
第一作者:俞航
通讯作者:毛善俊,王勇
通讯单位:浙江大学
论文DOI:10.1021/acscatal.4c02141
通过氨氧化合成腈类化学品的多组分反应是一个重要的工业过程。然而,复杂的反应网络和催化活性位点使得结构-性能关系研究和随后的高效催化剂的合理设计变得相当具有挑战性。在这项工作中,高效的VOx/TiO2催化剂具有简洁的组分和精致的结构设计,在2070 h–1下对3-甲基吡啶氨氧化反应具有98%的转化率和95%的选择性。在阐明氧化脱氢过程是整个反应过程的限速步之后,钒-钛界面上活性表面晶格氧的数量被认为是高转化率和抑制氧化副反应的关键,因为低反应温度有利于扩大不同能垒的速率差异。此外,原位形成的V2O5微晶没有采用传统的碱性组分中和方法,而是巧妙地覆盖了VOx/TiO2催化剂上的强酸位点,防止了3-氰基吡啶中吡啶氮在强酸位点的强吸附而导致的严重的水解副反应。
通过氨氧化直接合成腈是一个清洁和环境友好的多组分反应过程,常用于合成烟酰胺等重要精细化学品。由于氨氧化反应所用的单个催化剂上结合了氧化和氨解过程,因此它涉及包括副反应在内的多个子反应。各个子反应之间的竞争和串联严重影响反应选择性。二氧化碳作为最常见的副产物是选择性控制的重点。通常,在氨氧化催化剂上,氧化脱氢的活化能低于过氧化为CO2的活化能。因此,提高选择性的关键方法之一是提高催化剂活性,降低反应温度。对于氨氧化反应,必须有足够的酸位点来活化氨气。但过强的酸度会导致与反应物的强相互作用,从而降低选择性。因此,有必要同时考虑氧化还原性和酸度。
1. 本文制备了具有可控钒-钛界面的VOx/TiO2催化剂,结合催化活性和动力学研究,阐明其对3-甲基吡啶氨氧化的结构要求。
2. 反应动力学表明,氧化脱氢步骤在3-甲基吡啶氨氧化的各种子反应中是决速步,这表明在实现钒物种的单层覆盖之前,酸位点始终是有保证的。由此催化活性与表面晶格氧数量之间的相关性被证实。
3. 强酸位点增强了3-甲基吡啶的吸附从而导致过氧化或水解反应,降低3-氰基吡啶的选择性。通过略过量的V2O5负载形成少量结晶V2O5,原位覆盖强酸位点,防止了水解副反应,在不损失活性的情况下达到95%的最佳选择性。
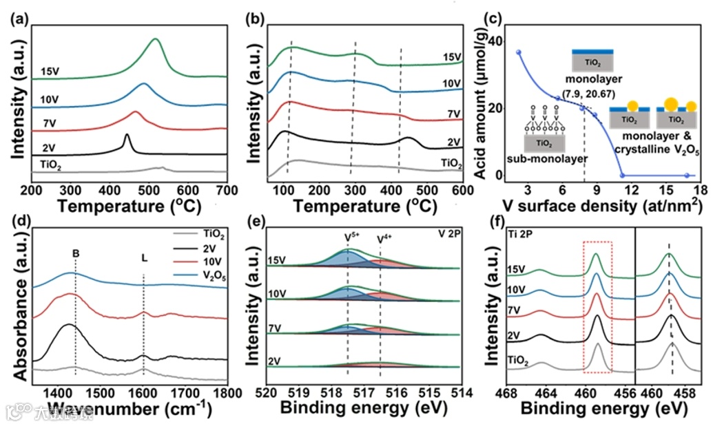
对于负载型钒基催化剂,载体上的VOx物种可以以三种形式存在,即单体钒氧物种、多聚钒氧物种和晶相V2O5。同时,VOx物种的状态与多种因素密切相关,如载体的表面性质、环境温度和V2O5负载量。通常,在低氧化钒负载量的条件下,单体钒氧物种可以出现在载体的表面上,而当氧化钒负载量高时,会形成多聚钒氧物种和晶相V2O5。单层覆盖的概念由此提出来以区分晶相V2O5是否形成在载体的表面上。在Al2O3、TiO2、ZrO2、Nb2O5和CeO2等许多载体上,单层覆盖的表面VOx物种密度约为7–8 VOx/nm2,而在SiO2上仅约为2.5 VOx/nm2。

本文通过浸渍法制备了一系列不同V2O5负载量的VOx/TiO2催化剂,图1显示了其相应结构表征。通过XRD、Raman、UV–vis和电镜等一系列表征证实了通过控制V2O5的负载量,可以制备不同表面钒物种的VOx/TiO2催化剂。随着 V2O5 负载的增加,表面聚合物/单体VO4物种的比例不断增加,直到形成单层。在单层以上,晶相V2O5形成并覆盖表面的钒种,而晶体尺寸将随着V2O5负载量的增加而进一步增大。

如图2a所示,VOx/TiO2催化剂表现出较低的还原温度,这说明VOx物种和TiO2载体之间的相互作用增强了可还原性。此外,由于VOx物种的低聚,还原温度随着钒含量的增加而升高,反映出相关氧阴离子的反应性降低。图2b的NH3-TPD曲线和图2c表明,强酸量随着V2O5负载量的增加而减少,在约7 wt%的V2O5负载量时趋于平缓,并且曲线的拐点正位于VOx物种在TiO2上的分散度(7–8 VOx/nm2)附近。
吸附NH3的红外光谱(图2d)证实了引入V后钒-钛界面处产生了大量的Brönsted酸位点。VOx/TiO2催化剂的V 2p XPS光谱结果如图2e所示。在任何样品中都没有对应于515.5 eV的V3+价态的明显特征峰,V5+价态在总钒物种中的比例随着V2O5负载量的增加而增加。VOx/TiO2催化剂的Ti 2p的XPS光谱如图2f所示,随着负载的增加,结合能向更高方向的轻微偏移表明Ti和V离子之间的电子转移,从而证实了VOx物种和TiO2之间的强相互作用。

对于3-甲基吡啶的氨氧化反应,其路径如图3所示,通过氧化脱氢、氰化和水解步骤依次地进行。它始于3-甲基吡啶在酸性位点上的吸附,然后经过第一步氧化脱氢到3-吡啶甲醛(3-PA),3-吡啶甲醛是反应的中间产物。随后,3-吡啶甲醛经过第二步氧化脱氢到烟酸(NA)与经过氰化生成3-氰基吡啶两个子反应平行发生。在水存在的情况下,3-氰基吡啶也可以通过水解转化为烟酸。

图4 VOx/TiO2催化剂的氨氧化催化活性和反应动力学研究。
不同负载量的VOx/TiO2催化剂应用于3-甲基吡啶的氨氧化反应的催化性能如图4a和4b所示。在高转化率(> 80%)下,对于负载量为单层覆盖度以下的VOx/TiO2催化剂,随着3-甲基吡啶转化率的增加,3-氰基吡啶的选择性逐渐降低(< 75%,297 oC)。而含有少量晶相V2O5的10V/TiO2催化剂表现出优异的低温催化性能和对3-氰基吡啶的最高催化选择性。但是V2O5负载量的进一步增加(15V/TiO2)导致在相同温度下3-甲基吡啶的转化率急剧下降(< 90%,297 oC)。
为了进一步探索VOx/TiO2催化剂上的氨氧化反应途径,根据Arrhenius曲线计算了反应表观活化能,如图4c所示。对于所有测量的催化剂,活化能被确定为134.0 ± 1.5 kJ/mol。这表明氨氧化反应可能遵循相同的反应途径,或者至少遵循相同的速率控制步骤,与表面V2O5负载量无关。3-甲基吡啶、NH3和O2在这些催化剂上的反应级数也被探究。如图4d所示,对于所有催化剂,NH3的反应级数始终为负。这表明3-甲基吡啶和NH3在活性位点上存在强烈的竞争吸附,并且NH3在反应过程中供应充足。此外,O2的反应级数始终为正(图4e)。O2的反应级数增加表明较少的气态O2在催化剂表面被活化以参与反应。此外,所有VOx/TiO2催化剂的3-甲基吡啶的正反应级数也证实了氧化脱氢是速率控制步骤(图4f)。

通过在反应过程中改变水的分压来研究水的影响(图5b和5c)。可以看到增加水的分压导致转化率略有下降,但产率显著下降。在所有测试的VOx/TiO2催化剂的3-氰基吡啶产率几乎相同。这说明在充足的H2O供应下,3-氰基吡啶可能通过水解最大限度地转化为烟酸。选择性的降低程度与催化剂的酸性呈正相关,因为水解反应是一个酸催化反应。因此,控制催化剂的表面酸性对于提高3-氰基吡啶的选择性至关重要。
考虑到氧化脱氢步骤是速控步,反应速率取决于表面底物的浓度和活性晶格氧的数量。通过O2-TPD表征得到VOx/TiO2催化剂的氧物种的类型和相对量(图5d)。氧物种可根据温度范围分为表面吸附氧(50–300 °C)、表面晶格氧(300–600 °C)和体相晶格氧(> 600 °C)。通过将表面晶格氧的数量(450 °C)与TOF(转换频率)值相关联,可以观察到线性关系的存在(图5e)。这清楚地表明钒的表面密度决定了表面晶格氧的数量,并最终影响了它们的氧化脱氢能力(图5f)。
综上所述,本工作深入研究了在TiO2载体上负载各种VOx物种的VOx/TiO2催化剂的结构和其催化性能。研究表明,在不牺牲催化活性的情况下,保持适度水平的表面晶格氧数量和表面酸性对于提高选择性至关重要,而原位形成的微晶V2O5通过巧妙地覆盖VOx/TiO2催化剂上的强酸性位点实现了这一点。这项研究为钒基催化剂结构与性能之间的复杂关系提供了宝贵的见解,为氨氧化工艺催化剂的合理设计提供了指导。
Yu, H.; Mao, S.; Lu, B.; Wang, H.; Zhang, X.; Qi, M.; Gao, R.; Wang, Y. Optimizing Selectivity in VOx/TiO2 Catalysts for Ammoxidation: Insights from Structure–Performance Relationships. ACS Catal. 2024, 14, 8720-8729.
俞航(论文第一作者),浙江大学化学系王勇教授课题组硕士研究生,研究方向为催化化学。
王勇(论文通讯作者),,浙江大学化学系求是特聘教授,博士生导师,催化研究所所长。国家重点研发计划项目首席科学家,中组部“万人计划”青年拔尖人才、国家优秀青年基金及杰出青年基金获得者。荣获第九届中国催化青年奖、侯德榜化工科技-创新奖等荣誉。王勇教授课题组致力于工业催化剂的研发,特别是基于多孔炭及金属氧化物的负载型纳米金属催化剂的开发及相关反应机理的研究,所研发的多个催化剂在工业上得到应用,产生了显著的经济和社会效益。在Chem, J. Am. Chem. Soc., Nat. Commun等期刊上发表SCI论文170余篇,被引用2.4万余次,H-index 68。获授权国家发明专利50余件。研究成果荣获中国专利金奖、中国石油与化学工业联合会“发明特等奖”、浙江省科学技术奖“发明一等奖”及“自然科学一等奖”等奖项。
毛善俊(论文通讯作者),浙江大学化学系副研究员。从事多相催化的实验与理论计算研究,聚焦选择性加氢、氢甲酰化以及塑料回收利用等方面的过程控制、构效关系研究以及新路线开发。目前已在Ind. Eng. Chem. Res., Chem, J. Am. Chem. Soc., Angew. Chem. Int. Ed., Nat. Commun.等期刊发表论文50余篇,被引3700余次,获授权发明专利15件,H-index 32。承担和参与国家和省部级项4项。申请人参与开发的高效加氢催化剂成功实现无铅、无有机助剂炔醇半加氢工业应用。研究成果荣获浙江省科学技术奖“发明一等奖”(2/6)及“自然科学一等奖”(5/5)、中国石油与化学工业联合会“发明特等奖”(4/30)、中国专利金奖(5/9)、浙江省首届知识产权奖“专利一等奖”(2/3)等奖励。
课题组主页:http://www.chemwy.cn/index.php
欢迎关注我们,订阅更多最新消息
“邃瞳科学云”推出专业的自然科学直播服务啦!不仅直播团队专业,直播画面出色,而且传播渠道多,宣传效果佳。
“邃瞳科学云"平台正在收集、整理各类学术会议信息,欢迎学会、期刊、会议组织方择优在邃瞳平台上进行线上直播,希望藉此帮助广大科研人员跨越时空的限制,实现自由、畅通地交流互动。欢迎老师同学们提供会议信息(会有礼品赠送),学会、期刊、会议组织方商谈合作,均请联系潘经理:18612651915(微信同)。
投稿、荐稿、爆料:Editor@scisight.cn