在Zn:Fe2O3光阳极中,光生电子-空穴对在局域n-p同质结界面表现出高效的分离,并随后向不同方向转移以促进水的分解。同时,Zn2+的掺入所产生的OV不仅在导带(CB)附件形成浅层施主能级,有效地捕获光生电子并促进电荷载流子分离,而且还加速了水氧化动力学,降低了反应过电位,从而显著提高了PEC性能。

图5. Zn:Fe2O3光阳极的PEC水氧化性能,电荷分离和转移过程的机理图
综上所述,通过利用Zn2+梯度掺杂策略成功地在Fe2O3光阳极表面构建了局域n-p同质结。结果表明,Zn2+的引入导致Fe2O3的电导率类型由n型转变为p型,从而形成p-n结,并建立了稳定的内部电场(IEF)。这种结构有效地促进了光生空穴从体相到表面的高效转移,延长了载流子的寿命并实现了有效的空间电荷分离。此外,Zn2+掺杂还产生氧空位,进一步提高了电荷转移效率和改善了水氧化动力学。因此,与Fe2O3相比,Zn:Fe2O3光阳极的光电流密度显著提高。本研究提出了一种在光电极表面构建局域n-p同质结的创新设计,旨在提高太阳能转换效率。
H.-C. Wang, H.-M. Li, T. Yang, J.-W. Ji, X.-Z. Yue, Q.-C. Liu, S.-S. Yi, Y. Zhu, Enhanced Water Oxidation of Hematite Photoanodes via Localized n-p Homojunctions Induced by Gradient Zn2+ Doping. Adv. Funct. Mater. 2024, 2406545.
DOI: 10.1002/adfm.202406545
https://doi.org/10.1002/adfm.202406545
易莎莎,郑州大学副教授,博士生导师,2018年博士毕业于吉林大学材料科学与工程学院。荣获中原青年拔尖人才和河南省高层次人才称号。主要研究方向是纳米功能材料的设计及其光(电)催化性能研究。以第一/通讯作者在国际著名期刊Energy Environ. Sci.、Adv. Funct. Mater.、Adv. Sci.、Small、Appl. Catal. B等发表学术论文30余篇。论文总引用3800余次,单篇SCI最高引用368次,4篇论文入选ESI高被引论文。
朱永法,清华大学教授,博士生导师,国家电子能谱中心副主任。曾获教育部跨世纪优秀人才及国家自然科学基金委杰青年基金的资助,获得国家自然科学奖二等奖1项,教育部自然科学奖一等奖2项、二等奖1项,教育部科技进步奖二等奖和三等奖各1次;出版著作5部并获专利24项;在Nat. Catal.、Nat. Energy、Nat. Commun.、Angew. Chem. Int. Ed.、Adv. Mater.等期刊发表SCI论文503篇,其中高被引论文50篇;论文总引46600余次,H因子为120。自2014年至今获Elsevier高被引学者,2018年至今获科睿唯安“高被引科学家”。朱永法教授现担任Science for Energy and Environment(SEE)创刊主编,Applied Catalysis B副主编,Green Carbon副主编,中国感光学会副理事长兼光催化专业委员会主任,中国化学会环境化学专业委员会委员,教育部资源化学重点实验室学术委员会副主任等学术兼职。
欢迎关注我们,订阅更多最新消息
“邃瞳科学云”推出专业的自然科学直播服务啦!不仅直播团队专业,直播画面出色,而且传播渠道多,宣传效果佳。
“邃瞳科学云"平台正在收集、整理各类学术会议信息,欢迎学会、期刊、会议组织方择优在邃瞳平台上进行线上直播,希望藉此帮助广大科研人员跨越时空的限制,实现自由、畅通地交流互动。欢迎老师同学们提供会议信息(会有礼品赠送),学会、期刊、会议组织方商谈合作,均请联系潘经理:18612651915(微信同)。
投稿、荐稿、爆料:Editor@scisight.cn