
第一作者:刘恒岐
通讯作者:赵忠龙教授,徐平教授,钟俊教授,宋波教授
通讯单位:哈尔滨工业大学,内蒙古大学,苏州大学
论文DOI:10.1002/anie.202419595
嵌入碳基体中氮配位金属位点双原子催化剂能够驱动可充锌空气电池(ZABs)中的氧还原和析氧反应(ORR/OER),但其进一步性能提升受限于吸附物演化机制(AEM)中中间体结合能的线性标度关系。触发晶格氧机制(LOM)有望突破这一限制,但由于金属中心刚性配位环境中缺乏桥氧(O),尚未得到验证。在本研究中,我们证明了经过适当调控的FeCo–N–C双原子催化剂可以通过平面外和平面内的重构,在金属中心形成轴向氧和桥氧,从而激活LOM路径。此外,具有缩短Fe–N键的FeCo–N–C也有利于ORR过程,因此是一种极具前景的双原子氧催化剂。组装的可充锌空气电池表现出332 mW cm-2的峰值功率密度,并在约720小时的连续循环后无显著性能下降。
高效能量转换与存储技术对解决能源危机至关重要。锌-空气电池(ZABs)因高能量密度、成本效益和生态可持续性而备受关注,但氧还原/析出反应(ORR/OER)的缓慢动力学限制了其性能提升。氮配位的单原子碳基催化剂(M–N–C)作为贵金属替代品展现出潜力,但催化活性仍受限。优化金属位点的配位环境对于提升催化性能至关重要。以Fe–N–C为例,Fe原子通常与吡咯氮(五元环结构)或吡啶氮(六元环结构)结构配位,而吡咯氮的稳定性较差。因此,为提高催化稳定性,已在调控合成温度、改变前驱体中的配体、以及调控退火气氛等方面进行了大量工作,以增加吡啶氮配位的Fe–N含量。最近的研究发现,减少吡咯氮的含量并缩短吡啶氮配位的Fe–N键长,可显著改善ORR的活性和稳定性。
此外,OER活性位点为金属-氧结构,Fe–N–C中面外重构的轴向氧通常导致中等OER活性,而在合成中引入面内金属-氧键则可能降低ORR性能。由于ORR和OER过程中中间态结合能的线性关系,AEM难以解决该问题。激活LOM有望突破这一瓶颈,但M–N–C结构的刚性配位环境缺乏合适的桥氧,限制了LOM的激活。近年来,具有表面位点多样性和几何效应的双原子催化剂(M1M2–N–C)受到关注,为优化OER和ORR反应路径提供了平台。通过设计双原子中心的配位环境,实现面内重构形成桥氧,可将OER路径从AEM转向LOM,同时缩短M–N键以加速ORR动力学,克服两者路径制约。FeCo–N–C作为双功能双原子催化剂已展现潜力。利用吡咯氮和吡啶氮的C–N键能差异,吡咯氮可被优先去除。此前,LAAL方法通过锂与硫反应产生硫空位的策略已成功应用,鉴于锂也可与氮物种反应,我们推测引入锂离子可调控金属位点的配位环境,从而提升氧电催化性能。
1. 根据密度泛函理论(DFT)计算,吡咯氮和吡啶氮的C-N键强度存在差异。我们在LAAL过程中调节锂化程度,以优先去除吡咯氮,并制备了不同的FeCo–N–C-X样品(X为使用的锂的毫摩尔数)。通过X射线吸收光谱(XAS)分析,确认优化后的FeCo–N–C-1.25催化剂具有显著的FeCoN4结构。
2. 在FeCo–N–C-1.25中,去除吡咯氮导致Fe-N键长度缩短,从而加速了ORR过程。此外,吡咯氮缺陷在OER过程中促进了金属位点平面内氧重构,触发了具有较低能垒的晶格氧机制(LOM)路径,并打破了AEM路径强加的线性标度关系。
3. 使用该催化剂作为空气电极的ZABs表现出超过332 mW cm-2的最大功率密度以及优异的循环稳定性(>720小时),性能优于大多数已报道的非贵金属催化剂和Pt/C+RuO2催化剂。
通过密度泛函理论(DFT)评估了FeCo–N–C结构能量选择性调节吡咯氮位点的可行性。Bader电荷分析(图1a、1b)显示,锂化过程中带正电的锂离子优先与带负电的N原子结合。COHP分析(图1d–g)表明锂化先破坏五元环中的吡咯N,生成图1c所示结构。PDOS和d带中心分析(图1i、1j)显示,与原始FeCo–N–C相比,带吡咯氮空位的FeCo–N–C的d带中心更接近费米能级,有利于ORR及OER重构过程。

图1. DFT计算预测。
基于理论计算,通过退火和LAAL两步法合成了样品。LAAL过程如图2a所示,所得样品呈超薄纳米片形貌,表面元素(N、Fe、Co、C)均匀分布且无金属颗粒聚集(图2b)。Cs校正STEM–HAADF图像显示纳米片上的双原子结构(图2c、2d),EPR谱图证实了VN的引入(图2e)。XAS分析表明,Fe和Co的氧化态分别接近2+和3+(图2f、2g),FT-EXAFS模拟确认LAAL后结构为FeCoN4(图2h)。

图2. 结构和形貌表征。
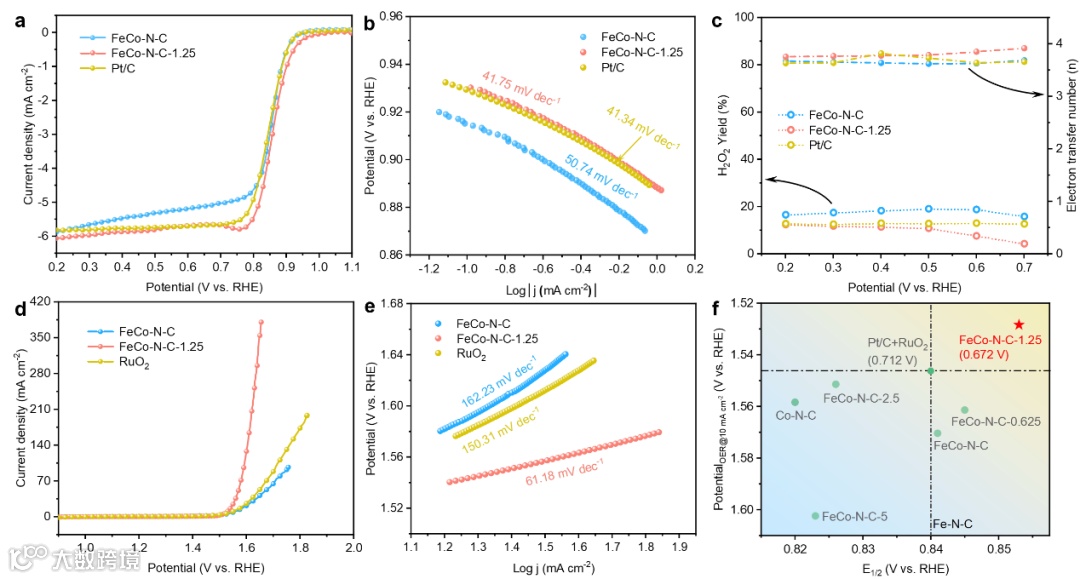
为验证C–N键配位调控对催化活性的影响,评估了电催化ORR性能。图3a-c显示,FeCo–N–C-1.25具有最高的起始电位(1.070 V)和半波电位(0.853 V)、最小的Tafel斜率(41.75 mV dec-1)、最低的H2O2生成率(约9.6%)及最高的电子转移数(3.82)。在OER性能中(图3d、3e),FeCo–N–C-1.25的过电位为295 mV(η10),Tafel斜率为61.18 mV dec-1,均优于FeCo–N–C。图3f表明,FeCo–N–C-1.25的ΔE仅为0.672 V,展现其在ZABs中的巨大潜力。

图3. 电催化ORR/OER性能。
为了系统地研究调整C–N键配位对FeCo–N–C和FeCo–N–C-1.25电子结构和氧物种演化的影响,进行了DFT计算(图4)。AEM和LOM路径均包含五个步骤:四个电化学步骤和一个非电化学步骤(O2脱附)。在FeCo–N–C中,完全配位的Fe/Co金属中心有利于发生平面外重构,以吸附OH物种并形成Fe–OH/Co–OH(图4a)。A1通过OH的亲核进攻在电解质中发生放热去质子化,形成Fe–O/Co–O(A2)(图4b)。因此,FeCo–N–C遵循AEM路径。对五个步骤的计算能量比较表明,A2和A3之间的步骤(即形成*OOH中间体)是决定过电位的步骤(PDS)。Co和Fe位点的PDS反应能量相当(分别为1.86和1.89 eV,图4b)。相比之下,通过去除吡咯氮原子减少双原子FeCo的配位数,能够使d带中心上移,从而增强中间体的吸附能力(图1i和j) 。因此,在OER中重构使得形成类似于(氧)氢氧化物的活性构型成为可能,金属中心周围具有桥接O和端基OH 。更重要的是,面内重构形成的桥接O可以而触发LOM机制 。Fe位点的初始去质子化形成L2(A2的异构体0.76 eV(图4c)。相比之下,当桥接O促进去质子化时,Co位点显示出较低的反应能量(0.08 eV),这也导致PDS的反应能量较低(0.33 eV)。这一反应能量也低于FeCo–N–C-1.25中Co和Fe位点在AEM路径下的OER计算PDS(分别为0.58和1.09 eV)。因此,主导的反应机制是LOM路径,它是由Co位点去质子化引发的。O p和Fe/Co d轨道的态密度(PDOS)和波函数(图4d-g)表明σ键的存在导致FeCo–N–C-1.25的OER过程中生成了激活LOM的关键OO物种。

图4. OER中AEM到LOM转变验证。
所得的FeCo-N-C-1.25双功能催化剂被负载在镍泡沫上,用于制备ZABs的空气电极(图5a,命名为电池A)。为对比,还研究了一种使用Pt/C和RuO2混合物作为催化剂的对照电池(电池B)。电池A的充放电极化曲线之间的电压差较小,表明其具有优异的充放电性能(图5b)。电池A的最大功率密度为332 mW cm-2,远高于电池B的144.3 mW cm-2,也超过了大多数已报道的ZAB系统。电池A的比容量为804.5 mAh g-1(10 mA cm-2),反映了锌的高利用效率,比电池B高约17%(图5d)。经过超过720小时的连续充放电操作后(图5e),电势差仅出现微小增加,表明该电池在氧电催化方面具有显著的稳定性和可逆性。这些结果强调了所提出策略在开发高效催化剂以应用于ZABs及相关能量转换装置中的巨大潜力。

图5. FeCo-N-C-1.25的ZABs性能。
刚性配位的双原子中心通常由于桥氧的形成不利而抑制了LOM路径。在本研究中,我们证明了通过精确调控C–N键,可以在OER过程中促进金属位点发生额外的平面内氧重构,从而以更低的能垒触发LOM路径,并打破AEM路径所施加的线性标度关系。由于吡咯型氮缺陷(VN)能够缩短Fe–N键并增强ORR性能,我们成功解决了Fe/Co双原子催化剂中ORR和OER之间反应路径矛盾问题。以优化后的催化剂作为空气电极制备的锌空气电池(ZAB)表现出超过332 mW cm-2的最大功率密度以及优异的循环稳定性(>720小时),超越了大多数非贵金属催化剂和Pt/C+RuO2基准催化剂。本研究为调控双原子氮掺杂碳催化剂的配位环境以实现高效能量储存与转化提供了新的设计策略。
徐平教授简介:徐平,在哈尔滨工业大学获得学士、硕士和博士学位,在美国能源部Los Alamos国家实验室进行联合培养(国家公派)、博士后研究。现任本科生院副院长兼教务处处长,龙江学者特聘教授,入选江苏省“双创人才”计划,入选科睿唯安2022年度全球“高被引科学家”。担任美国化学会ACS Applied Materials & Interfaces副主编,Polymers、《光散射学报》编委,黑龙江省能源环境学会常务理事。主要从事“功能导向纳米材料”研究,近年来以第一或通讯作者在Chem. Soc. Rev.、J. Am. Chem. Soc.、Adv. Mater.、Adv. Funct. Mater.等期刊发表SCI论文100余篇。获得Los Alamos国家实验室Distinguished Performance Award,黑龙江省自然科学一等奖3项(排序1、2、4)、科技进步二等奖1项(排序3),黑龙江省高等教育教学成果一等奖1项(排序5)、二等奖2项(排序1、2),中国石油和化工教育教学优秀成果二等奖1项(排序1)等荣誉。
赵忠龙副教授简介:内蒙古大学物理科学与技术学院副教授,硕士生导师。2015年毕业于吉林大学超硬材料国家重点实验室,获凝聚态物理博士学位;2015-2019年美国加州州立大学北岭分校博士后;2019年加入内蒙古大学物理科学与技术学院。入选内蒙古自治区第十批“草原英才”。主要从事纳米能源催化材料的第一性原理模拟工作,以第一作者、共同第一作者或通讯作者在Nat. Commun.、Angew. Chem. Int. Ed.,Adv. Mater.,Chem. Sci.,Adv. Energy Mater.,Nano Lett.、ACS Catal.,Phys. Rev. B等国际著名刊物发表研究论文多篇。主持国家自然科学基金、内蒙古自然科学基金等项目。
钟俊教授简介:苏州大学教授、博导,入选国家级青年人才计划。2002年获清华大学工学学士学位;2007年获中国科学院高能物理研究所凝聚态物理博士学位;2006.3-2007.4在美国劳伦斯-伯克利国家实验室ALS光源进行合作交流。2008.1-2010.8在中国科学院高能物理研究所任助理研究员;2010.9加入苏州大学功能纳米与软物质(材料)研究院。主要致力于同步辐射X射线谱学技术发展及其应用,利用多种谱学方法研究纳米能源材料电子结构与性能之间的关系。主持建设了合肥光源首条同步辐射软X射线谱学原位线站。累计发表SCI论文160余篇,其中第一作者/通讯作者论文70余篇,包括Angew. Chem. Int. Ed., Adv. Mater., Energy Environ. Sci.等国际重要刊物。设计搭建了多种原位谱学装置, 揭示了碳纳米材料内部的协同催化效应,提出了氧化铁纳米材料表面微观处理提升性能的新机制,获得多种高效催化剂。合作发表了包括Science, Nat.Commun., Angew. Chem. Int. Ed., JACS, Adv. Mater.等在内的多篇有重要影响力的论文,其中Science工作入选“2015年度中国科学十大进展”。
欢迎关注我们,订阅更多最新消息
“邃瞳科学云”推出专业的自然科学直播服务啦!不仅直播团队专业,直播画面出色,而且传播渠道多,宣传效果佳。
“邃瞳科学云"平台正在收集、整理各类学术会议信息,欢迎学会、期刊、会议组织方择优在邃瞳平台上进行线上直播,希望藉此帮助广大科研人员跨越时空的限制,实现自由、畅通地交流互动。欢迎老师同学们提供会议信息(会有礼品赠送),学会、期刊、会议组织方商谈合作,均请联系18612651915(微信同)。
投稿、荐稿、爆料:Editor@scisight.cn