
第一作者:陈露,关旭泽
通讯作者:陈露, Paul Dyson, Feng Ryan Wang
通讯单位:英国伦敦大学学院和瑞士洛桑联邦理工
论文DOI:10.1073/pnas.2404830121
1. 简易并且容易放大的单原子催化剂合成方法,用于制备高活性、高载量以及高稳定性的Cu基单原子催化剂。

Figure 1. Characterization of CuS/ZSM-5 and CuN/ZSM-5. a, b BF-STEM images of CuS/ZSM-5 and CuN/ZSM-5; c, d EXAFS spectra and R space spectra of the Cu K-edge EXAFS of CuS/ZSM-5 and CuN/ZSM-5;e X-band cw EPR spectra of CuS/ZSM-5, CuS/ZSM-5 and CuN/ZSM-5 before and after reaction (after catalytic tests, see Materials and Methods for further details); f Quantification of atomic Cu(II) sites.

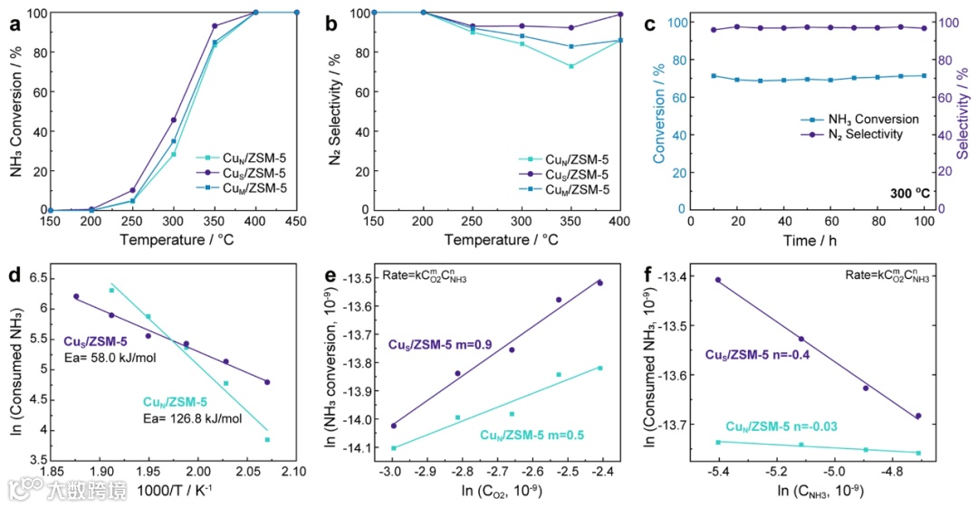
Figure 2. Evaluation of CuS/ZSM-5, CuM/ZSM-5 and CuN/ZSM-5 (all 4 wt%) catalysts and ZSM-5 in NH3-SCO. a, b NH3 conversion and N2 selectivity as a function of temperature (reaction conditions: 50 mg catalyst, 5000 ppm NH3, 5% O2 balanced in He, gas flow 100 mL/min, weight hourly space velocity (WHSV) 600 mL NH3×h-1×g-1); c stability tests at 300 °C for 100 h (50 mg catalyst, 2000 ppm NH3, 5% O2 balanced in He, gas flow 100 mL/min); d Eaof CuS/ZSM-5 and CuN/ZSM-5; e Reaction order of O2for the CuS/ZSM-5 and CuN/ZSM-5 catalysts; f Reaction order of NH3 for the CuS/ZSM-5 and CuN/ZSM-5 catalysts.

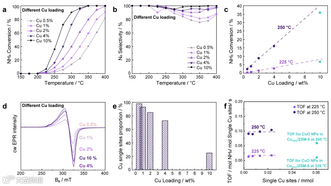
Figure 3. Evaluation of CuS/ZSM-5 with different Cu loadings as catalysts in NH3-SCO. a, b NH3 conversion and N2 selectivity as a function of temperature (reaction conditions: 50 mg catalyst, 2000 ppm NH3, 5% O2 balanced in He, gas flow 100 mL/min, WHSV 240 mL NH3×h-1×g-1); c NH3conversion as a function of the Cu loading; d EPR spectra of CuS/ZSM-5 with different Cu loadings; e Proportion of Cu SSs in CuS/ZSM-5 at different Cu loadings; f TOF for CuS/ZSM-5 with different Cu loadings (Cyan dots: TOF for CuO NPs in Cu10%/ZSM-5. The X-axis corresponds to the amount of CuO NPs in mmol).

Figure 4. Operando Cu K-edge XAFS spectra of CuS/ZSM-5 and CuN/ZSM-5. a, b OperandoCu K-edge XANES spectra of CuS/ZSM-5 and CuN/ZSM-5 as a function of temperature (dashed line at 8983 eV is the typical feature of CuI(NH3)2);c, d Operando R space spectra of CuS/ZSM-5 and CuN/ZSM-5 as a function of temperature (dashed lines at 1.5 and 2.5 Å corresponding to Cu-N/O and Cu-Cu scattering in CuO, respectively); e Signal intensity of the CuI 1s-4p transition peak at 8983 eV. f Operando Cu K-edge XANES spectra of CuS/ZSM-5 and CuN/ZSM-5 at 300 °C. All spectra were recorded in 5000 ppm NH3, 5% O2, balanced in He.

Figure 5. Operando 2D WT-EXAFS maps of CuS/ZSM-5 and CuN/ZSM-5 in NH3 and O2 at different temperatures. CuS/ZSM-5 at RT (a), 100 °C (b), 150 °C (c), 200 °C (d), 250 °C (e), 300 °C (f), 350 °C (g), and 400 °C (h); CuN/ZSM-5 at RT (i), 100 °C (j), 150 °C (k), 200 °C (l), 250 °C (m), 300 °C (n), 350 °C (o), and 400 °C (p). All spectra measured in 5000 ppm NH3, 5% O2 balanced in He.
声明
“邃瞳科学云”直播服务
扫描二维码下载
邃瞳科学云APP

