
第一作者:赖英杰
通讯作者:左佳昌,袁友珠
通讯单位:厦门大学化学化工学院
论文DOI:10.1021/acscatal.4c01946
均四甲苯是一种具有高附加值的芳烃,可用于制造聚酰亚胺(PI)和航空煤油添加剂。在此,我们介绍了一种将三甲苯甲基化与 CO2 加氢相结合,高选择性合成均四甲苯的替代方法(图1)。设计的复合催化剂 5%CuZnZrOx–HZSM-5 (5CuZZO–Z5)在 1,2,4–三甲苯(偏三甲苯)转化率为 33.2% 的情况下,四甲苯中均四甲苯的选择性(SD/T)为 83.2%,且可保持催化性能超过 1100 h。研究表明,Cu0 对于促进H2活化至关重要,有助于 CO2 加氢生成甲氧基关键中间体。

图1. 三甲苯甲基化耦合CO2加氢制均四甲苯示意图
将CO2转化为芳烃对于改善环境、实现CO2资源化利用具有重要意义。均四甲苯的选择性合成有望满足精细化工中高纯度原料的需求。在金属氧化物–分子筛复合材料催化的CO2加氢系统中引入额外的芳烃可以促进特定芳烃的高选择性生产。为此,本文研究了Cu改性的ZZO–Z5用于CO2加氢耦合芳烃烷基化制均四甲苯。如果能将成分复杂的绿色芳烃原料用于均四甲苯的高选择性制备,不仅有望使PI合成摆脱对上游石油工业的依赖,同时重质芳烃具有高能量密度的特点,能为生产绿色航煤添加剂提出一条可行的方案(图2)。

图2. 均四甲苯的绿色合成与应用
1. 发展了一条均四甲苯绿色合成新路线。
2. 提出增强金属氧化物活化氢能力的策略,提高了ZZO–Z5催化剂对以CO2为碳源的芳烃烷基化反应速率。
3. 首次发现混合三甲苯甲基化也可实现高选择性地制备均四甲苯,并提出了Z5催化的三甲苯甲基化制四甲苯的转化路径。
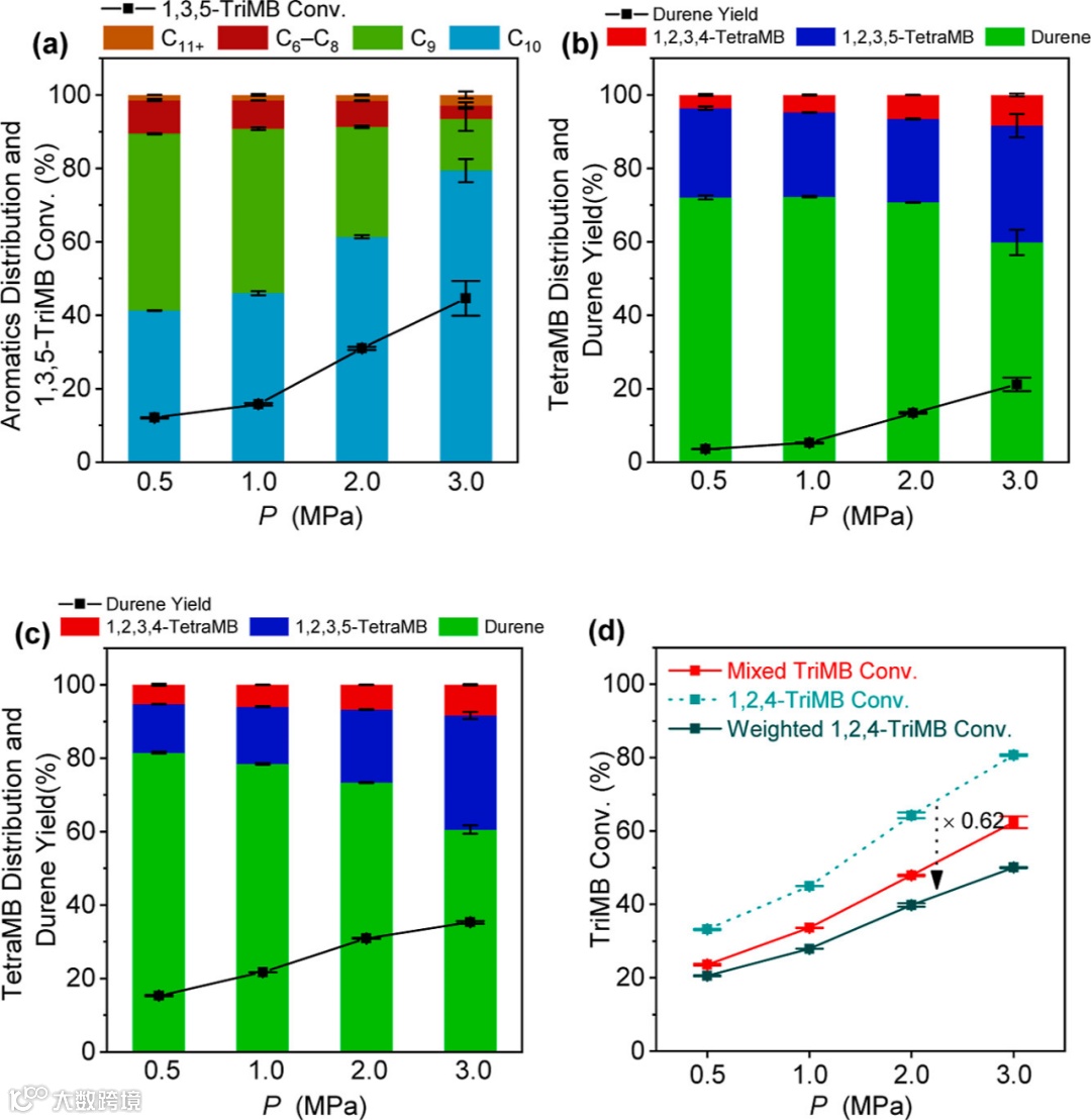
CO2加氢制甲醇和芳香化合物烷基化是两种具有不同操作要求的催化反应,ZZO–Z5可以在两种工艺的必要温度范围内有效运行,而ZZO中添加Cu 组分在增强活性和调节反应条件方面发挥一定的作用。相同的条件下,5CuZZO−Z5 表现出33.2%的偏三甲苯转化率,比ZZO−Z5高出约12%(图3a)。5CuZZO–Z5在低压下的催化性能与ZZO–Z5在高压下的相似(图3b,c),这意味着通过调整金属氧化物可以在低压条件下增强CO2加氢的偏三甲苯甲基化反应。在320 ℃时,对于5CuZZO–Z5,均四甲苯产率分别达到19.2%的峰值(图3d)。5CuZZO–Z5在接近1100 h的稳定性测试中保持稳定(图3e)。

图3. 偏三甲苯进料时的催化性能;(a)铜含量,(b)(c)反应压力,(d)温度对反应性能的影响;(e)催化剂稳定性测试
1,3,5–三甲苯(均三甲苯)进料时,各反应压力下,均三甲苯转化率(图4a)均低于偏三甲苯转化率(图3b),并且具有更高的C9选择性,但是SD/T在2 MPa及以下仍保持约70%(图4b)。均三甲苯甲基化为均四甲苯至少经过一个甲基化步骤和一个异构化步骤,对照实验证实均三甲苯先异构化为偏三甲苯,然后甲基化为均四甲苯为主要的反应途径。当以三甲苯的热力学平衡分布浓度进料时,均三甲苯或1,2,3–三甲苯(连三甲苯)也通过热力学驱动参与了甲基化过程,而且它们贡献的四甲苯也是以均四甲苯为主。

图4.(a,b)均三甲苯进料时的催化性能,(c)混合三甲苯进料时的催化性能,(d)加权偏三甲苯转化率与混合三甲苯转化率比较
通过对催化剂进行同步辐射表征发现,对于5CuZZO–Z5,在2.53± 0.01 Å处存在Cu–Cu键散射,这说明催化剂表面上存在Cu0物种(图5a)。与铜箔相比,Cu–Cu键向左偏移了0.1 Å,这可能是Cu–ZZO相互作用影响了Cu电子结构。部分Zn原子迁移到Cu表面形成独特的活性Cu–Zn表面合金。反应后Cu的价态明显高于反应前(图b–d),这是因为CO2的介入改变了氧的化学势,Cu位点很容易从CO2中吸附*O,导致Cu0的部分d电子向O偏移。

图5. 反应前后5CuZZO–Z5的(a)EXAFS和(b)XANES谱图;小波变换:(c)还原后和(d)反应后的催化剂
将H2切换成D2进行反应后,发现偏三甲苯转化率上升,KIE值为0.8,表现出逆同位素效应(图6a),与H有关的键的生成可能为决速步。偏三甲苯的甲基H几乎没有被D取代(图6b);但是四甲苯(m/z = 134)的主要氘代产物峰为139和148(图6c),这再次表明了偏三甲苯甲基化是四甲苯生产的主要方式,而不是偏三甲苯歧化。为了进一步比较H2和CO2活化对主反应的贡献,测定了CO2和H2反应级数。CO2级数接近于0级(图6d),远小于H2级数(图6e),这说明H2对产物生成起到更重要的作用。5CuZZO–Z5的H2级数低于ZZO–Z5,Cu改性ZZO降低了反应对H2的依赖,表观活化能得到降低(图6f)。

图6.(a)H2–D2动力学同位素效应,同位素质谱图:(b)三甲苯和(c)四甲苯,(d)CO2反应级数,(e)H2反应级数,(f)表观活化能
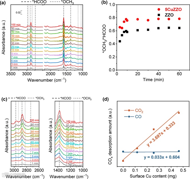
为深入探究反应机理,我们开展了原位红外实验。通入原料气以后立刻出现了*HCOO的振动峰(图7a),*OCH3/*HCOO比在10 min左右稳定。在5CuZZO上的*OCH3/*HCOO比值高于ZZO(图7b),表明5CuZZO表面有更丰富可用的*H物种使得*HCOO被加氢成*OCH3。当5CuZZO与Z5混合时,*OCH3的峰几乎检测不到,而只观察到*HCOO物种(图7c),这表明*HCOO是一个相对稳定的中间体,*HCOO加氢成*OCH3是一个缓慢的过程,活性*OCH3一旦生成,在后续的耦合反应中将很快被消耗。将CO与CO2脱附量与催化剂表面Cu含量进行关联(图7d),两者之间存在良好的线性关系,甲酸分解为CO的量随Cu含量增加没有明显增加,说明Cu在ZZO中没有促进*HCOO分解为CO的行为,不会影响到后续的加氢步骤。

图7.(a,c)5CuZZO与5CuZZO–Z5的原位红外谱图,(b)*OCH3/*HCOO比值,(d)HCOOH–TPSR中COx脱附量与Cu含量的关系
我们开发了一种使用CO2加氢与三甲苯共进料来高选择性生产均四甲苯的方法。采用偏三甲苯作为芳烃进料时,在偏三甲苯转化率为 33.2% 的情况下实现了 83.2% 的均四甲苯选择性。采用混合三甲苯进料时,均四甲苯的选择性略有下降至 81.4%,研究表明其它三甲苯同样也参与了甲基化过程。5CuZZO–Z5 表现出至少 1100 h的稳定性。催化剂表面 Cu0 物种的形成提高了活性氢物种的表面浓度。动力学研究表明,均四甲苯的合成在很大程度上受 H2 分压的影响,而 Cu0 物种可以在较低压力下促进反应。根据原位红外的结果,CO2可以通过甲酸盐中间体转化为甲氧基,然后甲酸盐中间体参与烷基化生成均四甲苯。未来的研究将侧重于进一步提高选择性和效率,特别是通过增强对甲基化制均四甲苯反应途径的理解和调控。
赖英杰,2024年6月毕业于厦门大学物理化学专业,获理学硕士学位。研究方向为CO2加氢耦合芳烃烷基化制高值芳烃。
左佳昌,厦门大学博士后,合作导师袁友珠教授。研究方向为COx加氢耦合芳烃烷基化,以通讯/一作在Sci. Adv., ACS Catal., Chem Catal., J. Catal.等期刊发表论文十篇。
袁友珠,厦门大学特聘教授,博士生导师。现任醇醚酯化工清洁生产国家工程实验室主任,受聘担任中国化学会催化委员会和均相催化委员会委员,“催化学报”、“洁净煤利用”、“无机盐工业”和“Carbon Future”等杂志编辑。主要研究方向为用于碳基高值化学品合成催化剂制备与构效关联,在选择性加氢、合成气制乙二醇/低碳醇、低碳催化,以及生物木质素和CO2高值转化利用等方面,主持包括国家基金委面上项目和重点项目、科技部973和863项目课题、国家重点研发计划项目课题等项目。以通讯/一作发表含Science以及Science/Nature子刊等国内外学术论文200余篇,被引用超7100次,获授权发明专利30余件。曾获中国高校自然科学二等奖、教育部优秀骨干教师、福建省百千万人才工程、省和市高层次人才A类、厦门市拔尖人才和优秀教师等奖项,合作成果“温和压力条件下实现乙二醇合成”入选2022年度中国科学十大进展。
欢迎关注我们,订阅更多最新消息
“邃瞳科学云”推出专业的自然科学直播服务啦!不仅直播团队专业,直播画面出色,而且传播渠道多,宣传效果佳。
“邃瞳科学云"平台正在收集、整理各类学术会议信息,欢迎学会、期刊、会议组织方择优在邃瞳平台上进行线上直播,希望藉此帮助广大科研人员跨越时空的限制,实现自由、畅通地交流互动。欢迎老师同学们提供会议信息(会有礼品赠送),学会、期刊、会议组织方商谈合作,均请联系潘经理:18612651915(微信同)。
投稿、荐稿、爆料:Editor@scisight.cn