
第一作者:房昭会
通讯作者:向全军,王国宏,张建军
通讯单位:电子科技大学,湖北师范大学,中国地质大学(武汉)
论文DOI:10.1002/anie.202411219
近日,电子科技大学向全军教授/湖北师范大学王国宏教授/中国地质大学(武汉)张建军博士等人在国际知名期刊Angewandte Chemie International Edition上发表题为“Reducing Dielectric Confinement Effect Enhances Carrier Separation in Two-dimensional Hybrid Perovskite Photocatalysts”研究性文章。具有有机层和无机层交替结构的二维有机-无机杂化钙钛矿(OIHPs)具有天然的量子阱结构。该结构中有机层与无机层之间介电常数的差异会导致介电约束效应增强,从而表现出较大的激子结合能,阻碍光生电子空穴的分离。本文提出了一种通过缩小有机胺分子与[PbBr6]4-八面体之间的介电常数差异来减小介电约束的策略。其中乙醇胺(EOA)中含有羟基,导致O和H的正负电荷中心不重叠,从而产生较大的极性和介电常数,结果显示(EOA)2PbBr4的激子结合能(71.03 meV)小于(PEA)2PbBr4 (156.07 meV),更小的激子结合能有利于光生电子和空穴的分离和传输。除此之外,基于飞秒瞬态吸收光谱和DFT计算表明了(EOA)2PbBr4具有较小的激子结合能使其具有更长的载流子寿命进而更有效地促进激子解离。最后,本工作还首次探索了(PEA)2PbBr4和(EOA)2PbBr4在光催化CO2还原领域中的应用。
有机-无机杂化钙钛矿材料具有光吸收范围广、载流子传输寿命长、禁带宽度可调以及制备成本低等独特优势,已经成为太阳能电池、光电探测器和发光二极管等领域中的潜在候选者。同时,利用光催化技术将可再生太阳能转化为化学能和高附加值燃料被认为是解决能源和环境问题的绿色途径。近年来,有机-无机杂化钙钛矿在光催化水分解、光降解有机反应和二氧化碳光还原等领域得到了广泛研究,并表现出较高的能量转换效率。有机-无机杂化钙钛矿中的A位阳离子被一些长链有机胺分子取代,形成了有机层和无机层交替周期性的A2BX4二维层状量子阱结构。由于有机层与无机层之间介电常数的差异,这种结构通常表现出较大的激子结合能,从而限制了光生电子和空穴的分离和传输。
因此,调节有机-无机杂化钙钛矿光生电子和空穴的行为可有效提高光催化二氧化碳还原性能。根据介电限域效应,当光生电子和空穴的电场线位于介电常数相对较小的周围介质中时,电子和空穴之间的库仑力将会增强,不利于光生电子和空穴的分离。也就是说,用介电常数较大的有机分子作为A位阳离子,会缩小与无机层之间介电常数的差异,从而促进光生电子和空穴的分离。
1. 基于介电限域理论出发,制备了两种介电常数不同的有机无机杂化钙钛矿光催化材料(PEA)2PbBr4和(EOA)2PbBr4。其中,与PEA阳离子相比,EOA+中含有羟基,O和H的正负电荷中心不重合会产生较大的极性。实验数据证明(EOA)2PbBr4相比于(PEA)2PbBr4具有较大的介电常数和较小的激子结合能。
2. 理论计算也证明了(EOA)2PbBr4中C/H/N的总DOS对介电限域效应的贡献更大,结果显示C/H/N与Pb、Br之间的总DOS之间小的能量偏移更有利于光生电子和空穴的传输。
3. 得益于介电限域效应的减弱而促进的光生电子和空穴的有效分离,我们探索了二者在光催化CO2还原领域中的应用,结果显示EOA2PbBr4的光催化CO的产量大约是PEA2PbBr4的2倍。
Figure 1. (a) Schematic of crystal structure models of OIHPs. (b) XRD patterns of (PEA)2PbBr4, (EOA)2PbBr4 and the simulated results from crystal structure. (c) The strategy for enhancing dielectric constant and reducing exciton binding energy in (PEA)2PbBr4 and (EOA)2PbBr4. (d) The charge density difference distribution of (PEA)2PbBr4 and (EOA)2PbBr4. The yellow and cyan color represent the accumulation and dissipation the charges, respectively (Isosurface level: 0.00203).
Figure 1a给出了二者结构的示意图,杂化钙钛矿的结构一般由有机离子和无机离子交替排列而成,有机阳离子与无机离子之间通过离子键连接,形成二维层状结构。Figure 1b给出了二者的XRD图谱,可以看出测得的数据与模拟的峰位相吻合。我们总体设计策略如Figure 1c所示,具有量子阱结构的OIHPs通常表现出较大的激子结合能。EOA分子相对于PEA有较大的极性和介电常数,那么根据介电限域理论,随着有机层介电常数的增大,电子和空穴之间的库仑力减小,导致激子玻尔半径增大、结合能降低。利用密度泛函理论(DFT)计算了二者的差分电荷密度图,如Figure 1d所示,与(PEA)2PbBr4相比,(EOA)2PbBr4总的电子积累区域面积要大(黄色区域),表明(EOA)2PbBr4具有较小的激子结合能促进了电子和空穴的解离,产生了更多的自由载流子。

Figure 2. (a) The frequency-dependent dielectric constant measurement of (PEA)2PbBr4 and (EOA)2PbBr4 (Inset is using paralleled capacitor with DC power to for dielectric measurements). (b) Integral PL intensities of (PEA)2PbBr4 and (EOA)2PbBr4 with the temperature changes (Inset is the temperature-dependent PL emission spectra). (d) Schematic diagram of the exciton emission and phonon-assisted process with the traps state at different temperature.
如Figure 2a所示,我们采用平行板电容法测试了两种钙钛矿的介电常数。(PEA)2PbBr4和(EOA)2PbBr4在高频处的相对介电常数分别为12.43和28.92。较高的介电常数是由于(EOA)2PbBr4中O-H键引起的较大极性。又分别对PEA2PbBr4和EOA2PbBr4进行变温荧光光谱测试(温度从60-270 K),拟合出二者的激子结合能分别为156.07 ± 3.6 meV 和71.03 ± 4.5 meV,表明介电常数的增加能起到降低激子结合能的作用。(EOA)2PbBr4的光致发光光谱相对于(PEA)2PbBr4来说,除了有来自于434 nm处本征带隙的发射峰以外,还可以明显地看到在550 nm处有缺陷能级的发光。根据之前的报道,由于卤素钙钛矿材料的“软”晶格特性使其一般具有较强的电子声子耦合作用,其受激发后产生的电子-空穴对很容易引起晶格畸变从而被晶格捕获,导致了缺陷能级的发光。在低温时,缺陷能级捕获来自导带的电子随即与价带的空穴复合发射出光子;随着温度的升高,缺陷能级中捕获的电子在声子的辅助下会返回至导带。由于(EOA)2PbBr4中缺陷能级的存在,在一定程度上阻止了电子-空穴的复合,增加了电子-空穴分离的另一种途径,相应的机理如Figure 2d所示。

Figure 3. DFT calculated PDOS of (PEA)2PbBr4 (a) and (EOA)2PbBr4(b). The fermi energy was set to zero. TRPL spectra of (PEA)2PbBr4 and (EOA)2PbBr4 at 270 K (c) and 60 K (d).
为了进一步了解有机阳离子如何影响整体电子结构,接下来分析了二者中C/H/N的总DOS如Figure 3a, b所示。可以发现(PEA)2PbBr4中的C/H/N的总DOS比(PEA)2PbBr4中的更接近价带边缘。(在这里不考虑对导带的贡献,C/H/N的总DOS对导带贡献的位置比较深,不能够对能带限域起作用)。C/H/N与Pb/Br的总DOS之间的小能量偏移有利于激子的解离,也导致了EOA+有机层和[PbBr6]4−八面体无机层之间电子和空穴传输的屏障变小。我们又测试了(PEA)2PbBr4和(PEA)2PbBr4分别在270 K和60 K时的光致发光寿命如图Figure 3c,d所示,EOA2PbBr4寿命的延长归属于介电限域效应的减弱促进了电子-空穴的分离。

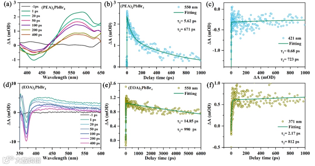
Figure 4. Femtosecond transient absorption (fs-TA) spectra of (PEA)2PbBr4 (a) and (EOA)2PbBr4 (d) from different time delays under 340 nm laser excitation. Decay dynamics traces of (PEA)2PbBr4 (b) and (EOA)2PbBr4 (e) monitored at the absorption of excited states (550 nm). Decay dynamics traces of (PEA)2PbBr4 (c) and (EOA)2PbBr4(f) monitored at the ground state bleaching (421 and 371 nm).
光生电荷高效分离是一个非常复杂的多时间和多空间尺度的过程,涉及体相、表面以及界面光生载流子的激发和复合过程,时间范围从飞秒到皮秒之间不等,为了进一步了解二者的光生载流子动力学,采用飞秒瞬态吸收光谱进一步进行了研究。在相同的脉冲激光功率激发下,发现由载流子引起的激发态吸收强度(EOA)2PbBr4大约是(PEA)2PbBr4的二倍,这表明了由于(EOA)2PbBr4具有较低的激子结合能而具有较高的激子解离能力。其他拟合结果也进一步揭示了(EOA)2PbBr4具有较小的激子结合能使其具有更长的载流子寿命进而更有效地促进激子解离。

Figure 5. (a) Time-dependent production rate of CO on (PEA)2PbBr4 and (EOA)2PbBr4. (b) GC-MS spectra under 13CO2 atmosphere over (EOA)2PbBr4 photocatalyst (the inset shows the peaks of CO measured by gas chromatography). The repeated cycle of (PEA)2PbBr4 (c) and (EOA)2PbBr4(d) photocatalytic CO2 reduction. The error bar is obtained by testing three sets of experimental data and then calculating the mean and standard deviation.
最后,我们验证了二者在光催化领域应用的潜力。如图Figure 5a所示,在光激发下,(PEA)2PbBr4和(EOA)2PbBr4的CO产率随着光催化反应时间的延长而逐渐升高。当光照时间达到4.5 h时,二者的CO产量分别达到了43.8 μmol g-1和84.1 μmol g-1。(EOA)2PbBr4产量高的原因是因为有较强电子-空穴分离能力,从而使更多的载流子迁移到反应活性位点参与CO2还原反应。为了进一步验证反应产物的碳源,对(EOA)2PbBr4进行了以13CO2为原料的同位素标记光催化实验如Figure 5c所示,质谱分析结果清楚地确定了主要反应产物为13CO (m/z = 29),插图为气相色谱测得的CO的峰。这表明得到的碳产物来源于CO2,而不是合成和反应过程中其他杂质的分解。由Figure 5c, d可以看出,在5个光催化CO2循环还原反应后,结果清楚地表明花(PEA)2PbBr4和(EOA)2PbBr4催化剂没有发生明显的失活,说明其具有良好的物理化学稳定性。
综上所述,基于介电约束效应制备了两种不同介电常数的有机-无机杂化钙钛矿材料。我们发现介电常数较大的EOA分子插入[PbBr6]4-层之间,增加了(EOA)2PbBr4的极性,产生较小的激子结合能。理论计算和实验数据均表明,(EOA)2PbBr4具有比(PEA)2PbBr4更强的电子空穴分离能力。又进一步探讨了(PEA)2PbBr4和(EOA)2PbBr4在光催化CO2还原中的应用。结果表明,(EOA)2PbBr4比(PEA)2PbBr4的CO产率高出近2倍,大大提高了载流子迁移率,上述发现拓展了有机-无机杂化钙钛矿材料在光催化CO2还原中的潜在应用,也为增强载流子迁移行为提供了有效途径。
Zhaohui Fang, Guohong Wang*, Chen Guan, Jianjun Zhang*, Quanjun Xiang*. Reducing Dielectric Confinement Effect Enhances Carrier Separation in Two‐dimensional Hybrid Perovskite Photocatalysts. Angew. Chem. Int. Ed. 2024, e202411219
https://doi.org/10.1002/anie.202411219
向全军,电子科技大学教授、博士生导师。2012年5月博士毕业于武汉理工大学材料复合新技术国家重点实验室。主要从事材料化学与微电子学等交叉学科研究,主持国家自然科学基金、教育部基金、四川省科技厅等国家省部级课题多项,获多项国家发明专利。近年来,在半导体纳米材料的制备和应用方面开展了相关研究工作,取得一系列重要的研究结果,在J. Am. Chem. Soc.、Adv. Mater.、Angew. Chem. Int. Ed.、Chem. Soc. Rev.、 Energ. Environ. Sci.等国际期刊上发表SCI论文100余篇,论文SCI他引11200余次,3篇论文SCI他引超过1000余次,20篇论文被评为ESI高被引论文。连续7年入选科睿唯安“全球高被引学者”、爱思唯尔“中国高被引学者榜单”,获2016年和2018年湖北省自然科学一等奖(均为第二完成人)。
王国宏,博士,湖北师范大学教授,硕士生导师。主要从事多相催化和光催化方向研究工作,涉及纳米功能材料的可控制备、半导体光催化材料在能源(光催化制氢、CO2还原制有机燃料)和环境(有机废水净化、光催化降解室内空气中甲醛等VOCs)领域的应用研究。主持国家自然科学基金面上项目等10余项教科研项目。在Nano Energy, Applied Catalysis B: Environmental、Chinese Journal of Catalysis、Carbon等国际刊物上发表SCI收录科研论文50余篇;论文SCI正面引用、评价3300余次,个人H指数26。以第一作者或第一通讯作者发表中科院1区论文16篇,1篇入选中国百篇最具影响国际学术论文,3篇入选ESI 0.1%热点论文,12篇入选ESI 1%高被引论文。以主要完成人获湖北省自然科学二等奖1项,科技进步三等奖3项,以第一完成人获黄石市自然科学优秀学术成果一等奖1项。学术兼职:国家自然科学基金评审专家、湖北省科技厅科技专家库评审专家、湖北省化学化工学会催化专业委员会委员、50余种SCI期刊特邀论文评审人。
张建军,博士,中国地质大学(武汉),主要从事光催化剂和钙钛矿太阳能电池中电子转移机理研究,聚焦于利用飞秒瞬态吸收光谱技术解析半导体异质结内超快光生电荷动力学过程。入选2022年中国博士后国际交流计划(派出项目),主持国家自然科学基金青年科学基金项目,中国博士后科学基金第3批特别资助(站前)和第70批面上项目。近五年来,在Adv. Mater.、Angew. Chem. Int. Ed.、Matter、Adv. Sci.、Appl. Catal. B、Small等国际SCI期刊发表论文26篇,其中第一作者及通讯作者论文13篇,SCI他人引用2100余次,个人引文指数H为19。
欢迎关注我们,订阅更多最新消息
“邃瞳科学云”推出专业的自然科学直播服务啦!不仅直播团队专业,直播画面出色,而且传播渠道多,宣传效果佳。
“邃瞳科学云"平台正在收集、整理各类学术会议信息,欢迎学会、期刊、会议组织方择优在邃瞳平台上进行线上直播,希望藉此帮助广大科研人员跨越时空的限制,实现自由、畅通地交流互动。欢迎老师同学们提供会议信息(会有礼品赠送),学会、期刊、会议组织方商谈合作,均请联系潘经理:18612651915(微信同)。
投稿、荐稿、爆料:Editor@scisight.cn