
第一作者:王超栋
通讯作者:李坚军
通讯单位:浙江工业大学
论文DOI:10.1038/s41467-024-49337-3
通过氢原子转移策略从C(sp³)−H底物生成烷基自由基并参与烷基化反应,是一种理想但尚未充分探索的策略。传统方法还存在较苛刻的反应条件、受限的底物范围以及使用贵金属催化剂和化学计量氧化剂等问题,亟待研发适用性广且高效C(sp³)−H官能团反应体系。本文报道了一种通过光催化顺序电子/质子转移(ET/PT)实现未活化C(sp³)−H键的官能化方法。该方法利用光氧化还原和氢原子转移(HAT)催化的协同策略,成功实现了广泛的反应适应范围、高的官能团兼容性和操作简便性。研究表明,游离N−H键通过逐步电子/质子转移事件生成的N中心自由基是关键中间体,能够通过分子内1,5-HAT或分子间HAT过程生成亲核碳中心自由基,进而实现未活化C(sp³)−H的杂芳基化、烷基化、胺化、氰化、叠氮化、三氟甲硫基化、卤化和氘代。

图1. 氮中心自由基导向的惰性C(sp3)-H转化策略
在天然产物及药物分子中,未活化C(sp3)−H键的直接功官能化研究一直是化学合成与制药领域的焦点。由于烷烃类C-H键的固有惰性,尤其是多个化学环境相似的C-H键的区域选择性问题,给该类反应的高效催化体系开发带来了巨大的挑战。近年来,杂原子中心自由基(如:S、O、N等)介导氢原子转移(HAT)策略在惰性C(sp3)-H键活化反应上备受瞩目,尤其是氮中心自由基(NCR)介导的化学转化过程。但由于缺乏热力学驱动力,如何产生瞬态高能的NCR物种仍然是一个相当大的挑战。目前,NCR的产生可以分为:(i)N-杂原子前体经历单电子转移;(ii)N-H键经历质子耦合-电子转移(PCET)。然而,通过将N-H键进行预官能团化产生NCR的策略,还存在合成步骤繁琐、副反应多且原子经济性较低的弊端,况且在Brønsted碱参与下的PCET策略,使得许多在碱性条件下不相容转化的合成反应受到限制。
浙江工业大学药学院、绿色制药协同创新中心苏为科团队李坚军教授课题组开发了一种通过N−H键的直接裂解产生NCR的光诱导ET/PT策略,并将该策略首次应用于惰性C(sp3)−H键杂芳基化、烷基化、胺化、氰基化、叠氮化、三氟甲基硫代化、卤化和氘化反应。该研究工作具有以下特点:(1)无需使用贵金属催化剂、碱性添加剂和氧化剂,具有较高的原子和步骤经济性;(2)具有广泛的底物普适性,并能直接对天然产物和药物分子进行结构修饰;(3)通过荧光淬灭、循环伏安法和电子顺磁共振等实验系统研究了光诱导ET/PT催化NCR的产生及其对惰性C(sp3)−H键选择性官能化转化的机制,并通过密度泛函理论实现了对活性中间体的形成机制和催化机理的深入理解。上述工作不仅有望为天然产物和药物分子的合成与修饰提供更多的可能性,而且有望加速光诱导ET/PT策略在惰性C(sp3)−H官能化转化中的进一步发展。
研究之初,作者对2-苯基喹啉1a和4-甲氧基-N-戊基苯磺酰胺2a的远程杂芳基化反应条件进行了筛选,发现在室温和氮气氛围下,以2 mol%的PC-1和5 mol%的钴肟为催化剂,2.0当量的三氟乙酸为添加剂,乙腈和六氟异丙醇作为混合溶剂,于450-460纳米蓝光下反应24小时,能以86%的最优分离收率得到目标产物3(表1)。

表1:模板反应的条件优化
在建立了可行的催化剂体系和条件后,作者进行了相应的底物拓展。研究发现,喹啉、异喹啉、苯并噻唑、喹唑林、喹喔啉等含氮杂环均可以顺利发生远程杂芳基化反应,如图2所示。

图2. N-杂芳烃底物范围的研究
随后,作者探索了N-烷基磺酰胺的底物范围。研究结果表明,N-取代的线性磺酰胺和环状磺酰胺均是合适的反应底物。其中,携带简单线性烷基链的磺酰胺通过1,5-HAT和1,6-HAT提供了δ-和ε-取代的区域异构体,其中碳链的延伸更有利于1,5-HAT过程。同时,在氮的α-、β-和γ-位置取代的底物也能顺利进行反应,并提供良好的产物收率。值得注意的是,该方法能够直接用于含氮杂环药物,如罗氟司特、伏立康唑和依托贝特,以及一些天然产物的衍生物,如薄荷醇、芬布芬和塞来昔布等的后期修饰当中,如图3所示.

图3. N-烷基磺酰胺、药物和天然产物衍生物的底物范围
基于以上结果,作者发现,当以N-烷基磺酰胺作为外源HAT催化剂时,这种光/钴双催化交叉脱氢偶联反应体系能通过分子间HAT过程运用于其它种类的C(sp3)−H底物的杂芳基化反应,如图4所示。

图4. NCR介导的分子间Minisci反应
为了进一步证明ET/PT催化平台用于远端惰性C(sp3)−H键官能化的多样性,作者在其它标准条件下,通过磺酰胺底物2a与一系列自由基捕获试剂反应,成功实现了惰性C(sp3)−H的烷基化、胺化、氰基化、叠氮化、三氟甲基硫代化、卤化和氘化反应,如图5所示。

图5. 远程惰性C(sp3)-H键的官能化转化
在分批和连续流动条件下进行的克级反应证明了该方案的可扩展性,而产率没有显著下降。通过所得产物的多功能转化进一步证明了该方案的合成应用。例如,在光照射下用NaI/PhI(OAc)2处理可以通过碘介导的氧化HLF环化将所得产物3转化为吡咯烷衍生物。此外,作者通过开展自由基淬灭实验、自由基钟实验、荧光淬灭、循环伏安法和电子顺磁共振等实验对所提出的反应机理进行了系统性验证,如图6所示。

图6. 合成应用与机理研究
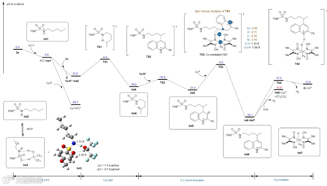
最后,作者通过密度泛函理论对活性中间体的形成机制和催化机理进行了合理的解释,如图7所示。

图7. 密度泛函理论计算
总之,李坚军教授课题组开发了一种通过N−H键断裂产生N-中心磺酰氨基自由基的光诱导连续ET/PT途径。在此基础上,他们通过NCR引发的1,5-HAT实现了未活化C(sp3)−H键的位点选择性杂芳基化、烷基化、胺化、氰基化、叠氮化、三氟甲基硫代化、卤化和氘化。在温和的氧化还原中性条件下进行,该方案是原子和步骤经济的,并且不需要使用贵金属催化剂和光催化剂。对不同官能团以及天然产物和药物片段的耐受性,可能使这种方法对复杂分子修饰或后期功能化具有吸引力。此外,一系列的验证实验和DFT计算为提出ET/PT反应机制提供了有力的支持。
文献信息:https://www.nature.com/articles/s41467-024-49337-3
王超栋,浙江工业大学药学院2023级博士研究生,主要从事光、电催化合成及药物合成的研究工作。先后以第一作者及共同作者在Nat. Commun., Green Chem., Org. Chem. Front., Adv. Synth. Catal., J. Org. Chem.等期刊发表学术论文8篇,获得授权发明专利1件。
李坚军,浙江工业大学药学院教授,博士生导师,绿色化学制药研究所所长,浙江工业大学台州研究院副院长,浙江省药学会药物化学及抗生素专业委员会副主任委员。主要从事绿色化学制药技术、过程强化技术与应用等研究工作。先后主持或参与完成国家科技支撑计划、国家自然科学基金、浙江省绿色化工重大专项、省重点研发计划等项目15项;在国际知名期刊发表SCI收录论文60余篇,已授权国家发明专利41件,获省部级一等奖3项。
欢迎关注我们,订阅更多最新消息
“邃瞳科学云”推出专业的自然科学直播服务啦!不仅直播团队专业,直播画面出色,而且传播渠道多,宣传效果佳。
“邃瞳科学云"平台正在收集、整理各类学术会议信息,欢迎学会、期刊、会议组织方择优在邃瞳平台上进行线上直播,希望藉此帮助广大科研人员跨越时空的限制,实现自由、畅通地交流互动。欢迎老师同学们提供会议信息(会有礼品赠送),学会、期刊、会议组织方商谈合作,均请联系潘经理:18612651915(微信同)。
投稿、荐稿、爆料:Editor@scisight.cn