第一作者:邓永玺
通讯作者:祝可成 副教授;贾汉忠 教授
通讯单位:西北农林科技大学资源环境学院
论文DOI:doi.org/10.1021/acs.est.4c03414
太阳辐射对干旱半干旱陆地生态系统中植物凋落物分解过程的碳动态及挥发性碳释放有着重要的调节作用。有研究表明,木质素控制着这一过程中的碳损失。然而,木质素光降解过程中产生CO2和CH4的机制仍不清楚。本研究表明,植物凋落物及木质纤维素组成成分的光矿化结果均显示木质素是CO2和CH4释放的主要来源。表征结果和自由基分析揭示了CO2是由愈创木基丙烷结构氧化产生的羧酸脱羧形成。该反应涉及到O2、超氧自由基和木质素形成的持久性自由基(PFRs)之间的反应。其中,PFRs向O2转移电子形成的超氧自由基贡献了光生成CO2 43.2%的产量。有趣的是,作为木质素光解产物的邻二甲氧基苯类化合物的脱甲基反应展现了一种未被报道的且不依赖于O2的CH4形成途径。这对于更深入理解干旱半干旱生态系统中的碳平衡具有重要意义。
近年来,相关研究发现非生物因素,特别是太阳辐照,在干旱半干旱陆地生态系统中对植物凋落物的分解起着主导作用。其中,木质素的含量决定了凋落物的光敏性。因此,在自然环境中,尤其是在微生物活动不强烈的干旱半干旱生态系统中,木质素的光化学反应在凋落物的分解和碳损失中扮演重要角色。更重要的是,随着凋落物质量损失,还会释放出碳基气体产物,包括CO2和CH4,这可能对全球温室气体的收支产生重要影响。然而,植物体化合物中碳基气体排放的潜在来源或前体尚不清楚。有一些研究表明,果胶、纤维素等植物组分在紫外光照射下会释放温室气体;同时,光敏剂产生的羟基自由基可能诱导温室气体的产生。但这些研究并没有从分子层面揭示温室气体的形成机理。并且关于木质素光降解与温室气体释放之间的关系仍不明确,其潜在机制需要进一步研究。
1. 揭示了木质素分子在大气氛围下光降解过程中CO2和CH4的形成机理。
2. 指出了环境自由基(尤其是超氧自由基)在木质素光矿化形成CO2过程中的重要作用。
3. 指出了木质素光矿化过程中CH4的形成与O2无关。
4. 讨论了木质素在大气氛围下光降解形成CO2和CH4的前体物质。

图1 植物凋落物光降解前后木质素含量的变化(a)以及木质素含量变化量与二氧化碳产量的关系(b)。纯木质素光降解过程中二氧化碳(c)和(d)产量的动态变化。
在植物凋落物的光降解过程中,检测到了CO2和CH4的形成。并且随着木质素分解程度的增加,CO2产量也相应增加。在纯木质素的光降解过程中,同样检测到了大量CO2的形成以及CH4的产生。随着光照时间的延长,第四天时CO2产量达到最大值,而CH4产量则持续增加。

图2 木质素光照前后的C 1s(a)和O 1s(b)的XPS精细谱以及1H NMR(c)图谱。
表征结果说明,木质素的光矿化过程伴随着醌和羧酸的形成,以及苯环和甲氧基含量的减少。这说明木质素的光矿化伴随着氧化过程的发生,而产生的羧酸被证明是二氧化碳生成的前体物质。

图3 木质素光照过程中PFRs、DMPO-OOH和DMPO-CH3、PBN-OH的EPR图谱(⚪代表DMPO-OOH信号,×代表DMPO-CH3信号,▽代表PBN-OH信号)。
同时,在木质素的光降解过程中,形成了一些新的PFRs以及活性氧。随着光照时间的延长,PFRs和超氧自由基信号的强度都存在一个先增加后减少的趋势。

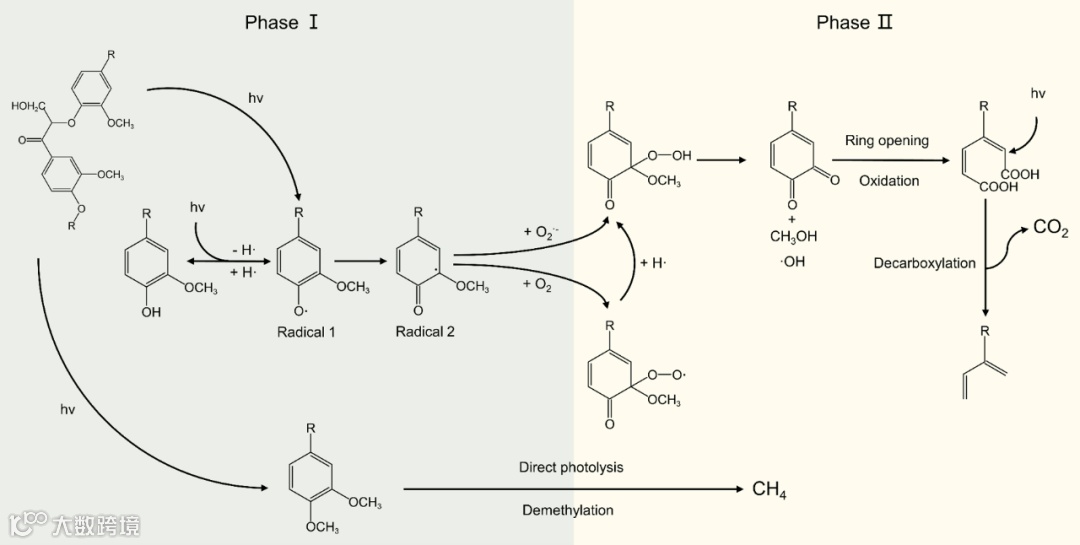
根据表征结果和自由基的测定,对木质素光降解过程中CO2和CH4的形成机理进行了分析:在光降解初期,木质素分子发生了化学键的断裂,导致了木质素大分子的解聚以及酚羟基的形成。新形成的酚羟基进一步产生苯氧自由基,随后经电子转移生成碳中心自由基。氧气分子以及由PFRs转移电子形成的超氧自由基与这种碳中心自由基发生反应,氧化形成羧酸,并进一步脱羧形成CO2。而CH4则是由木质素光降解过程中产生的邻二甲氧基苯类化合物直接脱甲基形成。
本研究发现,在光矿化过程中,与木质纤维素的其他组分相比,木质素能够产生更多的CO2和CH4。超氧自由基在木质素光矿化产生CO2的过程中具有显著贡献,而CH4的形成不受氧气的影响。尽管木质素仅占凋落物组成的一小部分,但它的光矿化很可能主导着植物凋落物的光矿化。因此,本研究所揭示的CO2和CH4形成新途径为认识有机质非生物分解产生温室气体的来源和贡献提供了重要参考。
Austin, A. T.; Ballaré, C. L., Dual role of lignin in plant litter decomposition in terrestrial ecosystems. P. Natl. Acad. Sci. 2010, 107 (10), 4618-4622.
Zhu, K.; Jia, H.; Zhao, S.; Xia, T.; Guo, X.; Wang, T.; Zhu, L., Formation of environmentally persistent free radicals on microplastics under light irradiation. Environ. Sci. Technol. 2019, 53 (14), 8177-8186.
祝可成,西北农林科技大学资源环境学院副教授,研究领域为土壤化学、环境地球化学、土壤污染修复。以第一/通讯作者在Environmental Science & Technology、Water Research等国内外期刊发表SCI索引论文10多篇,获得陕西省优秀博士学位论文、陕西省自然科学优秀学术论文奖三等奖(排名1)、陕西省自然科学二等奖(排名3)、中国土壤学会科学技术奖二等奖(排名2)等学术成果。
贾汉忠,西北农林科技大学教授。入选教育部国家重大人才计划、陕西特支领军人才、陕西省杰青等,获中国环境学会青年科学家奖(金奖)、中国农学会“青年科技奖”、中国土壤学会“优秀青年学者奖”等。兼任中国土壤学会理事、中国环境科学学会新污染物治理委员会常务委员、国际期刊Environ Chem Lett副主编、Eco-Environ Health期刊编委、B Environ Contam Tox期刊编委、Carbon Res青年编委等。以第一/通讯作者在Environmental Science & Technology、Global Change Biology、Water Research等国内外期刊发表SCI索引论文100余篇,以第一完成人获得陕西省自然科学二等奖、中国土壤学会科学技术奖二等奖、陕西高校科学技术研究优秀成果奖一等奖等学术成果。长期从事水土中典型新型污染物的环境行为与去除技术、土壤外源碳(微塑料、生物炭、生物质)生物地球化学过程与效应等,特别在环境自由基的形成过程、环境行为及生态效应方面开展了深入系统的工作。
欢迎关注我们,订阅更多最新消息
“邃瞳科学云”推出专业的自然科学直播服务啦!不仅直播团队专业,直播画面出色,而且传播渠道多,宣传效果佳。
“邃瞳科学云"平台正在收集、整理各类学术会议信息,欢迎学会、期刊、会议组织方择优在邃瞳平台上进行线上直播,希望藉此帮助广大科研人员跨越时空的限制,实现自由、畅通地交流互动。欢迎老师同学们提供会议信息(会有礼品赠送),学会、期刊、会议组织方商谈合作,均请联系18612651915(微信同)。
投稿、荐稿、爆料:Editor@scisight.cn