
第一作者:安冬琦(南京大学、中石化(北京)化工研究院有限公司)
通讯作者:孙敬方 高级工程师(南京大学)、邹伟欣 副教授(南京大学)、孙传智 教授(山东师范大学)
论文DOI: 10.1021/acs.est.4c06313
近日,南京大学董林课题组在Environmental Science & Technology上发表了题为“Water-driven surface lattice oxygen activation in MnO2 for promoted low-temperature NH3-SCR”的研究论文(DOI: 10.1021/acs.est.4c06313)。该工作提出蒸汽处理γ-MnO2(Mn-H)以激发H2O中质子驱动活化γ-MnO2表面晶格氧的策略,促使γ-MnO2的低温脱硝活性和抗水性的显著提升。Raman、XPS以及DFT计算表明,H2O解离出的H质子自发向表面晶格氧扩散,促使O原子质子化,并与周围Mn原子之间的轨道重叠减少,从而削弱Mn-O键、活化表面晶格氧。EPR进一步证明,表面晶格氧活化有利于氧空位的产生,使催化剂产生更多的活性氧物种。这进一步促进了NH3氧化脱氢和NO氧化的中间过程,最终提高了γ-MnO2的低温SCR性能。该策略在其它氧化物脱硝性能提升方面具有一定的普适性。
对于低温脱硝反应来说,大家对于水的认识普遍集中在其宏观影响方面,即竞争吸附和覆盖效应导致其毒化作用显著增强。然而,对于水在反应中的具体微观作用机制尚不清楚。本工作提出,H2O分子可以驱动γ-MnO2表面晶格氧活化,以显著增强低温NH3-SCR反应性能。具体来说,水解离产生的H质子激活了γ-MnO2的表面晶格氧,使其低温催化活性加倍(100 oC时达成90%的NO转化率),并表现出优异的稳定性和抗水性。结合多种原位表征和DFT计算表明,H2O中H质子自发扩散至表面晶格氧附近并使之有效活化,使催化剂可以提供更多的氧空位以活化O2转化为活性氧物种O2-,促进催化剂低温NH3-SCR性能显著提升。这项工作为低温氮氧化物消除中的水促进机制提供了更深入的理解和新的视角。
通常认为,水汽的存在会对多相催化反应产生毒化作用。近年来虽然有工作表明,水汽可以提升一些过渡金属氧化物在污染物催化消除反应中的活性,但机理仍不明确。其核心问题在于难以明确水汽在复杂的多组分催化剂中的具体作用机制。通过构建γ-MnO2和经蒸汽处理的γ-MnO2(Mn-H)作为模型催化剂,本工作详细考察了H2O对锰氧化物催化材料NH3-SCR活性的影响,揭示了在催化反应中水中的质子驱动表面晶格氧活化的具体过程。
γ-MnO2通过水热法制备。通过蒸汽处理制备了Mn-H。在250 oC时,于Ar流中引入5 vol.%的H2O(200 mL·min-1)处理2小时。所得样品记为Mn-H。

Fig 1. (a) Catalytic NO reduction performance of γ-MnO2 and Mn-H, (b) H2O tolerance over Mn-H under different H2O contents at 120 °C. (The feeding gas contained 500 ppm of NH3, 500 ppm of NO, 5 vol.% O2, 5, 10, or 15 vol.% H2O (when used), and Ar balance, WHSV = 60,000 mL·g-1·h-1.)
蒸汽处理后,Mn-H在100 oC时的催化性能显著提高,NO转化率从51%上升至约90%。此外,Mn-H还表现出非常优越的抗H2O性能。

Fig. 2. (a) XRD patterns and BET surface area, (b) Raman spectra and the corresponding force constant of the Mn-O bond, (c) FT-IR spectra (inset: Spectra with the baselines overlapped), and (d) XPS patterns of Mn 3s of γ-MnO2 and Mn-H.
经蒸汽处理的Mn-H样品保持了原有结构,然而由于晶格畸变产生了更多的缺陷,结晶度降低。此外,通过胡克定律计算所得的Mn-O键强度也表明,蒸汽处理造成了Mn-O键的弱化。进一步对其表面元素化学态分析,发现水蒸汽诱导Mn物种的平均价态升高,Mn原子周围的电子云密度降低。

Fig. 3. (a) Optimized configurations and energy profiles for the H2O behavior on γ-MnO2 (100) surface, the insets showed the Bader charge of O atom before and after protonation, and the length of the Mn-O bond from (b) γ-MnO2 and (c) Mn-H, respectively. Color code: purple, Mn; red, O in H2O; pink, O in MnO2; and white, H.
DFT计算进一步探索了水作用的机制。在γ-MnO2表面,H2O分子解离成质子和羟基,质子自发地扩散通过氧化物晶格,并自由迁移到表面晶格氧附近,使其质子化。O原子发生质子化后,相邻Mn-O键伸长,更多的电子被定位在质子化的O原子上。此外,质子化O原子和相邻Mn原子之间轨道重叠减少,抑制了从O 2p到Mn 3d空轨道的电子转移。因此,H2O分子通过质子化表面晶格氧,驱动了晶格氧的活化过程。

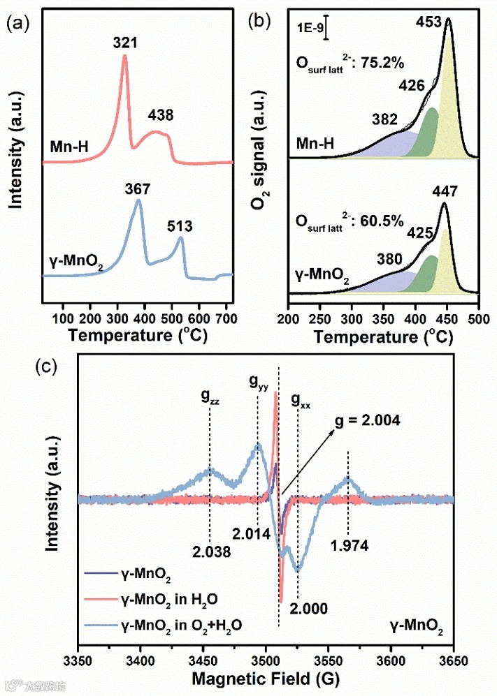
Fig. 4. (a) H2-TPR results, and (b) O2-TPD profiles of γ-MnO2 and Mn-H. (c) In situ EPR spectra over γ-MnO2 collected in a flow of H2O or O2+H2O.
H2-TPR表明,Mn-H具有更强的氧化还原性能。同时,Mn-H催化剂中晶格氧迁移率增强。因此,Mn-H的氧化还原能力和低温活性的提高源于表面晶格氧的活化。此外,在不同条件下收集的EPR光谱显示,蒸汽的出现促进了更多氧空位的形成。而当O2加入气氛后,活性氧物种增加,表明氧空位处的分子氧活化过程也有所增强。

Fig. 5. (a) Py-IR spectra, (b) Acid sites amount (umol·g-1) from the IR spectra of Py adsorption, (c) N2O signal from NH3-TPD results, and (d) NO oxidation ability of γ-MnO2 and Mn-H.
对于低温脱硝,催化剂对反应分子的活化能力至关重要。吡啶红外表明,Mn-H表面的Brønsted和Lewis酸位点都明显增加,有利于促进NH3在其上的吸附。另一方面,NH3和NO的活化在很大程度上取决于低温氧化还原性能。而SCR催化剂的表面晶格氧能够参与关键中间体的生成过程。因此对于Mn-H,NH3和NO的活化得到了很好的促进。
阐明H2O在反应中“从抑制到促进”转变的内在机和如何充分利用这种促进作用,对于设计和开发NH3-SCR催化剂具有重要意义。这项工作研究了低温时水对MnO2催化剂的催化性能的影响。Mn-H催化剂在100 oC下显示出90%的NO脱除率,其中水解离产生的质子有效地激活了表面晶格氧。由此产生了更多的氧空位,可用于O2分子向活性O2-物种的转变。该过程促进了NH3和NO的活化,从而提高了催化剂性能。此外,Mn-H在三次循环后也无明显的性能下降,具有优异的稳定性,并且对H2O表现出很强的抗性。这项关于水驱动表面晶格氧活化的研究为设计低温NH3-SCR催化剂提供了新的见解。
孙敬方 博士,南京大学现代分析中心,高级工程师。主要从事过渡金属氧化物和稀土基催化功能材料的创制及其在大气分子污染物催化消除(移动源和固定源NOx、CO等)等方向研究。在Environmental Science & Technology, Applied Catalysis B: Environmental, Journal of Catalysis 等国内外知名学术刊物发表科研论文60余篇,申请专利20余项,获授权9项。参与《稀土铈基环境催化材料》科研专著一部。目前主持国家自然科学基金1项,作为主要技术人员参与国家基金委重大科学仪器研制专项、国家高技术研究发展计划(863项目)、国家自然科学基金等多项。
邹伟欣 博士,南京大学环境学院副教授,硕士生导师。主要从事气体污染物催化消除与转化研究,以第一/通讯作者身份在Angew. Chem. Int. Ed.、Environ. Sci. Technol.、Appl. Catal. B等SCI期刊上发表论文三十余篇,申请发明专利十余项。主持国家自然科学基金青年和面上项目,获江苏省“双创博士”、江苏省优秀青年科学基金,担任Water, Air, & Soil Pollution编委。
孙传智,山东师范大学教授、博士生导师、化学化工与材料科学学院化学系主任。中国化工学会稀土催化与过程专业委员会委员,中国稀土学会催化专业委员会委员,期刊《Advanced Powder Materials》青年编委。山东师范大学“东岳学者”拔尖人才、“新型催化材料与反应机制”科研创新团队带头人。西班牙国家研究委员会(CSIC)-瓦伦西亚理工大学(UPV)化学技术研究所(ITQ)访问学者。目前主要从事能源与环境领域相关的催化科学研究工作。近年来在Angewandte Chemie-International Edition, Environmental Science and Technology, ACS Catalysis, ACS Nano, Applied Catalysis B: Environmental, Advanced Functional Materials, Chemical Engineering Journal等国际相关SCI杂志发表论文100余篇。主持国家自然科学基金面上项目等国家及省部级项目多项。
董林,南京大学教授,博士生导师。1995年毕业于南京大学化学系获物理化学专业博士学位。1995-1997年在南京大学物理系凝聚态物理专业博士后流动站工作,1997起在南京大学化学系工作。2005年9月起任化学化工学院副院长;2008年5月任现代分析中心主任;2020年任实验室与设备处处长。先后主持(或参加)过国家“863”、“973”、国家重大科研仪器研制项目(自由申请)、自然科学基金重点和面上项目、江苏省创新学者攀登计划、江苏省工业支撑计划、留学回国人员基金、博士点专项基金和中石化委托研究项目等多项。已正式发表SCI研究论文三百余篇,申请专利30件,授权16件。2001年获中国高校科学技术二等奖(第二完成人);2012年获得江苏省优秀科技工作者称号;2018年获江苏省科学技术一等奖(第一完成人);2022年获高等学校科学研究优秀成果奖自然科学奖二等奖(第一完成人)。研究工作主要集中在环境催化材料的控制合成和大气分子污染物的吸附、吸附分解、催化消除等方面。
D. An, S. Yang, Q. Cheng, W. Yan, J. Sun*, W. Zou*, C. Sun*, C. Tang, L. Dong, Water-driven surface lattice oxygen activation in MnO2 for promoted low-temperature NH3-SCR, Environmental Science & Technology, 2024.
文章链接: https://doi.org/10.1021/acs.est.4c06313
欢迎关注我们,订阅更多最新消息
“邃瞳科学云”推出专业的自然科学直播服务啦!不仅直播团队专业,直播画面出色,而且传播渠道多,宣传效果佳。
“邃瞳科学云"平台正在收集、整理各类学术会议信息,欢迎学会、期刊、会议组织方择优在邃瞳平台上进行线上直播,希望藉此帮助广大科研人员跨越时空的限制,实现自由、畅通地交流互动。欢迎老师同学们提供会议信息(会有礼品赠送),学会、期刊、会议组织方商谈合作,均请联系18612651915(微信同)。
投稿、荐稿、爆料:Editor@scisight.cn