
第一作者:汪焱
通讯作者:朱文帅教授,刘计省副教授,华明清副教授
通讯单位:江苏大学化学与工程学院
论文DOI:10.1016/j.apcatb.2024.124265
本文采用一种简单的煅烧策略,成功制备了一系列具有不同表面氧化铝配位状态的NiMo/Al2O3催化剂。通过多种表征技术,我们详细分析了这些催化剂的结构特性,并对其在4,6-二甲基二苯并噻吩(4,6-DMDBT)加氢脱硫(HDS)反应中的催化性能进行了测试。结果显示,所合成的催化剂样品具有均一的比表面积(130 m2·g-1)和孔径(3.5 nm)。不同样品中五配位铝的含量差异显著,这对其表面酸性特性产生了重要影响。特别是,在600°C煅烧条件下制备的NiMo/Al2O3-600催化剂呈现最高比例的五配位铝的含量。与四配位和六配位铝相比,五配位铝表现出更丰富的Brønsted酸性位点,这显著促进了4,6-DMDBT的异构化和直接脱硫反应路径。因此,NiMo/Al2O3-600样品展现出最优的HDS性能,其对4,6-DMDBT的转化率达到了94.5%,明显优于在500°C(74.4%)和 700°C(62.7%)煅烧条件下制备的催化剂的活性。
加氢脱硫是炼油工业中实现燃料清洁化、减少环境污染和满足严格法规要求的关键技术。为达到超深度脱硫目的,通常需在HDS催化剂制备过程中引入第二种金属,这必会增加催化剂的生产成本。Brønsted酸(B酸)在HDS中通过增强含硫化合物的吸附和活化,促进异构化路径,从而减少了对氢气的需求并降低了反应所需的苛刻条件。B酸的存在显著提高了脱硫效率,优化了催化剂的性能和脱硫过程的经济性。鉴于此,迫切需要开发一种创新而直接的方法来调控Ni(Co)Mo(W)/γ-Al2O3催化剂中的Brønsted酸,且无需额外的掺杂剂。尽管已知铝的配位状态对活性组分的电子结构和几何形态有影响,但这一领域的深入研究仍然不足。
1. 本工作通过一种简单的煅烧策略,成功制备了一系列具有不同表面氧化铝配位状态的NiMo/Al2O3催化剂;
2. 这些催化剂在比表面积和孔径上表现出高度一致性,为研究提供了一个控制变量的良好平台;
3. NiMo/Al2O3-600催化剂在600°C煅烧后,展现出更丰富的五配位铝物种,这些物种与Brønsted酸位点的形成密切相关;
4. 这种独特的表面酸性特征,显著促进了4,6-DMDBT加氢脱硫过程中的异构化(ISO)和直接脱硫(DDS)途径,从而极大地提升了NiMo/Al2O3-600催化剂的HDS性能。
本文利用改进的溶剂蒸发诱导自组装工艺,合成了不同铝配位的介孔Al2O3-x。随后采用湿浸渍法合成了双金属NiMo/Al2O3-x催化剂(图1)。

图1. NiMo/Al2O3-x的制备过程示意图。
我们利用X射线衍射(XRD)技术对采用简易方法制备的NiMo/Al2O3催化剂的相组成进行了分析(图2A)。所有催化剂样品在2θ角为19.58°、31.936°、37.603°、39.491°、45.788°、60.457°和66.761°处均展现出γ-Al2O3的特征衍射峰,这些峰与PDF#29-0063中的γ-Al2O3标准衍射峰相匹配。值得注意的是,这些衍射峰的强度和位置在不同煅烧温度下保持不变,这表明即使经过不同温度的热处理,γ-Al2O3的晶体结构仍然稳定。此外,我们未能检测到镍和钼氧化物的典型衍射峰,这一结果暗示了活性组分镍和钼在γ-Al2O3载体上实现了均匀分散。为了进一步探究煅烧温度对NiMo/Al2O3样品中活性组分分散性的影响,我们进行了能量色散X射线光谱(EDS)分析(图2B)。EDS图像显示,NiO和MoO3在γ-Al2O3表面分布均匀,这排除了煅烧温度对样品中活性组分分散性的影响。

图2. NiMo/Al2O3-x的XRD和EDS图谱。
从氮气吸附-脱附曲线图(图3A)中可以观察到,所有NiMo/Al2O3样品均展现出H2型滞后环和IV型等温线特征。值得注意的是,不同煅烧温度下制备的NiMo/Al2O3催化剂的回滞环位置保持一致,这表明制备过程对催化剂的孔结构影响不大。所有样品的孔径一致,大约为3.4 nm(图3B),比表面积均约为130 m2·g。这些结果表明,通过这种简便方法成功制备了一系列具有均匀孔径和比表面积的介孔NiMo/Al2O3催化剂。因此,孔结构和比表面积对NiMo/Al2O3样品在4,6-DMDBT转化中的加氢脱硫活性的影响可以被排除。为了深入探究煅烧温度对NiMo/Al2O3催化剂表面铝配位状态的影响,我们进行了27Al MAS NMR分析(图3C)。五配位的Al物种可能来源于部分四配位Al在Al2O3框架或亚表面的迁移,这些物种具有丰富的不饱和AlV位点,表现为相对较弱的B酸位点。这种酸性位点的弱化显著降低了强金属-载体相互作用(SMSI),从而增加了MoS2和NiMoS活性相的堆积,进而增强了催化剂在4,6-DMDBT加氢脱硫过程中的ISO和HYD路径。通过分析核磁共振谱中不同配位铝的积分面积,我们确定了它们的相对比率(图3D)。NiMo/Al2O3-600样品中五配位铝的含量最高,而进一步提高煅烧温度会导致五配位铝含量的急剧下降。因此,可以推断不同的煅烧温度显著影响了铝物种的配位形态,进而影响了Al2O3与活性相之间的相互作用,最终影响了NiMo/Al2O3催化剂的加氢脱硫性能。

图3. NiMo/Al2O3-x的N2吸附-脱附图,孔径分布图,27Al MAS NMR 光谱图和不同配位的铝的相对含量图。
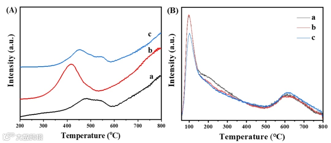
H2-TPR图谱(图4A)显示,所有NiMo/Al2O3样品在200至1000°C的温度范围内均出现了三个明显的还原峰。其中,位于350至550°C的还原峰主要归因于MoO3向MoO2的还原。观察到Mo物种的还原峰初时向低温方向移动,随后又向高温方向移动,这表明增加五配位铝的比例能够有效降低活性相与Al2O3之间的强金属-载体相互作用(SMSI),从而促进MoO3的还原。这种还原过程有利于在随后的硫化过程中形成“II型”NiMoS活性相。NH3-TPD分析图谱进一步揭示了五配位铝含量增加对NiMo/Al2O3-600样品酸性位点的影响。随着五配位铝含量的增加,NiMo/Al2O3-600样品上代表中强酸位点的峰面积显著减小,这表明部分强L酸位点转变为相对较弱的B酸位点。在NiMo/Al2O3-700样品中,随着五配位铝物种的减少和六配位铝物种的明显增加,观察到弱酸位点的峰面积大幅减少,而强酸位点的峰面积略有增加。这表明六配位铝物种的增加可能增强了样品的酸性,从而增强了活性相与γ-Al2O3载体之间的相互作用。这种增强的相互作用可能会对活性极高的“II型”NiMoS相的生成产生阻碍作用。
图4. NiMo/Al2O3-x的H2-TPR和NH3-TPD图谱。
吡啶吸附红外光谱(Py-FTIR)分析结果揭示了总酸量的递减趋势(图5(A-B))。由图可见,随着NiMo/Al2O3-600催化剂上五配位铝含量的增加,B/L比率从0.27显著上升至0.36,增幅约为33.3%。这一变化明确指示了NiMo/Al2O3-600催化剂上B酸位点数量的增加以及L酸位点的相对减少。然而,当煅烧温度升至700℃时,五配位铝的含量降低,导致B/L比值急剧下降至0.26,这表明了L酸位点的增多。因此,可以合理推断,通过调整煅烧温度,该制备方法能够精确控制NiMo/Al2O3催化剂的B/L酸位点比例,从而得到一系列结构相似但酸性不同的NiMo/Al2O3催化剂。

图5. NiMo/Al2O3-x的Py-FTIR光谱。
高分辨率透射电子显微镜(HRTEM)图像分析结果(图6)显示,所有NiMo/Al2O3催化剂样品均呈现MoS2的单层和双层堆积结构。随着五配位铝含量的增加,MoS2的堆积层数从1.37层显著增加至2.07层,以及板长从3.79 nm增加至4.21 nm。然而,当五配位铝含量减少而六配位铝含量增加时,堆积层数下降至1.25层,板层长也相应减少至3.30 nm。这些变化显著地揭示了催化剂表面MoS2活性相形貌随催化剂表面酸性变化的关系。
图6. NiMo/Al2O3-x的HRTEM图。
为了更精确地描述MoS2的平均堆垛数、平均板长以及位于边缘位置的Mo原子百分比,我们对每个硫化物样品的约1000块MoS2薄片进行了计数(图7(A-B))。在硫化NiMo/Al2O3-500催化剂上,MoS2板的平均平板长度为3.79 nm,平均层数为1.37。随着五配位铝含量的增加,在NiMo/Al2O3-600催化剂上,MoS2板的平均板长和层数分别增加了11.1%和51.1%。与NiMo/Al2O3-500相比,位于NiMo/Al2O3-600边缘位点的Mo原子比例从0.34增加到0.53。然而,随着NiMo/Al2O3-700上五配位铝含量的减少,MoS2板的平均堆垛数和平均板长都急剧下降,分别为1.25和3.30。相应地,边缘位置的Mo原子百分比也降至0.30。在 4,6-DMDBT 加氢脱硫过程中,适度的MSI可以促进活性更高的“II型”NiMoS活性相的形成,而适当长度的MoS2板可以在角位置赋予更多的Mo原子,从而促进活性中心对反应物分子的吸附和活化,进而提高相应硫化物催化剂的4,6-DMDBT加氢脱硫活性。原因在于DDS路线在加氢脱硫反应中的催化活性受位于角位的Mo原子影响,而HYD路线的催化活性正依赖于边位Mo原子。因此,硫化物NiMo/Al2O3催化剂的HRTEM观察变化与氧化物NiMo/Al2O3催化剂表面酸度的变化密切相关。

图7. NiMo/Al2O3-x的MoS2的板长和堆垛数。
X射线光电子能谱(XPS)分析了硫化态NiMo/Al2O3-x催化剂Mo化学状态随催化剂表面酸性变化关系。由图8A可见,MoVI物种的特征峰强度呈现轻微下降趋势。这一现象表明,五配位铝的形成导致了较弱的B酸位点,进而降低了MSI,削弱了Mo-O-Al键的强度。这种变化在一定程度上有效地促进了Mo物种的硫化,从而使得硫化物NiMo/Al2O3催化剂的Mo硫化程度依次增加:NiMo/Al2O3-700(0.61) < NiMo/Al2O3-500(0.66) < NiMo/Al2O3-600(0.73)。这些观察结果凸显了五配位铝含量对钼物种硫化程度的重要影响。为了进一步研究硫化态NiMo/Al2O3催化剂表面NiO和NiSx相的相对比例,我们分析了Ni 2p XPS光谱(图8B)。NiMo相的比例呈现出递增趋势:NiMo/Al2O3-700(0.56) < NiMo/Al2O3-500(0.60) < NiMo/Al2O3-600(0.85)。这一趋势表明,大部分硫化镍物种已经嵌入到MoS2结构中,形成了具有高催化活性的NiMoS相。此外,硫化物NiMo/Al2O3催化剂上Ni的硫化程度也呈现出递增趋势:NiMo/Al2O3-500(0.78) < NiMo/Al2O3-600(0.93) < NiMo/Al2O3-700(0.94)。与此同时,非活性NiSx相的比例则呈现递减趋势:NiMo/Al2O3-600(0.08) < NiMo/Al2O3-500(0.18) < NiMo/Al2O3-700(0.38)。这些发现表明,介孔Al2O3载体中增加的五配位铝含量不仅能有效抑制非活性NiSx物种的形成,还能显著促进Ni物种向活性NiMoS相的转化。

图8 NiMo/Al2O3-x硫化后的Mo 3d和Ni 2p XPS谱图。
如图9A所示,4,6-DMDBT的加氢脱硫转化率随着催化剂的液时空速的降低而显著提高。NiMo/Al2O3-600显示出最优的催化性能,这一结果与MoS2堆叠层数和NiMoS相比例的变化趋势相一致。这些发现明确指出,MSI和NiMoS相比例是影响NiMo/Al2O3催化剂催化活性的关键因素,并与催化性能呈正相关。图9B为NiMo/Al2O3-600在加氢脱硫反应过程中的稳定性测试结果。即使在连续反应24小时后,4,6-DMDBT的转化率仍然维持在约94.2%的高水平。这一结果不仅证实了NiMo/Al2O3-600催化剂在加氢脱硫反应中的高效性,也表明了其出色的长期稳定性。

图9. NiMo/Al2O3-x的HDS性能图和NiMo/Al2O3-600的稳定性结果。
通过气相色谱-质谱联用技术(GC-MS)对NiMo/Al2O3-x催化剂的反应产物进行了分析,如图10所示的反应路径。NiMo/Al2O3-600催化剂产生的异构化产物(ISO)数量最多,紧随其后的是NiMo/Al2O3-500和NiMo/Al2O3-700。这一趋势与NiMo/Al2O3-x催化剂中B酸位点的比例高度一致。这表明,通过调节催化剂表面铝原子的配位状态,可以显著促进B酸位点的形成,从而增强催化剂通过ISO途径的催化活性。这种调节很可能是导致NiMo/Al2O3-600在4,6-DMDBT转化过程中HDS性能显著提高的主要原因。

图10. NiMo/Al2O3-x的4,6-DMDBT加氢脱硫反应路线图。
如图11A所示,B酸含量与五配位铝含量之间存在显著的正相关性:随着五配位铝含量的增加,B酸含量相应提高;反之,随着五配位铝含量的减少,B酸含量也随之降低。在所测试的催化剂中,NiMo/Al2O3-600展现出最佳的HDS性能。如图11(B-C)所示,NiMoS在NiMo/Al2O3催化剂上的堆叠层数和比例与B/L比率呈正相关。这一发现进一步揭示了通过调节NiMo/Al2O3催化剂表面铝的配位状态,可以有效调控表面酸度、SMSI以及活性NiMoS相的形态。已有研究证实,增加HDS催化剂中的B酸含量可以显著促进ISO途径的发展。因此,在本研究中,我们通过调整Al2O3载体的煅烧温度,改变了NiMo/Al2O3催化剂表面铝的配位状态,从而实现了B酸含量的可控调节。相应地,催化剂的ISO途径和HDS性能得到了显著提高。如图11D所示,NiMo/Al2O3催化剂中的B/L比值与4,6-DMDBT转化率的变化趋势呈正相关。结果表明,催化剂的B/L比值越高,其ISO反应速率越快,进而导致催化剂对4,6-DMDBT加氢脱硫的总反应速率和催化活性越高。

图11. 五配位铝比率与B酸位点之间的关系图,B/L比率与NiMoS平均堆积层之间的关系图,B/L比率与NiMoS比率之间的关系图和4,6-DMDBT加氢脱硫性能与B/L比率之间的关系图。
综上所述,本研究通过调节煅烧温度,成功合成了一系列具有均匀比表面积和孔径,但配位铝含量各异的介孔镍钼铝氧化物催化剂。实验结果清晰地揭示了五配位铝含量的增加对催化剂表面酸度、强金属-载体相互作用(SMSI)、活性相形貌以及活性NiMoS相比例的显著影响。特别地,在600°C下制备的 NiMo/Al2O3-600样品中,五配位铝的比例最高,相较于四配位和六配位铝,五配位铝展现出更丰富的布朗斯特酸特性,这显著促进了4,6-二甲基二苯并噻吩(4,6-DMDBT)的加氢脱硫过程中的异构化和直接脱硫途径。因此,NiMo/Al2O3-600催化剂在4,6-DMDBT加氢脱硫反应中的转化率达到了94.5%,明显优于NiMo/Al2O3-500(转化率为74.4%)和NiMo/Al2O3-700(转化率为62.7%)的催化性能。本研究的发现不仅加深了我们对表面酸度与加氢脱硫活性之间结构-性能关系的理解,而且为未来设计和制备更高效的超深度加氢脱硫催化剂提供了坚实的基础。
通讯作者:刘计省,男,博士,副教授,硕导,田纳西大学/美国橡树岭国家实验室博士后。自入职以来,主要从事多孔材料的设计、制备及其在油品超深度脱硫及柴油机尾气/烟气净化方面的研究工作。截止目前,主持国家及省部级基金7项,发表AIChE J.,Chem. Eng. Sci.,ACS Catal.,等SCI论文60余篇,他引2500余次,2篇论文入选ESI高被引论文;授权国家发明专利2件,担任中国稀土学会催化专业委员会委员、中国化学学会会员、中国化工学会会员、Advanced Powder Materials、Petroleum Science、中国稀土学报(中英文)、石油学报(石油加工)、燃料化学学报(中英文)青年编委。
通讯作者:朱文帅,男,教授,博导,国家优秀青年科学基金获得者,中国石油大学(北京)化学工程与环境学院副院长。科研工作涉及石油化工、绿色化学和环境催化等领域,近年来主要从事新型催化剂和吸附剂的设计及其用于汽、柴油超深度脱硫的研究工作,先后主持和参与了多项国家自然科学基金、国家博士后科学基金、江苏省自然科学基金等课题,共计发表SCI收录论文150余篇。近些年工作发表在Nature Commun.,Angew. Chem. Int. Ed., AIChE J., Small, Chem. Commun., Green Chem., ChemSusChem., Europ. Chem. J., Chem. Eng. J., Ind. Eng. Chem. Res. 等期刊,被引用5000余次。研究方向:1. 绿色化工:基于石油化工领域的汽、柴油超深度脱硫,着重新型催化剂、吸附剂的设计和清洁生产工艺研究。2. 新型化工材料制备:二维层状材料、介孔材料、新型离子液体设计制备及其在能源领域的应用。3. 环境保护化学:新型吸附剂设计及去除环境中持久性性有机污染物,研究污染控制技术中的化学问题。
欢迎关注我们,订阅更多最新消息
“邃瞳科学云”推出专业的自然科学直播服务啦!不仅直播团队专业,直播画面出色,而且传播渠道多,宣传效果佳。
“邃瞳科学云"平台正在收集、整理各类学术会议信息,欢迎学会、期刊、会议组织方择优在邃瞳平台上进行线上直播,希望藉此帮助广大科研人员跨越时空的限制,实现自由、畅通地交流互动。欢迎老师同学们提供会议信息(会有礼品赠送),学会、期刊、会议组织方商谈合作,均请联系潘经理:18612651915(微信同)。
投稿、荐稿、爆料:Editor@scisight.cn